Bài 42 Trang 175 SGK Đại số và Giải tích 12 Nâng cao

tìm nguyên hàm của các hàm số sau

Lựa chọn câu để xem lời giải nhanh hơn

LG a

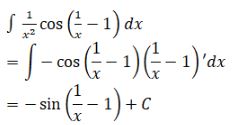
\(y = {1 \over {{x^2}}}\cos \left( {{1 \over x} – 1} \right)\);

Phương pháp giải:

Đổi biến \(u = {1 \over x} – 1\)

Lời giải chi tiết:

Đặt \(u = {1 \over x} – 1 \Rightarrow du =  – {1 \over {{x^2}}}dx \) \(\Rightarrow {{dx} \over {{x^2}}} =  – du\)
Do đó \(\int {{1 \over {{x^2}}}} \cos \left( {{1 \over x} – 1} \right)dx =  – \int {\cos udu}\) \( =  – \sin u + C =  – \sin \left( {{1 \over x} – 1} \right)  + C\)

Cách 2: Đưa vào vi phân

LG b

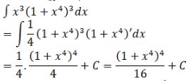
\(y = {x^3}{\left( {1 + {x^4}} \right)^3}\);

Phương pháp giải:

Đổi biến \(u=1+x^4\)

Lời giải chi tiết:

Đặt \(u = 1 + {x^4} \Rightarrow du = 4{x^3}dx \) \(\Rightarrow {x^3}dx = {{du} \over 4}\)

\(\int {{x^3}{{\left( {1 + {x^4}} \right)}^3}dx}= {1 \over 4}\int {{u^3}du} \) \(= {{{u^4}} \over {16}} + C \) \(= {1 \over {16}} {\left( {1 + {x^4}} \right)^4} + C\)

Cách 2: Đưa vào vi phân

Vui lòng nhập mật khẩu để tiếp tục

test123

LG c

\(y = {{x{e^{2x}}} \over 3}\); 

Phương pháp giải:

Sử dụng phương pháp từng phần tính nguyên hàm: 

Đặt \(\left\{ \matrix{u = {x \over 3} \hfill \cr dv = {e^{2x}}dx \hfill \cr} \right. \)

Lời giải chi tiết:

Đặt 

\(\left\{ \matrix{
u = {x \over 3} \hfill \cr 
dv = {e^{2x}}dx \hfill \cr} \right. \Rightarrow \left\{ \matrix{
du = {1 \over 3}dx \hfill \cr 
v = {1 \over 2}{e^{2x}} \hfill \cr} \right.\)

Suy ra: \(\int {{{x{e^{2x}}} \over 3}}dx \) \(= {1 \over 6}x{e^{2x}} – {1 \over 6}\int {{e^{2x}}dx} \) \(= {1 \over 6}x{e^{2x}} – {1 \over {12}}{e^{2x}} + C \)

LG d

\(y = {x^2}{e^x}\).

Phương pháp giải:

Đặt 

\(\left\{ \matrix{
u = {x^2} \hfill \cr 
dv = {e^x}dx \hfill \cr} \right. \)

Lời giải chi tiết:

Đặt 

\(\left\{ \matrix{
u = {x^2} \hfill \cr 
dv = {e^x}dx \hfill \cr} \right. \Rightarrow \left\{ \matrix{
du = 2xdx \hfill \cr 
v = {e^x} \hfill \cr} \right.\)

Suy ra \(\int {{x^2}{e^x}dx = {x^2}{e^x} – 2\int {x{e^x}dx} } \)   (1)

Đặt 

\(\left\{ \matrix{
u = x \hfill \cr 
dv = {e^x}dx \hfill \cr} \right. \Rightarrow \left\{ \matrix{
du = dx \hfill \cr 
v = {e^x} \hfill \cr} \right.\)

Do đó: \(\int {x{e^x}dx }\) \(= x{e^x} – \int {{e^x}dx}\) \( = x{e^x} – {e^x} + C_1 \)

Từ (1) suy ra \(\int {{x^2}{e^x}dx} = {x^2}{e^x} – 2x{e^x} + 2{e^x} + C \) \(= {e^x}\left( {{x^2} – 2x + 2} \right) + C\)

 Sachgiaihay.com

TẢI APP ĐỂ XEM OFFLINE

GIẢI TÍCH – TOÁN 12 NÂNG CAO