10. Tổng hợp bài tập mạch xoay chiều RLC – có ω (hay f, T) thay đổi

Đề bài

Câu 1 :

Cho đoạn mạch RLC nối tiếp có giá trị các phần tử cố định. Đặt vào hai đầu đoạn này một điện áp xoay chiều có tần số thay đổi. Khi tần số góc của dòng điện bằng \({\omega _0}\)  thì cảm kháng và dung kháng có giá trị \({Z_L} = {\rm{ }}100\Omega \) và \({Z_C} = 25\Omega \). Để trong mạch xảy ra cộng hưởng, ta phải thay đổi tần số góc của dòng điện đến giá trị \(\omega \)  bằng:

  • A.

    \(4{\omega _0}\) .

  • B.

    \(2{\omega _0}\)

  • C.

    \(0,5{\omega _0}\)

  • D.

    \(0,25{\omega _0}\)

Câu 2 :

Mạch điện R,L,C nối tiếp, điện áp hai đầu mạch \(u{\rm{ }} = {\rm{ }}220\sqrt 2 cos\omega t\left( V \right)\) và \(\omega \)  có thể thay đổi được. Tính điện áp hiệu dụng 2 đầu R khi biểu thức dòng điện có dạng \(i{\rm{ }} = {I_0}cos\omega t\):

  • A.

    \(220\sqrt 2 \left( V \right)\)

  • B.

    $220(V)$

  • C.

    $110(V)$

  • D.

    \(120\sqrt 2 \left( V \right)\)

Câu 3 :

Mạch điện R1L1C1 có tần số cộng hưởng \({\omega _1}\)  và mạch R2L2C2 có tần số cộng hưởng \({\omega _2}\)  , biết \({\omega _1} = {\omega _2}\) . Mắc nối tiếp hai mạch đó với nhau thì tần số cộng hưởng của mạch sẽ là \(\omega \). \(\omega \) liên hệ với \({\omega _1}\) và \({\omega _2}\)theo công thức nào? Chọn đáp án đúng:

  • A.

    \(\omega = 2{\omega _1}\)

  • B.

    \(\omega = {\rm{ }}3{\omega _1}\)

  • C.

    \(\omega = {\rm{ }}0\)

  • D.

    \(\omega = {\omega _1}\)

Câu 4 :

Cho mạch điện gồm R, L, C mắc nối tiếp. Cho \(L = \dfrac{1}{\pi }H,{\rm{ }}C = 50\mu F\) và \(R{\rm{ }} = 50\Omega \) . Đặt vào hai đầu mạch điện một điện ápxoay chiều \(u = 220cos(2\pi ft)\left( V \right)\), trong đó tần số f thay đổi được. Khi \(f{\rm{ }} = {\rm{ }}{f_o}\) thì công suất trong mạch đạt giá trị cực đại Pmax. Khi đó: 

  • A.

    Pmax = 480W

  • B.

    Pmax = 484W

  • C.

    Pmax = 968W

  • D.

    Pmax = 117W

Câu 5 :

Đặt điện áp \(u{\rm{ }} = {\rm{ }}U\sqrt 2 cos\left( {2\pi ft} \right)\) vào hai đầu đoạn mạch gồm điện trở thuần R, cuộn cảm thuần L và tụ điện C mắc nối tiếp. Biết U,R,L,C không đổi, f thay đổi được. Khi tần số là 50(Hz) thì dung kháng gấp 1,44 lần cảm kháng. Để công suất tiêu thụ trên mạch cực đại thì phải điều chỉnh tần số đến giá trị bao nhiêu?

  • A.

    72 (Hz)

  • B.

    34,72 (Hz)

  • C.

    60 (Hz)

  • D.

