Đề bài
I. TRẮC NGHIỆM (3 điểm)
Câu 1: Với \(x > 0\) thì biểu thức nào sau đây luôn có nghĩa?
A. \(\sqrt {2 – x} \) B. \(\sqrt {x – 2} \) C. \(\sqrt {2x} \) D. \(\sqrt { – 2x} \)
Câu 2: Sau khi rút gọn biểu thức \(\sqrt {{{\left( {\sqrt 5 – 2} \right)}^2}} – \sqrt 5 \) có giá trị bằng:
A. \(2\) B. \( – 2\) C. \(2 – 2\sqrt 5 \) D. \(2\sqrt 5 – 2\)
Câu 3: Nghiệm của hệ phương trình \(\left\{ \begin{array}{l}x – y = 2\\x + y = 0\end{array} \right.\) là cặp số \(\left( {x;\,\,y} \right)\) nào sau đây?
A. \(\left( {3;\,\,1} \right)\) B. \(\left( {0;\,\,0} \right)\) C. \(\left( {1; – 1} \right)\) D. \(\left( { – 1;\,\,1} \right)\)
Câu 4: Hai đường thẳng \(y = \left( {{m^2} – 3} \right)x – m\) và \(y = x + 2\) song song với nhau khi \(m\) bằng:
A. \(2\) B. \( – 2\) C. \( \pm 2\) D. \( \pm \sqrt 2 \)
Câu 5: Phương trình nào sau đây là phương trình trùng phương?
A. \({x^2} + 3x – 4 = 0\) B. \({x^4} + 2{x^2} + 1 = 0\) C. \(2{x^4} + {x^3} + 1 = 0\) D. \(2{x^4} + 3x – 5 = 0\)
|
Câu 6: Cho parabol \(\left( P \right):\,\,y = a{x^2}\) và đường thẳng \(\left( d \right):\,\,y = x + b\). Dựa vào hình vẽ, hãy xác định hệ số \(a,\,\,b\) của hai hàm số trên:
A. \(a = \dfrac{1}{2};\,\,b = – 1\) B. \(a = \dfrac{1}{2};\,\,b = 1\)
C. \(a = 2,\,\,b = – 1\) D. \(a = 2,\,\,b = 1\)
|

Câu 7: Cho tam giác \(ABC\) vuông tại \(A,\) đường cao \(AH,\) biết \(BH = 4,\,\,HC = 9.\) Đặt \(AB = x,\) tính \(x.\)

A. \(x = 36\) B. \(x = 36\)
C. \(x = 3\sqrt {13} \) D. \(x = 2\sqrt {13} \)
|
Câu 8: Cho \(\Delta ABC\) vuông tại \(A,\,\,\angle B = \alpha ,\,\,\angle C = \beta .\) Hệ thức nào sau đây luôn đúng?
A. \(\sin \alpha + \cos \beta = 1\) B. \(\tan \alpha = \cot \beta \)
C. \({\tan ^2}\alpha + {\cot ^2}\beta = 1\) D. \(\sin \alpha = \cos \alpha \)
|

Câu 9: Gọi \(m\) là số ggiao điểm của một đường thẳng và một đường tròn. Trường hợp nào sau đây không thể xảy ra?
A. \(m = 0\) B. \(m = 1\) C. \(m = 2\) D. \(m = 3\)
|
Câu 10: Cho hình chữ nhật \(ABCD\) nội tiếp đường tròn \(\left( {O;\,\,R} \right),\) biết \(AB = 8\,cm,\,\,BC = 6\,cm.\) Độ dài bán kính \(R\) là:
A. \(14\,cm\) B. \(7\,cm\)
C. \(5\,cm\) D. \(10\,cm\)
|

Câu 11: Tứ giác \(ABCD\) nào dưới đây không phải là tứ giác nội tiếp?

