Bài 3.7 trang 164 SBT giải tích 12

Giải bài 3.7 trang 164 sách bài tập giải tích 12. Bằng cách biến đổi các hàm số lượng giác, hãy tính:…

Lựa chọn câu để xem lời giải nhanh hơn

Bằng cách biến đổi các hàm số lượng giác, hãy tính:

LG câu a

a) \(\int {{{\sin }^4}x} dx\)                 

Phương pháp giải:

Hạ bậc đưa về dạng tổng rồi tính nguyên hàm, sử dụng công thức nguyên hàm hàm số cơ bản \(\int {\cos kxdx}  = \dfrac{{\sin kx}}{k} + C\).

Lời giải chi tiết:

Ta có: \({\sin ^4}x = \dfrac{{{{\left( {1 – \cos 2x} \right)}^2}}}{4}\)\( = \dfrac{1}{4}\left( {1 – 2\cos 2x + {{\cos }^2}2x} \right)\)

\( = \dfrac{1}{4}\left( {1 – 2\cos 2x + \dfrac{{1 + \cos 4x}}{2}} \right)\) \( = \dfrac{1}{4}\left( {\dfrac{3}{2} – 2\cos 2x + \dfrac{1}{2}\cos 4x} \right)\)

Khi đó \(\int {{{\sin }^4}x} dx\)\( = \int {\dfrac{1}{4}\left( {\dfrac{3}{2} – 2\cos 2x + \dfrac{1}{2}\cos 4x} \right)dx} \) \( = \int {\left( {\dfrac{3}{8} – \dfrac{1}{2}\cos 2x + \dfrac{1}{8}\cos 4x} \right)dx} \)

\( = \dfrac{3}{8}x – \dfrac{1}{2}.\dfrac{{\sin 2x}}{2} + \dfrac{1}{8}.\dfrac{{\sin 4x}}{4} + C\) \( = \dfrac{3}{8}x – \dfrac{{\sin 2x}}{4} + \dfrac{{\sin 4x}}{{32}} + C\)

Vui lòng nhập mật khẩu để tiếp tục

test321

LG câu b

b) \(\int {\dfrac{1}{{{{\sin }^3}x}}dx} \)

Phương pháp giải:

Nhân cả tử và mẫu của biểu thức dưới dấu nguyên hàm với \(\sin x\) rồi đổi biến \(t = \cos x\) để tìm nguyên hàm.

Lời giải chi tiết:

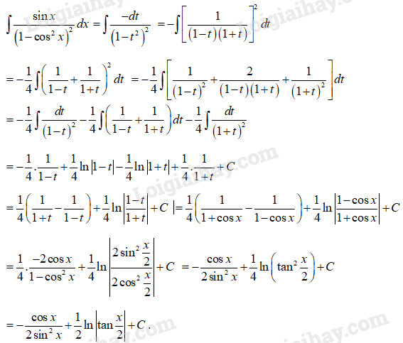
Ta có: \(\int {\dfrac{1}{{{{\sin }^3}x}}dx} \)\( = \int {\dfrac{{\sin x}}{{{{\sin }^4}x}}dx} \) \( = \int {\dfrac{{\sin x}}{{{{\left( {1 – {{\cos }^2}x} \right)}^2}}}dx} \)

Đặt \(t = \cos x \Rightarrow dt =  – \sin xdx\) ta có:

LG câu c

c) \(\int {{{\sin }^3}x{{\cos }^4}xdx} \)

Phương pháp giải:

Đổi biến \(u = \cos x\) tính nguyên hàm.

Lời giải chi tiết:

\(\int {{{\sin }^3}x{{\cos }^4}xdx} \)

Đặt \(t = \cos x \Rightarrow dt =  – \sin xdx\).

Khi đó \(\int {{{\sin }^3}x{{\cos }^4}xdx} \)\( = \int {{{\sin }^2}x.{{\cos }^4}x.\sin xdx} \) \( = \int {\left( {1 – {t^2}} \right).{t^4}.\left( { – dt} \right)} \)

\( = \int {\left( { – {t^4} + {t^6}} \right)dt} \) \( =  – \dfrac{{{t^5}}}{5} + \dfrac{{{t^7}}}{7} + C\) \( =  – \dfrac{{{{\cos }^5}x}}{5} + \dfrac{{{{\cos }^7}x}}{7} + C\).

LG câu d

d) \(\int {{{\sin }^4}x{{\cos }^4}xdx} \)

Phương pháp giải:

Hạ bậc (sử dụng công thức nhân đôi) và tính nguyên hàm.

Lời giải chi tiết:

Ta có: \({\sin ^4}x{\cos ^4}x\)\( = {\left( {\dfrac{1}{2}\sin 2x} \right)^4} = \dfrac{1}{{{2^4}}}{\sin ^4}2x\) \( = \dfrac{1}{{16}}{\left( {{{\sin }^2}2x} \right)^2} = \dfrac{1}{{16}}.{\left[ {\dfrac{{1 – \cos 4x}}{2}} \right]^2}\)

\( = \dfrac{1}{{64}}{\left( {1 – \cos 4x} \right)^2}\) \( = \dfrac{1}{{64}}\left( {1 – 2\cos 4x + {{\cos }^2}4x} \right)\) \( = \dfrac{1}{{64}} – \dfrac{1}{{32}}\cos 4x + \dfrac{1}{{64}}.\dfrac{{1 + \cos 8x}}{2}\)

\( = \dfrac{3}{{128}} – \dfrac{1}{{32}}\cos 4x + \dfrac{1}{{128}}\cos 8x\)

Sachgiaihay.com

TẢI APP ĐỂ XEM OFFLINE