1. Bài 3: Cóc kiện Trời

Tìm lời giải cho câu đố sau. Vì sao cóc lên thiên đình kiện Trời? Nêu cách sắp xếp đội hình của cóc khi đến nhà Trời. Đội quân của cóc và đội quân nhà Trời đã giao chiến với nhau như thế nào? Vì sao Trời thay đổi thái độ với cóc sau khi giao chiến? Tìm ý tương ứng với mỗi đoạn trong câu chuyện Cóc kiện Trời.

Lựa chọn câu để xem lời giải nhanh hơn

Phần I

Tìm lời giải cho câu đố sau:

Trông tôi xấu xí, xù xì

Đêm về người ngủ, tôi thì bắt sâu

Khi nào trời nắng quá lâu

Tôi kêu mấy tiếng, mưa đâu bay về.

(Là con gì?)

 

Phương pháp giải:

Em đọc kĩ câu đố và cho biết đó là con gì?

Lời giải chi tiết:

Lời giải: con cóc

Phần II

Cóc kiện Trời

Ngày xưa, có một năm trời nắng hạn rất lâu, ruộng đồng nứt nẻ, cây cỏ trụi trơ, chim muông khát khô cả họng.

Cóc thấy nguy quá, bèn lên thiên đình kiện Trời. Dọc đường, gặp cua, gấu, cọp, ong và cáo. Tất cả đều xin đi theo.

Đến cửa nhà Trời, chỉ thấy một cái trống to, cóc bảo:

– Anh cua bò vào chum nước này. Cô ong đợi sau cánh cửa. Còn chị cáo, anh gấu, anh cọp thì nấp ở hai bên.

Sắp đặt xong, cóc một mình bước tới, lấy dùi đánh ba hồi trống. Thấy chú cóc bé tẹo dám náo động thiên đình, Trời nổi giận, sai gà ra trị tội. Gà vừa bay đến, cóc ra hiệu, cáo nhảy xổ tới, cắn cổ gà tha đi. Trời sai chó bắt cáo. Chó mới ra tới cửa, gấu đã quật chó chết tươi. Trời càng tức, sai Thần Sét trị gấu. Thần Sét cầm lưỡi tầm sét hùng hổ đi ra, chưa kịp nhìn địch thủ, đã bị ong ở sau cửa bay ra đốt túi bụi. Thần nhảy vào chum nước, lập tức cua giơ càng ra kẹp. Thần đau quá, nhảy ra thì bị cọp vồ.

Trời túng thế, đành mời cóc vào. Cóc tâu:

– Muôn tâu Thượng đế! Đã lâu lắm rồi, trần gian không hề được một giọt nước mưa. Thượng đế cần làm mưa ngay để cứu muôn loài.

Trời sợ trần gian nổi loạn, dịu giọng nói:

– Thôi, cậu hãy về đi. Ta sẽ cho mưa xuống!

Lại còn dặn thêm:

– Lần sau, hễ muốn mưa, cậu chỉ cần nghiến răng báo hiệu cho ta, khỏi phải lên đây!

Cóc về đến trần gian thì nước đã ngập cả ruộng đồng.

Từ đó, hễ cóc nghiến răng là trời đổ mưa.

(Truyện cổ Việt Nam)

Từ ngữ:

– Thiên đình: triều đình ở trên trời, theo tưởng tượng của người xưa

– Náo động: làm ầm ĩ, ồn ào

– Lưỡi tầm sét: vũ khí hình cái búa của Thần Sét

– Địch thủ: người đối chọi

– Túng thế (núng thế): rơi vào cảnh lúng túng, không lối thoát

– Trần gian: thế giới của con người trên mặt đất.

Câu 1

Vì sao cóc lên thiên đình kiện Trời?

Phương pháp giải:

Em đọc 2 câu văn đầu bài đọc để trả lời câu hỏi.

Lời giải chi tiết:

Cóc lên thiên đình kiện Trời vì trời hạn hán rất lâu, ruộng đồng nứt nẻ, cây cối trơ trụi, chim muông khát khô cả họng.

Câu 2

Nêu cách sắp xếp đội hình của cóc khi đến nhà Trời.

Phương pháp giải:

Em đọc kĩ lời nói của cóc để biết cách sắp xếp đội hình của cóc.

Lời giải chi tiết:

Cách sắp xếp đội hình của cóc khi đến nhà Trời là: anh cua bò vào chum nước, cô ong đợi sau cánh cửa, chị cáo, anh gấu, anh cọp thì nấp ở hai bên.

Câu 3

Đội quân của cóc và đội quân nhà Trời đã giao chiến với nhau như thế nào?

M:

Phương pháp giải:

Em đọc kĩ đoạn văn miêu tả trận giao chiến giữa đội quân của cóc và đội quân của nhà Trời, sau đó dựa vào mẫu để hoàn thành bài tập.

Lời giải chi tiết:

Trời sai chó bắt cáo => Gấu quật chó chết tươi

Trời sai Thần Sét trị gấu => Ong ở sau cửa bay ra đốt Thần Sét túi bụi

Thần Sét nhảy vào chum nước => Cua giơ càng ra kẹp

Thần Sét đau quá, nhảy ra ngoài => Cọp vồ

Câu 4

Vì sao Trời thay đổi thái độ với cóc sau khi giao chiến?

Phương pháp giải:

Em suy nghĩ và đưa ra câu trả lời.

Lời giải chi tiết:

Trời thay đổi thái độ với cóc sau khi giao chiến vì đội quân của cóc rất lanh lợi, tài giỏi, khiến cho đội quân nhà Trời túng thế, không thể làm gì được.

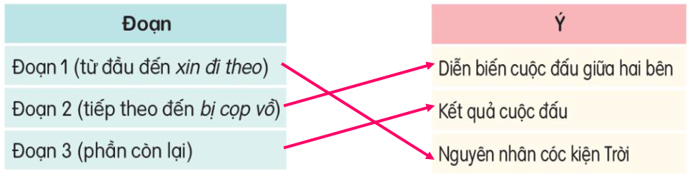
Câu 5

Tìm ý tương ứng với mỗi đoạn trong câu chuyện Cóc kiện Trời.

Phương pháp giải:

Em đọc kĩ nội dung 2 cột và nối cho phù hợp.

Lời giải chi tiết:

Nội dung

Bài đọc kể về hành trình lên thiên đình kiện Trời của cóc. Qua bài đọc, giải thích lý do vì sao hễ cóc nghiến răng thì trời đổ mưa. 

TẢI APP ĐỂ XEM OFFLINE

Tiếng Việt 3 tập 1 – Kết nối tri thức

Tiếng Việt 3 tập 2 – Kết nối tri thức