|
Câu 12: Tính diện tích phần tô đậm được tạo bởi ba nửa đường tròn đường kính \(AB,\,\,BC,\,\,AC,\) biết \(AB = 4\,cm,\,\,BC = 8\,cm.\) Kết quả nào sau đây đúng?
A. \(64\pi \,c{m^2}\) B. \(16\pi \,c{m^2}\)
C. \(12\pi \,c{m^2}\) D. \(8\pi \,c{m^2}\)
|

II. TỰ LUẬN (7 điểm)
Câu 13 (1,5 điểm):
a) Tính \(\sqrt 8 – \dfrac{2}{{\sqrt 2 }}.\)
b) Tìm hai số \(a,\,\,b\) thỏa mãn \(a + b = – 7,\,\,ab = 12.\)
Câu 14 (1,5 điểm):
Cho hai hàm số \(y = – \dfrac{1}{2}{x^2}\) và \(y = x – 4.\)
a) Vẽ đồ thị hàm số của các hàm số này trên cùng một mặt phẳng tọa độ.
b) Tìm tọa độ các giao điểm của hai đồ thị đó bằng phép tính.
Câu 15: Giải bài toán bằng cách lập phương trình hoặc hệ phương trình
Một người đi xe máy từ thị trấn Chí Thạnh đến thị trấn Hai Riêng với vận tốc dự định trước. Sau khi đi được \(\dfrac{1}{3}\) quãng đường, vì đoạn đường còn lại xấu nên người đó phải đi với vận tốc nhỏ hơn so với dự định \(10\) km/h, do đó đến thị trấn Hai Riêng muộn hơn dự định \(18\) phút. Tính vận tốc dự định, biết rằng quãng đường từ thị trấn Chí Thạnh đến thị trấn Hai Riêng là \(90\,km.\)
Câu 16 (2 điểm):
Cho đường tròn \(\left( O \right)\) đường kính \(AB.\) Lấy điểm \(C\) khác \(A\) và \(B\) trên đường tròn \(\left( {CA > CB} \right).\) Trên cung nhỏ \(AC\) lấy điểm \(M\) khác \(A\) và \(C.\) Vẽ \(ME \bot AB\) tại \(E.\) Đoạn thẳng \(ME\) và \(AC\) cắt nhau tại \(D.\) Chứng minh rằng:
a) \(BCDE\) là tứ giác nội tiếp.
b) \(A{M^2} = AD.AC.\)
c) Vẽ dây \(CG\) của đường tròn \(\left( O \right)\) vuông góc với \(AB.\) Tia \(GE\) cắt đường tròn tại \(H\,\left( {H \ne G} \right).\) Chứng minh rằng khi điểm \(M\) di chuyển trên cung nhỏ \(AC\) thì đường thẳng \(HD\) luôn đi qua điểm cố định.
Lời giải
I. TRẮC NGHIỆM (3 điểm)
|
1. C
|
2. B
|
3. C
|
4. A
|
5. B
|
6. D
|
|
7. D
|
8. B
|
9. D
|
10. C
|
11. A
|
12. D
|
Câu 1:
Phương pháp:
Biểu thức \(\sqrt {f\left( x \right)} \) xác định \( \Leftrightarrow f\left( x \right) \ge 0.\)
Cách giải:
Xét đáp án A: \(\sqrt {2 – x} \) xác định \( \Leftrightarrow 2 – x \ge 0 \Leftrightarrow x \le 2 \Rightarrow \) loại đáp án A.
Xét đáp án B: \(\sqrt {x – 2} \) xác định \( \Leftrightarrow x – 2 \ge 0 \Leftrightarrow x \ge 2 \Rightarrow \) loại đáp án B.
Xét đáp án C:\(\sqrt {2x} \) xác định \( \Leftrightarrow 2x \ge 0 \Leftrightarrow x \ge 0 \Rightarrow \) chọn đáp án C.
Chọn C.