    41,67 (Hz)

Câu 6 :

Đặt điện \(u{\rm{ }} = {\rm{ }}U\sqrt 2 cos\left( {2\pi ft} \right)\)(U không đổi, tần số f thay đổi được) vào hai đầu đoạn mạch mắc nối tiếp gồm điện trở thuần R, cuộn cảm thuần có độ tự cảm L và tụ điện có điện dung C. Khi tần số là f1 thì cảm kháng và dung kháng của đoạn mạch có giá trị lần lượt là \(6\Omega \) và \(8\Omega \) . Khi tần số là f2 thì hệ số công suất của đoạn mạch bằng $1$. Hệ thức liên hệ giữa f1 và f2 là:

  • A.

    \({f_2} = \dfrac{4}{3}{f_1}\)

  • B.

    \({f_2} = \dfrac{{\sqrt 3 }}{2}{\rm{ }}{f_1}\)

  • C.

    \({f_2} = \dfrac{2}{{\sqrt 3 }}{f_1}\)

  • D.

    \({f_2} = \dfrac{3}{4}{f_1}\)

Câu 7 :

Đặt điện áp xoay chiều \(u{\rm{ }} = {\rm{ }}{U_0}cos\omega t\) có U0 không đổi và ω thay đổi được vào hai đầu đoạn mạch có R, L, C mắc nối tiếp. Thay đổi \(\omega \)  thì cường độ dòng điện hiệu dụng trong mạch khi \(\omega  = {\omega _1}\)  bằng cường độ dòng điện hiệu dụng trong mạch khi \(\omega  = {\omega _2}\) . Hệ thức đúng là:

  • A.

    \({\omega _1} + {\omega _2} = {\rm{ }}\dfrac{2}{{LC{\rm{ }}}}{\rm{ }}\)

  • B.

    \(\omega_1.\omega_2=\dfrac{1}{\sqrt{LC}}\)

  • C.

    \(\omega_1+\omega_2=\dfrac{2}{\sqrt{LC}}\)

  • D.

    \(\omega_1.\omega_2=\dfrac{1}{LC}\)

Câu 8 :

Đoạn mạch xoay chiều RLC, cuộn dây thuần cảm, biết \(L{\rm{ }} = {\rm{ }}C{R^2}\) . Đặt vào hai đầu đoạn mạch điện áp xoay chiều ổn định, với tần số góc \(\omega \)  thay đổi, trong mạch có cùng hệ số công suất với hai tần số là \({\omega _1} = 50\pi (rad/s)\) và \({\omega _2} = 200\pi (rad/s)\) . Hệ số công suất của mạch là:

  • A.

    \(\dfrac{8}{{17}}\)

  • B.

    \(\dfrac{2}{{\sqrt {13} }}\)

  • C.

    \(\dfrac{3}{{\sqrt {11} }}\)

  • D.

    \(\dfrac{5}{{\sqrt {57} }}\)

Câu 9 :

Đoạn mạch xoay chiều RLC nối tiếp , cuộn dây thuần cảm với \(C{R^2} < {\rm{ }}2L\) ; điện áp hai đầu đoạn mạch là \(u{\rm{ }} = {\rm{ }}U\sqrt 2 cos\omega t\) , U ổn định và \(\omega \)  thay đổi . Khi \(\omega {\rm{ }} = {\rm{ }}{\omega _C}\) thì điện áp hai đầu tụ C cực đại và điện áp hiệu dụng hai đầu cuộn dây \({U_L} = \dfrac{{{U_R}}}{{10}}\). Hệ số công suất tiêu thụ của cả đoạn mạch là:

  • A.

    $0,6$

  • B.

    \(\dfrac{1}{{\sqrt {15} }}\)

  • C.

    \(\dfrac{1}{{\sqrt {26} }}\)

  • D.

    $0,8$

Câu 10 :

 Đoạn mạch xoay chiều RLC nối tiếp , cuộn dây thuần cảm với \(C{R^2} < {\rm{ }}2L\) ; điện áp hai đầu đoạn mạch là \(u = U\sqrt 2 cos\omega t\) , U ổn định và \(\omega \)  thay đổi . Khi \(\omega {\rm{ }} = {\rm{ }}{\omega _L}\) thì điện áp hai cuộn cảm L cực đại và \({U_{Lmax}} = \dfrac{{41U}}{{40}}\) . Hệ số công suất tiêu thụ của cả đoạn mạch là:

  • A.

