Bài 5 mục II trang 153 Vở bài tập Sinh học 9

Giải bài 5 mục II Câu hỏi ôn tập trang 153 VBT Sinh học 9: Hãy điền những cụm từ thích hợp vào các ô vuông ở sơ đồ chuỗi thức ăn dưới đây và giải thích.

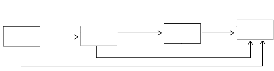
Đề bài

Hãy điền những cụm từ thích hợp vào các ô vuông ở sơ đồ chuỗi thức ăn dưới đây và giải thích.

Phương pháp giải – Xem chi tiết

Chuỗi thức ăn (quan hệ thức ăn) (xích thức ăn) là một dãy gồm nhiều loài sinh vật có quan hệ dinh dưỡng với nhau, loài đứng trước là thức ăn của loài đứng sau.

Lời giải chi tiết

Vui lòng nhập mật khẩu để tiếp tục

test321

Giải vở bài tập Sinh học 9 | Giải VBT Sinh học 9

Giải thích: cây cỏ là thức ăn của sâu ăn lá, sâu ăn lá là thức ăn của bọ ngựa, các sinh vật trên sau khi chết đi đều bị vi sinh vật phân giải và tiêu thụ

Sachgiaihay.com

TẢI APP ĐỂ XEM OFFLINE

PHẦN DI TRUYỀN VÀ BIẾN DỊ

PHẦN SINH VẬT VÀ MÔI TRƯỜNG