Câu 2:
Phương pháp:
Rút gọn biểu thức bằng cách sử dụng công thức: \(\sqrt {{A^2}} = \left| A \right| = \left\{ \begin{array}{l}A\,\,\,khi\,\,\,A \ge 0\\ – A\,\,\,\,khi\,\,\,A < 0\end{array} \right..\)
Cách giải:
\(\sqrt {{{\left( {\sqrt 5 – 2} \right)}^2}} – \sqrt 5 = \left| {\sqrt 5 – 2} \right| – \sqrt 5 = \sqrt 5 – 2 – \sqrt 5 = – 2\,\,\,\,\left( {do\,\,\,\sqrt 5 – 2 > 0} \right).\)
Chọn B.
Câu 3:
Phương pháp:
Giải hệ phương trình bằng phương pháp cộng đại số.
Cách giải:
\(\left\{ \begin{array}{l}x – y = 2\\x + y = 0\end{array} \right. \Leftrightarrow \left\{ \begin{array}{l}2x = 2\\y = – x\end{array} \right. \Leftrightarrow \left\{ \begin{array}{l}x = 1\\y = – 1\end{array} \right..\)
Chọn C.
Câu 4:
Phương pháp:
Hai đường thẳng \(d:\,\,y = ax + b,\,\,\,d’:\,\,y = a’x + b’\) song song với nhau \( \Leftrightarrow \left\{ \begin{array}{l}a = a’\\b \ne b’\end{array} \right..\)
Cách giải:
Hai đường thẳng \(y = \left( {{m^2} – 3} \right)x – m\) và \(y = x + 2\) song song với nhau
\( \Leftrightarrow \left\{ \begin{array}{l}{m^2} – 3 = 1\\ – m \ne 2\end{array} \right. \Leftrightarrow \left\{ \begin{array}{l}{m^2} = 4\\m \ne – 2\end{array} \right. \Leftrightarrow \left\{ \begin{array}{l}\left[ \begin{array}{l}m = 2\\m = – 2\end{array} \right.\\m \ne – 2\end{array} \right. \Leftrightarrow m = 2.\)
Chọn A.
Câu 5:
Phương pháp:
Phương trình trùng phương có dạng: \(a{x^4} + b{x^2} + c = 0\,\,\,\,\left( {a \ne 0} \right).\)
Cách giải:
Trong các phương trình ở các đáp án trên chỉ có đáp án B có phương trình là phương trình trùng phương.
Chọn B.
Câu 6:
Phương pháp:
Dựa vào đồ thị hàm số, xét các điểm mà các đồ thị hàm số đi qua để tìm các hệ số \(a,\,\,b.\)
Cách giải:
Dựa vào đồ thị hàm số ta thấy \(\left( P \right)\) đi qua điểm \(\left( {1;\,2} \right) \Rightarrow 2 = a.1 \Leftrightarrow a = 2.\)
Đường thẳng \(\left( d \right)\) đi qua điểm \(\left( { – 1;\,\,0} \right) \Rightarrow 0 = – 1 + b \Leftrightarrow b = 1.\)
Chọn D.
Câu 7:
Phương pháp:
Sử dụng hệ thức lượng trong tam giác vuông để làm bài.
Cách giải:
Ta có: \(BC = BH + HC = 4 + 9 = 13.\)
Áp dụng hệ thức lượng trong \(\Delta ABC\) vuông tại \(A,\) đường cao \(AH\) ta có:
\(A{B^2} = BH.BC \Leftrightarrow {x^2} = 4.13 \Rightarrow x = 2\sqrt {13} .\)
Chọn D.
Câu 8:
Phương pháp:
Trong \(\Delta ABC\) vuông tại \(A\) ta có: \(\sin B = \cos C;\,\,\,\cos B = \sin C;\,\,\,\tan B = \cot C;\,\,\cot B = \tan C.\)
Cách giải:
Trong các đáp án đã cho, chỉ có đáp án B luôn đúng.
