Giải mục 2 trang 40, 41 SGK Toán 10 tập 2 – Chân trời sáng tạo

Một thiết bị thăm dò đáy biển đang lặn với vận tốc v=(10; – 8) (hình 8).

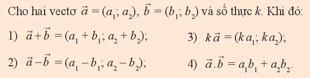
Lựa chọn câu để xem lời giải nhanh hơn

HĐ Khám phá 2

Trong mặt phẳng Oxy, cho hai vectơ \(\overrightarrow a  = \left( {{a_1},{a_2}} \right),\overrightarrow b  = \left( {{b_1},{b_2}} \right)\) và số thực k. Ta đã biết có thể biểu diễn từng vectơ \(\overrightarrow a ,\overrightarrow b \) theo hai vectơ , \(\overrightarrow j \) như sau

a) Biểu diễn từng vectơ \(\overrightarrow a  + \overrightarrow b ,\overrightarrow a  – \overrightarrow b ,k\overrightarrow a \) theo hai vectơ , \(\overrightarrow j \)

b) Tìm \(\overrightarrow a .\overrightarrow b \) theo tọa độ của hai vectơ \(\overrightarrow a \) và \(\overrightarrow b \)

Lời giải chi tiết:

a) Ta có

\(\begin{array}{*{20}{l}}
{\vec a + \vec b = \left( {{a_1} + {a_2}\vec j} \right) + \left( {{b_1} + {b_2}\vec j} \right) = \left( {{a_1} + {b_1}} \right) + \left( {{a_2} + {b_2}} \right)}\\
{\vec a – \vec b = \left( {{a_1} + {a_2}\vec j} \right) – \left( {{b_1} + {b_2}\vec j} \right) = \left( {{a_1} – {b_1}} \right) + \left( {{a_2} – {b_2}} \right)}\\
{k\vec a = k\left( {{a_1} + {a_2}\vec j} \right) = k{a_1} + k{a_2}\vec j}
\end{array}\)

b) Ta có

\(\begin{array}{l}
\vec a.\vec b = \left( {{a_1}\overrightarrow i + {a_2}\vec j} \right).\left( {{b_1}\overrightarrow i + {b_2}\vec j} \right)\\
= {a_1}{b_1}{\overrightarrow i ^2} + {a_1}{b_2}\overrightarrow i .\vec j + {a_2}{b_1}\overrightarrow i \vec j + {a_2}{b_2}{{\vec j}^2}\\
= {a_1}{b_1} + {a_2}{b_2}
\end{array}\)

Vì \({\overrightarrow i ^2} = {\left| {\overrightarrow i } \right|^2} = 1,{\overrightarrow j ^2} = {\left| {\overrightarrow j } \right|^2} = 1,\overrightarrow i \overrightarrow j  = 0\)

Vui lòng nhập mật khẩu để tiếp tục

test123

Thực hành 2

Cho hai vectơ \(\overrightarrow m  = \left( { – 6;1} \right),\overrightarrow n  = \left( {0;2} \right)\)

a) Tìm tọa độ các vectơ \(\overrightarrow m  + \overrightarrow n ,\overrightarrow m  – \overrightarrow n ,10\overrightarrow m , – 4\overrightarrow n \)

b) Tính các tích vô hướng \(\overrightarrow m .\overrightarrow n ,\left( {10\overrightarrow m } \right).\left( { – 4\overrightarrow n } \right)\)

Phương pháp giải:

Lời giải chi tiết:

a) Ta có

\(\begin{array}{l}\overrightarrow m  + \overrightarrow n  = \left( {\left( { – 6 + 0} \right);1 + 2} \right) = ( – 6;3)\\\overrightarrow m  – \overrightarrow n  = \left( {\left( { – 6 – 0} \right);\left( {1 – 2} \right)} \right) = \left( { – 6; – 1} \right)\\10\overrightarrow m  = (10.( – 6);10.1) = ( – 60;10)\\ – 4\overrightarrow n  = (( – 4).0;( – 4).2) = (0; – 8)\end{array}\)

b) Ta có

\(\overrightarrow m .\overrightarrow n  = ( – 6).0 + 1.2 = 0 + 2 = 2\)

Ta có \(10\overrightarrow m  = ( – 60;10)\) và \( – 4\overrightarrow n  = (0; – 8)\) nên \(\left( {10\overrightarrow m } \right).\left( { – 4\overrightarrow n } \right) = ( – 60).0 + 10.( – 8) = 0 – 80 =  – 80\)

Vận dụng 2

Một thiết bị thăm dò đáy biển đang lặn với vận tốc \(\overrightarrow v  = \left( {10; – 8} \right)\) (hình 8). Cho biết vận tốc của dòng hải lưu vùng biển là \(\overrightarrow w  = \left( {3,5;0} \right)\). Tìm tọa dộ của vectơ tổng hai vận tốc \(\overrightarrow v \) và \(\overrightarrow w \)

Phương pháp giải:

Với \(\overrightarrow v  = \left( {{v_1};{v_2}} \right),\overrightarrow w  = \left( {{w_1};{w_2}} \right)\) thì \(\overrightarrow v  + \overrightarrow w \) là \(\left( {{v_1} + {w_1};{v_2} + {w_2}} \right)\)

Lời giải chi tiết:

\(\overrightarrow v  + \overrightarrow w  = (10 + 3,5;( – 8) + 0) = (13,5; – 8)\)

Vậy tọa độ của vectơ tổng hai vận tốc \(\overrightarrow v \) và  \(\overrightarrow w \) là \((13,5; – 8)\)

TẢI APP ĐỂ XEM OFFLINE

Toán 10 tập 1 – Chân trời sáng tạo