3. Bài 7: Hóa học về phản ứng cháy, nổ

Nhiệt của phản ứng cháy, nổ được xác định như thế nào? Các yếu tố nào ảnh hưởng đến mức độ mãnh liệt của phản ứng cháy, nổ? Dựa vào dự liệu Bảng 7.1 và 7.2, em hãy tính biến thiên enthalpy của phản ứng đốt cháy 1 mol ethanol và 1 mol khí gas.

Lựa chọn câu để xem lời giải nhanh hơn

CH tr 44 Mở đầu:

Các hiện tượng cháy, nổ xảy ra hầu hết do các phản ứng hóa học gây nên, tỏa nhiều nhiệt, tốc độ phản ứng lớn. Do đó, hóa học đóng vai trò rất quan trọng trong việc nghiên cứu nguyên nhân, đưa ra các biện pháp phòng chống cũng như xử lí khi xảy ra hỏa hoạn một cách hiệu quả và an toàn nhất. Nhiệt của phản ứng cháy, nổ được xác định như thế nào? Các yếu tố nào ảnh hưởng đến mức độ mãnh liệt của phản ứng cháy, nổ?

Lời giải chi tiết:

– Tính biến thiên enthalpy của phản ứng cháy, nổ theo năng lượng liên kết

                        \({\Delta _r}H_{298}^o = \sum {{E_b}(cd) – \sum {{E_b}(sp)} } \)

– Tính biến thiên enthaloy của phản ứng cháy, nổ theo nhiệt hình thành chuẩn của các chất

\({\Delta _r}H_{298}^o = \sum {{\Delta _f}H_{298}^o(sp) – \sum {{\Delta _f}H_{298}^o(cd)} } \)

– Các yếu tố ảnh hưởng đến tốc độ phản ứng cháy:

+ Chất cháy.

+ Chất oxi hóa (oxygen)

+ Nguồn nhiệt

CH tr 44 Thảo luận 1:

Dựa vào dự liệu Bảng 7.1 và 7.2, em hãy tính biến thiên enthalpy của phản ứng đốt cháy 1 mol ethanol và 1 mol khí gas. 


Lời giải chi tiết:

Phản ứng đốt cháy ethanol:

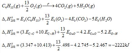
Phản ứng đốt cháy 1 mol propane:

Phản ứng đốt cháy 1 mol butane:

Biến thiên enthalpy phản ứng đốt cháy 1 mol khí gas chứa propane (40%) và butane (60%) là:

                        \({\Delta _r}H_{298}^0 = ( – 1718).0,4 + ( – 2222).0,6 = 2020,4kJ\)

CH tr 45 Thảo luận 2:

Tính biến thiên enthalpy của phản ứng đốt cháy 1 mol octane (C8H18, chất có trong xăng) và 1 mol methane (thành phần chính của khí thiên nhiên). Dự đoán mức độ mãnh liệt của các phản ứng này.

Lời giải chi tiết:

Phản ứng đốt cháy 1 mol octane:

\(\begin{array}{l}{\Delta _r}H_{298}^o = {E_b}({C_8}{H_{18}}) + \frac{{25}}{2}.{E_b}({O_2}) – 8.{E_b}(C{O_2}) – 9.{E_b}({H_2}O)\\{\Delta _r}H_{298}^o = (7.{E_{C – C}} + 18.{E_{C – H}}) + \frac{{25}}{2}.{E_{O = O}} – 8.2.{E_{C = O}} – 9.2.{E_{O – H}}\\{\Delta _r}H_{298}^o = (7.347 + 18.413) + \frac{{25}}{2}.498 – 8.2.745 – 9.2.467 =  – 4238kJ\end{array}\)

Đốt cháy 1 mol C8H18(g)  tỏa ra 4238 kJ nhiệt lượng

Phản ứng đốt cháy 1 mol methane


\(\begin{array}{l}{\Delta _r}H_{298}^o = {E_b}(C{H_4}) + 2.{E_b}({O_2}) – {E_b}(C{O_2}) – 2{E_b}({H_2}O)\\{\Delta _r}H_{298}^o = 4.{E_{C – H}} + 2.{E_{O = O}} – 2.{E_{C = O}} – 2.2.{E_{O – H}}\\{\Delta _r}H_{298}^o = 4.413 + 2.498 – 2.745 – 2.2.467 =  – 710kJ\end{array}\)

Đốt cháy 1 mol CH4(g) tỏa ra 710 kJ nhiệt lượng

Như vậy nhiệt lượng tỏa ra khi đốt cháy octane lớn hơn nhiều so với đốt cháy methane. Hay phản ứng đốt cháy octane xảy ra mãnh liệt hơn phản ứng đốt cháy methane.


CH tr 45 Thảo luận 3:

Ở điều kiện thường (298K), oxygen chiếm khoảng 20,9% theo thể tích trong không khí, tương đương với áp suất 0,209 atm. Tính nồng độ mol/L của oxygen trong không khí.