Chọn B.
Câu 9:
Phương pháp:
Đường thẳng và đường tròn có thể xảy ra các trường hợp:
+) Cắt nhau tại hai điểm phân biệt.
+) Tiếp xúc nhau tại một điểm.
+) Đường thẳng nằm ngoài đường tròn.
Cách giải:
Đường thẳng và đường tròn có thể xảy ra các trường hợp:
+) Cắt nhau tại hai điểm phân biệt.
+) Tiếp xúc nhau tại một điểm.
+) Đường thẳng nằm ngoài đường tròn tức là đường thẳng và đường tròn không có điểm chung.
Như vậy chỉ có đáp án D không thể xảy ra.
Chọn D.
Câu 10:
Phương pháp:
Bán kính đường tròn ngoại tiếp hình chữ nhật \(ABCD\) là \(R = \dfrac{{AC}}{2}.\)
Cách giải:

Áp dụng định lý Pitago cho \(\Delta ABC\) vuông tại \(B\) ta có:
\(\begin{array}{l}AC = \sqrt {A{B^2} + B{C^2}} = \sqrt {{8^2} + {6^2}} = 10\,cm.\\ \Rightarrow R = \dfrac{{AC}}{2} = \dfrac{{10}}{2} = 5\,cm.\end{array}\)
Chọn C.
Câu 11:
Phương pháp:
Sử dụng các dấu hiệu nhận biết tứ giác để chọn đáp án đúng.
Cách giải:
Xét đáp án A: Tứ giác \(ABCD\) có hai góc đối diện có tổng là: \({80^0} + {80^0} = {160^0} \ne {180^0} \Rightarrow ABCD\) không phải là tứ giác nội tiếp.
\( \Rightarrow \) Chọn A.
Chọn A.
Câu 12:
Phương pháp:
Công thức diện tích đường tròn bán kính \(R:\,\,\,S = \pi {R^2}.\)
Cách giải:
Ta có:\(AC = 4 + 8 = 12\,cm.\)
Diện tích nửa đường tròn đường kính \(AC:\,\,\,{S_1} = \dfrac{1}{2}\pi .{\left( {\dfrac{{AC}}{2}} \right)^2} = \dfrac{1}{2}\pi {.6^2} = 18\pi \,\,c{m^2}.\)
Diện tích nửa đường tròn đường kính \(AB:\,\,\,{S_2} = \dfrac{1}{2}\pi .{\left( {\dfrac{{AB}}{2}} \right)^2} = \dfrac{1}{2}\pi {.2^2} = 2\pi \,\,c{m^2}.\)
Diện tích nửa đường tròn đường kính \(BC:\,\,\,{S_3} = \dfrac{1}{2}\pi .{\left( {\dfrac{{BC}}{2}} \right)^2} = \dfrac{1}{2}\pi {.4^2} = 8\pi \,\,c{m^2}.\)
Vậy diện tích phần đường hình được tô đậm là: \(S = {S_1} – {S_2} – {S_3} = 18\pi – 2\pi – 8\pi = 8\pi \,c{m^2}.\)
Chọn D.
