Bài 5 trang 76 SGK Đại số và Giải tích 12 Nâng cao

Đơn giản biểu thức ( với a, b là những số dương)

Lựa chọn câu để xem lời giải nhanh hơn

Đơn giản biểu thức ( với a, b là những số dương)

Vui lòng nhập mật khẩu để tiếp tục

test321

LG a

\({{{{\left( {\root 4 \of {{a^3}{b^2}} } \right)}^4}} \over {\root 3 \of {\sqrt {{a^{12}}{b^6}} } }}\) 

Lời giải chi tiết:

\({{{{\left( {\root 4 \of {{a^3}{b^2}} } \right)}^4}} \over {\root 3 \of {\sqrt {{a^{12}}{b^6}} } }} = {{{a^3}{b^2}} \over {\root 6 \of {{a^{12}}{b^6}} }} = {{{a^3}{b^2}} \over {{a^2}b}} = ab\)

LG b

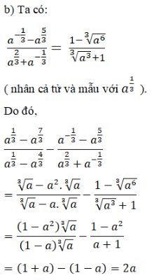
\({{{a^{{1 \over 3}}} – {a^{{7 \over 3}}}} \over {{a^{{1 \over 3}}} – {a^{{4 \over 3}}}}} – {{{a^{ – {1 \over 3}}} – {a^{{5 \over 3}}}} \over {{a^{{2 \over 3}}} + {a^{ – {1 \over 3}}}}}\)

Lời giải chi tiết:

\({{{a^{{1 \over 3}}} – {a^{{7 \over 3}}}} \over {{a^{{1 \over 3}}} – {a^{{4 \over 3}}}}} – {{{a^{ – {1 \over 3}}} – {a^{{5 \over 3}}}} \over {{a^{{2 \over 3}}} + {a^{ – {1 \over 3}}}}} \)

\(= {{{a^{{1 \over 3}}}\left( {1 – {a^2}} \right)} \over {{a^{{1 \over 3}}}\left( {1-a} \right)}} – {{{a^{ – {1 \over 3}}}\left( {1 – {a^2}} \right)} \over {{a^{ – {1 \over 3}}}\left( {a + 1} \right)}}  \)

\( = \left( {1 + a} \right) – \left( {1 – a} \right) = 2a.\)

Cách khác:

Sachgiaihay.com

TẢI APP ĐỂ XEM OFFLINE

GIẢI TÍCH – TOÁN 12 NÂNG CAO