Lời giải chi tiết:

Lấy 100 L không khí có 20,9 L oxygen

\(\begin{array}{l}{n_{{O_2}}} = \frac{{{P_{{O_2}}}.{V_{{O_2}}}}}{{R.T}} = \frac{{0,209.20,9}}{{0,082.298}} = 0,179mol\\{C_{{O_2}}} = \frac{{{n_{{O_2}}}}}{{{V_{{O_2}}}}} = \frac{{0,179}}{{20,9}} = 8,{56.10^{ – 3}}mol/L\end{array}\)

CH tr 45 Thảo luận 4:

Khi thể tích oxygen giảm còn 15% thể tích không khí thì nồng độ mol/L của oxygen là bao nhiêu?

Lời giải chi tiết:

\(\begin{array}{l}\frac{{{C_{{O_2}(20,9\% )}}}}{{{C_{{O_2}(15\% )}}}} = \frac{{20,9}}{{15}}\\ =  > \frac{{8,{{56.10}^{ – 3}}}}{{{C_{{O_2}(15\% )}}}} = \frac{{20,9}}{{15}}\\ =  > {C_{{O_2}(15\% )}} = 6,{14.10^{ – 3}}mol/L\end{array}\)

CH tr 45 Thảo luận 5:

Hãy cho biết tốc độ phản ứng cháy của than đá tăng hay giảm bao nhiêu lần khi thành phần phần trăm theo thể tích của oxygen trong không khí giảm từ 20,9% xuống 15%.

Lời giải chi tiết:

Từ biểu thức tính tốc độ phản ứng cháy của thanh đá: v = k × CO2  cho thấy nếu nồng độ oxygen giảm bao nhiêu lần thì tốc độ phản ứng giảm đi bấy nhiêu lần.

Tốc độ phản ứng cháy tỉ lệ thuận với nồng độ oxygen.

\(\frac{{{v_{15\% }}}}{{{v_{20,9\% }}}} = \frac{{15}}{{20,9}} = 0,72\) lần

Như vậy tốc độ phản ứng cháy của than đá giảm chỉ còn bằng 0,72 lần so với ban đầu.

CH tr 46 Thảo luận 6:

Giả sử một căn phòng có thành phần phần trăm theo thể tích của oxygen trong không khí là 17%. Tốc độ “phản ứng hô hấp” của người ở trong phòng tăng hay giảm bao nhiêu lần so với ở ngoài phòng? Biết rằng oxygen chiếm khoảng 20,9% theo thể tích trong không khí.

Lời giải chi tiết:

Tốc độ “phản ứng hô hấp” phụ thuộc nồng độ oxygen theo phương trình tốc độ:

v = k × CO2

\(\frac{{{v_{17\% }}}}{{{v_{20,9\% }}}} = \frac{{17}}{{20,9}} = 0,81\) lần

Như vậy tốc độ “phản ứng hô hấp” của người ở trong phòng giảm chỉ còn bằng 0,81 lần so với ở ngoài phòng.

CH tr 45 Thảo luận 7:

Nêu những yếu tố ảnh hưởng đến tốc độ phản ứng cháy. Từ đó hãy nêu một số biện pháp dập tắt một đám cháy.

Lời giải chi tiết:

Các yếu tố ảnh hưởng đến tốc độ phản ứng cháy:

+ Chất cháy.

+ Chất oxi hóa (oxygen)

+ Nguồn nhiệt

– Một số biện pháp dập tắt một đám cháy:

+ Đối với các đám cháy là chất rắn như gỗ, củi, rơm rạ ta có thể sử dụng nước làm giảm nhiệt độ của đám cháy xuống dưới nhiệt độ cháy, làm loãng khí cháy.

+ Đối với các đám cháy bằng xăng, dầu không dùng nước để dập tắt mà dùng cát (đối với đám cháy nhỏ) hoặc dùng bột chữa cháy chuyên dụng để dập tắt.

CH tr 45 Thảo luận 8:

Hãy cho ví dụ về một số chất cháy thuộc từng loại đám cháy trong Bảng 7.3.

Lời giải chi tiết:

Loại đám cháy

Chất cháy

Ví dụ

Loại A

Đám cháy các chất rắn (thông thường là các chất hữu cơ) khi cháy thường kèm theo sự tạo ra than hồng.

Chất rắn bao gồm gỗ, giấy, vải, rác và vật liệu thông thường khác.

Loại B

Đám cháy các chất lỏng và chất rắn hóa lỏng

Xăng, dầu, sơn,…

Loại C

Đám cháy các chất khí

Khí tự nhiên, methane, hydrogen,…

Loại D

Đám cháy các kim loại

Kim loại kiềm (Na, K, Li), kim loại kiềm thổ (Ca, Mg), nhôm (aluminium Al)

Loại F

Đám cháy dầu và mỡ của động vật hay thực vật trong các thiết bị nấu nướng

Dầu ăn, mỡ,…

CH tr 46 Thảo luận 9:

Vì sao trong một số trường hợp không được dùng nước để chữa cháy (cháy xăng, dầu,…)?

Lời giải chi tiết:

Không được dùng nước để dập tắt đám cháy xăng, dầu vì xăng, dầu nhẹ hơn nước và không tan trong nước. Nếu dùng nước sẽ khiến xăng, dầu theo nước loang rộng ra, làm đám cháy lan rộng và khó dập tắt hơn.