II. TỰ LUẬN (7 điểm)
Câu 13
Phương pháp:
a) Sử dụng công thức: \(\sqrt {{A^2}B} = \left| A \right|\sqrt B = \left\{ \begin{array}{l}A\sqrt B \,\,\,khi\,\,A \ge 0\\ – A\sqrt B \,\,\,khi\,\,\,\,A < 0\end{array} \right..\)
b) Sử dụng định lý Vi-ét đảo: Cho hai số \(a,\,\,b\) thỏa mãn: \(\left\{ \begin{array}{l}a + b = S\\ab = P\end{array} \right.\,\,\left( {{S^2} \ge 4P} \right)\) thì \(a,\,\,b\) là hai nghiệm của phương trình \({x^2} – Sx + P = 0.\)
Cách giải:
a) Tính \(\sqrt 8 – \dfrac{2}{{\sqrt 2 }}.\)
\(\sqrt 8 – \dfrac{2}{{\sqrt 2 }} = \sqrt {{2^2}.2} – \dfrac{{{{\left( {\sqrt 2 } \right)}^2}}}{{\sqrt 2 }} = 2\sqrt 2 – \sqrt 2 = \sqrt 2 .\)
b) Tìm hai số \(a,\,\,b\) thỏa mãn \(a + b = – 7,\,\,ab = 12.\)
Ta có: \(\left\{ \begin{array}{l}S = a + b = – 7\\\,P = ab = 12\end{array} \right. \Rightarrow \left\{ \begin{array}{l}{S^2} = {\left( { – 7} \right)^2}\\4P = 4.12 = 48\end{array} \right. \Rightarrow {S^2} > 4P.\)
Áp dụng định lý Vi-et đảo ta có hai số \(a,\,\,b\) là hai nghiệm của phương trình:
\(\begin{array}{l}\,\,\,\,\,\,{x^2} + 7x + 12 = 0 \Leftrightarrow {x^2} + 3x + 4x + 12 = 0\\ \Leftrightarrow x\left( {x + 3} \right) + 4\left( {x + 3} \right) = 0 \Leftrightarrow \left( {x + 3} \right)\left( {x + 4} \right) = 0\\ \Leftrightarrow \left[ \begin{array}{l}x + 3 = 0\\x + 4 = 0\end{array} \right. \Leftrightarrow \left[ \begin{array}{l}x = – 3\\x = – 4\end{array} \right..\end{array}\)
Vậy hai số \(a,\,\,b\) thỏa mãn bài toán là: \(\left( {a;\,\,b} \right) = \left\{ {\left( { – 3; – 4} \right);\,\,\left( { – 4;\, – 3} \right)} \right\}.\)
Câu 14
Phương pháp:
a) Lập bảng giá trị, vẽ đồ thị của hai hàm số trên cùng hệ trục tọa độ.
b) Giải phương trình hoành độ giao điểm của hai đồ thị hàm số, tìm hoành độ giao điểm. Thế hoành độg giao điểm vừa tìm được vào một trong hai hàm số tìm tung độ giao điểm.
Cách giải:
a) Vẽ đồ thị hàm số của các hàm số này trên cùng một mặt phẳng tọa độ.
+) Vẽ đồ thị hàm số \(y = – \dfrac{1}{2}{x^2}:\)
Ta có bảng giá trị:
|
\(x\)
|
\( – 4\)
|
\( – 2\)
|
\(0\)
|
\(2\)
|
\(4\)
|
|
\(y = – \dfrac{1}{2}{x^2}\)
|
\( – 8\)
|
\( – 2\)
|
\(0\)
|
\( – 2\)
|
\( – 8\)
|
Vậy đồ thị hàm số \(y = – \dfrac{1}{2}{x^2}\) là đường cong đi qua các điểm \(\left( { – 4; – 8} \right);\,\,\left( { – 2;\, – 2} \right);\,\,\left( {0;\,\,0} \right);\,\,\left( {2; – 2} \right);\,\,\left( {4; – 8} \right)\) và nhận trục \(Oy\) làm trục đối xứng.
+) Vẽ đồ thị hàm số \(y = x – 4:\)
|
\(x\)
|
\(0\)
|
\(4\)
|
|
\(y = x – 4\)
|
\(4\)
|
\(0\)
|
Vậy đồ thị hàm số \(y = x – 4\) là đường thẳng đi qua hai điểm: \(\left( {0;\,\,4} \right);\,\,\,\left( {4;\,\,0} \right).\)
Vẽ đồ thị hàm số:

b) Tìm tọa độ các giao điểm của hai đồ thị đó bằng phép tính.
Phương trình hoành độ giao điểm của hai đồ thị hàm số là:
\(\begin{array}{l} – \dfrac{1}{2}{x^2} = x – 4 \Leftrightarrow {x^2} + 2x – 8 = 0 \Leftrightarrow {x^2} + 4x – 2x – 8 = 0\\ \Leftrightarrow x\left( {x + 4} \right) – 2\left( {x + 4} \right) = 0 \Leftrightarrow \left( {x + 4} \right)\left( {x – 2} \right) = 0\\ \Leftrightarrow \left[ \begin{array}{l}x + 4 = 0\\x – 2 = 0\end{array} \right. \Leftrightarrow \left[ \begin{array}{l}x = – 4 \Rightarrow y = – 8\\x = 2 \Rightarrow y = – 2\end{array} \right..\end{array}\)
Vậy đường thẳng \(d:\,\,y = x – 4\) cắt parabol \(\left( P \right):\,\,y = – \dfrac{1}{2}{x^2}\) tại hai điểm phân biệt: \(\left( { – 4;\, – 8} \right),\,\,\,\left( {2; – 2} \right).\)
Câu 15:
Phương pháp:
Bước 1: Đặt ẩn và tìm điều kiện của ẩn
Bước 2: Lập phương trình
Bước 3: Giải phương trình ta tìm được ẩn. Từ đó so sánh với điều kiện ở bước 1 để chọn các giá trị phù hợp và kết luận.
Cách giải:
Gọi vận tốc dự định của người đó là \(x\) (km/h) \(\left( {x > 10} \right)\)
Thời gian đi từ thị trấn Chí Thạnh đến thi trấn Hai Riêng theo dự định là \(\dfrac{{90}}{x}\) giờ.
\(\dfrac{1}{3}\) quãng đường đầu dài là \(90:3 = 30\,km\)
Thời gian người đó đi \(\dfrac{1}{3}\) quãng đường đầu là \(\dfrac{{30}}{x}\) giờ
Quãng đường còn lại dài là \(90 – 30 = 60\,km\)
Vận tốc người đó đi quãng đường còn lại là \(x – 10\) (km/h) .
Thời gian người đó đi quãng đường còn lại là \(\dfrac{{60}}{{x – 10}}\) giờ
Tổng thời gian người đó đi theo thực tế là \(\dfrac{{30}}{x} + \dfrac{{60}}{{x – 10}}\) giờ.
Vì người đó đến thị trấn Hai Riêng muộn hơn dự định \(18\) phút (\( = \dfrac{3}{{10}}\) giờ) nên ta có phương trình:
\(\begin{array}{l}\dfrac{{30}}{x} + \dfrac{{60}}{{x – 10}} – \dfrac{3}{{10}} = \dfrac{{90}}{x} \Leftrightarrow \dfrac{{60}}{{x – 10}} – \dfrac{{60}}{x} = \dfrac{3}{{10}}\\ \Rightarrow 600x – 600\left( {x – 10} \right) = 3x\left( {x – 10} \right)\\ \Leftrightarrow 600x – 600x + 6000 = 3{x^2} – 30x\\ \Leftrightarrow 3{x^2} – 30x – 6000 = 0 \Leftrightarrow {x^2} – 10x – 2000 = 0\\ \Leftrightarrow {x^2} – 50x + 40x – 2000 = 0 \Leftrightarrow x\left( {x – 50} \right) + 40\left( {x – 50} \right) = 0\\ \Leftrightarrow \left( {x – 50} \right)\left( {x + 40} \right) = 0 \Leftrightarrow \left[ \begin{array}{l}x – 50 = 0\\x + 40 = 0\end{array} \right. \Leftrightarrow \left[ \begin{array}{l}x = 50\,\,\,\,\,\,\left( {tm} \right)\\x = – 40\,\,\left( {ktm} \right)\end{array} \right.\end{array}\)
Vậy vận tốc dự định của người đó là \(50\) km/h.