CH tr 47 Vận dụng:

Giải thích tại sao đám cháy có mặt các kim loại hoạt động mạnh như kim loại kiềm, kiềm thổ và nhôm,… không sử dụng nước, CO2, cát (thành phần chính là SiO2), bọt chữa cháy (hỗn hợp không khí, nước và chất hoạt động bề mặt) để dập tắt đám cháy?

Lời giải chi tiết:

– Không sử dụng nước để dập tắt các đám cháy bằng kim loại hoạt động mạnh như kim loại kiềm, kiềm thổ và nhôm,…Vì các kim loại này có khả năng tác dụng với nước giải phóng hydrogen, dẫn đến xảy ra một vụ nổ hơi làm văng các kim loại này đi khắp nơi dẫn đến đám cháy lan rộng. Hơn nữa, một số kim loại khi bị đốt nóng sẽ phân tách nước thành oxygen và hydrogen có thể tạo ra một vụ nổ hydrogen lớn.

– Không dùng khí CO2 để chữa đám cháy magie vì khi magie cháy nếu có mặt CO2 sẽ xảy ra phản ứng:

2Mg + CO2 → 2MgO + C.

Phản ứng trên tỏa nhiệt rất mạnh và tạo ra muội than. Muội than này tiếp tục cháy và làm cho đám cháy càng khó kiểm soát.

– Không dùng cát để chữa đám cháy kim loại magie vì magie có thể phản ứng với SiO2 thành phần chính có trong cát, làm đám cháy càng khó kiểm soát.

– Không dùng bọt chữa cháy, vì chúng sẽ tiếp tục cháy do có phản ứng với không khí và nước có trong bọt.

– Không dùng bột chữa cháy có chứa NaHCOvì khi nhiệt độ cao sẽ phân hủy thành COvà lại tiếp tục phản ứng với Mg khiến đám cháy lan rộng hơn.

CH tr 47 Bài 1:

Tốc độ phản ứng cháy phụ thuộc nồng độ oxygen. Khi nồng độ oxygen giảm thì tốc độ phản ứng cháy thay đổi như thế nào?

Lời giải chi tiết:

Khi nồng độ oxygen giảm thì tốc độ phản ứng cháy giảm và ngược lại.

CH tr 47 Bài 2:

Tốc độ phản ứng hô hấp phụ thuộc nồng độ oxygen. Khi nồng độ oxygen tăng thì tốc độ “phản ứng hô hấp” thay đổi như thế nào?

Lời giải chi tiết:

Khi nồng độ oxygen giảm thì tốc độ “phản ứng hô hấp” giảm và ngược lại.

CH tr 47 Bài 3:

Không khí trên đỉnh ngọn núi cao rất loãng. Điều này có thể gây ảnh hưởng xấu đến những người leo núi. Vì vậy, những nhà leo núi luôn trang bị bình dưỡng khí khi họ leo lên những đỉnh núi cao. Giả sử không khí trên đỉnh núi đó có 16% oxygen theo thể tích. Tốc độ “phản ứng hô hấp” tăng hay giảm bao nhiêu lần so với nơi mà không khí có 20,9% oxygen theo thể tích?

Lời giải chi tiết:

Tốc độ “phản ứng hô hấp” phụ thuộc nồng độ oxygen theo phương trình tốc độ:

V = k.CO2

\(\frac{{{v_{16\% }}}}{{{v_{20,9\% }}}} = \frac{{16}}{{20,9}} = 0,77\) lần

Như vậy tốc độ “phản ứng hô hấp” của người khi ở trên đỉnh núi giảm chỉ còn bằng 0,77 lần so với nơi mà không khí có 20,9% oxygen theo thể tích.

CH tr 47 Bài 4

Hãy kể tên một số chất có thể sử dụng để dập tắt đám cháy khi xảy ra hỏa hoạn ở

a) xưởng gỗ

b) trạm xăng, dầu.

Lời giải chi tiết:

a) Đối với chất cháy loại A (gỗ, củi) ta có thể sử dụng các hóa chất như nước, carbon dioxide (CO2), chất chữa cháy dạng bọt, bột khô (NaHCO3) để dập tắt.

b) Đối với chất cháy loại B (xăng, dầu) ta có thể sử dụng các hóa chất như carbon dioxide (CO2), chất chữa cháy dạng bọt, bột khô (NaHCO3) để dập tắt. Tuyệt đối không dùng nước.

CH tr 47 Bài 5

Trong một đám cháy do xăng, dầu, người ta có thể dùng một chiếc chăn thấm ướt hoặc cát để dập tắt đám cháy. Giải thích tại sao có thể làm như vậy.

Lời giải chi tiết:

Dùng một chiếc chăn thấm ướt hoặc cát để dập tắt đám cháy có tác dụng ngăn ngọn lửa tiếp xúc với khí oxygen, phá vỡ một tác nhân gây cháy trong tam giác lửa.

TẢI APP ĐỂ XEM OFFLINE