Câu 16
Phương pháp:
a) Sử dụng các dấu hiệu nhận biết để chứng minh tứ giác nội tiếp.
b) Chứng minh tam giác đồng dạng và sử dụng hệ thức lượng trong tam giác vuông.
c) Chứng minh tứ giác \(AHDE\) là tứ giác nội tiếp.
Chứng minh \(HD\) và \(HB\) cùng vuông góc với \(AH\), từ đó suy ra \(H,\,\,D,\,\,B\) thẳng hàng.
Cách giải:

a) \(BCDE\) là tứ giác nội tiếp.
Ta có: \(ME \bot AB = \left\{ E \right\} \Rightarrow \angle MEB = {90^0}\,\,hay\,\,\,\angle DEB = {90^0}.\)
Lại có: \(\angle ACB\) là góc nội tiếp chắn nửa đường tròn \(\left( O \right)\)
\( \Rightarrow \angle ACB = {90^0} = \angle DCB.\)
Tứ giác \(BCDE\) có \(\angle BCD + \angle DEB = {90^0} + {90^0} = {180^0}\)
Mà hai góc này là hai góc đối diện
\( \Rightarrow BCDE\) là tứ giác nội tiếp. (dhnb)
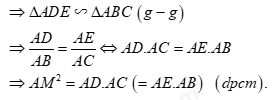
b) \(A{M^2} = AD.AC.\)
Ta có: \(\angle AMB\) là góc nội tiếp chắn nửa đường tròn \(\left( O \right)\)
\(\angle AMB = {90^0} \Rightarrow \Delta AMB\) vuông tại \(M.\)
Áp dụng hệ thức lượng trong \(\Delta AMB\) vuông tại \(M\) có đường cao \(ME\) ta có: \(A{M^2} = AE.AB.\)
Xét \(\Delta ADE\) và \(\Delta ABC\) ta có: \(\left\{ \begin{array}{l}\angle A\,\,\,chung\\\angle AED = \angle ACB = {90^0}\end{array} \right.\)

c) Vẽ dây \(CG\) của đường tròn \(\left( O \right)\) vuông góc với \(AB.\) Tia \(GE\) cắt đường tròn tại \(H\,\left( {H \ne G} \right).\) Chứng minh rằng khi điểm \(M\) di chuyển trên cung nhỏ \(AC\) thì đường thẳng \(HD\) luôn đi qua điểm cố định.
Ta có: \(\left\{ \begin{array}{l}CG \bot AB\,\,\left( {gt} \right)\\ME \bot AB\,\,\left( {gt} \right)\end{array} \right. \Rightarrow CG//AB\) (từ vuông góc đến song song).
\( \Rightarrow \angle ADE = \angle ACG\) (đồng vị).
Mà \(\angle AHG = \angle ACG\) (hai góc nội tiếp cùng chắn cung \(AG\))
\( \Rightarrow \angle AHG = \angle ADE = \angle AHE \Rightarrow \) Tứ giác \(AHDE\) là tứ giác nội tiếp (Tứ giác có 2 đỉnh kề cùng nhìn một cạnh dưới các góc bằng nhau).
\( \Rightarrow \angle AHD + \angle AED = {180^0}\) (Tổng hai góc đối của tứ giác nội tiếp).
Mà \(\angle AED = \angle AEM = {90^0}\,\,\left( {gt} \right) \Rightarrow \angle AHD = {90^0} \Rightarrow AH \bot HD\).
Ta có \(\angle AHB = {90^0}\) (góc nội tiếp chắn nửa đường tròn) \( \Rightarrow AH \bot HB\).
Từ đó theo tiên đề Ơ-clit ta có \(HD \equiv HB\) hay \(H,\,\,D,\,\,B\) thẳng hàng.
Vậy đường thẳng \(HD\) luôn đi qua điểm \(B\) cố định.