    $0,6$

  • B.

    \(1/\sqrt {15} \)

  • C.

     \(1/\sqrt {26} \)

  • D.

    $0,8$

Câu 11 :

Đoạn mạch xoay chiều AB có RLC nối tiếp , cuộn dây thuần cảm với CR2 < 2L; điện áp hai đầu đoạn mạch là uAB = U√2cosωt, U ổn định và ω thay đổi . Khi ω = ωC thì điện áp hai đầu tụ C cực đại, khi đó điện áp tức hai đầu đoạn mạch AN ( gồm RL ) và AB lệch pha nhau là α . Giá trị nhỏ nhất của a là : 

  • A.

    70,530                   

  • B.

    900

  • C.

    68,430

  • D.

    120,30

Câu 12 :

Đặt điện áp xoay chiều u= U0cosωt (U0 không đổi và w thay đổi được) vào hai đầu đoạn mạch gồm điện trở thuần R,cuộn cảm thuần có độ tự cảm L và tụ điện có điện dung C mắc nối tiếp,với CR2< 2L. Khi ω = ω1 hoặc ω = ω2 thì điện áp hiệu dụng giữa hai đầu cuộn cảm có cùng một giá trị.Khi ω = ω0 thì điện áp hiệu dụng giữa hai đầu cuộn cảm có giá trị cực đại.Hệ thức liên hệ giữa ω1, ω2 và ω0 là :

  • A.
  • B.
  • C.
  • D.

Câu 13 :

Cho mạch điện xoay chiều RLC mắc nối tiếp. Điện áp xoay chiều đặt vào hai đầu đoạn mạch có biểu thức u= U√2cosωt tần số góc ω biến đổi. Khi ω = ω1=40π (rad/s) và khi ω = ω2 =360π (rad/s)  thì cường độ dòng điện hiệu dụng qua mạch điện có giá trị bằng nhau. Để cường độ dòng điện trong mạch đạt giá trị lớn nhất thì tần số góc ω bằng

  • A.

    100 π (rad/s).

  • B.

    110 π (rad/s).

  • C.

    200 π (rad/s).

  • D.

    120 π (rad/s)

Câu 14 :

Một cuộn dây không thuần cảm nối tiếp với tụ điện C thay đổi được trong mạch điện xoay chiều có điện áp u = U0cosωt (V). Ban đầu dung kháng ZC, tổng trở cuộn dây Zd và tổng trở  Z toàn mạch bằng nhau và đều bằng \(100Ω\). Tăng điện dung thêm một lượng  $\Delta C = \dfrac{{0,{{125.10}^{ – 3}}}}{\pi }$ (F) thì tần số góc dao động riêng của mạch này khi đó là \(80π rad/s\). Tần số góc của nguồn điện xoay chiều bằng:

  • A.

    \(80π rad/s\)

  • B.

    \(100π rad/s\)

  • C.

    \(40π rad/s\)

  • D.

    \(50π rad/s\)

Câu 15 :

Đặt điện áp \(u = 200c{\rm{os}}\omega {\rm{t}}\left( V \right)\) (ω thay đổi được) vào hai đầu đoạn mạch mắc nối tiếp gồm cuộn cảm thuần có độ tự cảm L, điện trở R và tụ điện có điện dung C, với CR2<2L. Điện áp hiệu dụng giữa hai bản tụ điện và điện áp hiệu dụng hai đầu cuộn cảm lần lượt là UC , UL phụ thuộc vào ω, chúng được biểu diễn bằng các đồ thị như hình vẽ bên, tương ứng với các đường UC, UL. Giá trị của UM trong đồ thị gần nhất với giá trị nào sau đây?

  • A.

    \(175 V\)

  • B.

    \(165 V\)

  • C.

    \(125 V\)

  • D.

    \(230 V\)

Câu 16 :

Mắc vào đoạn mạch RLC không phân nhánh gồm một nguồn điện xoay chiều có tần số thay đổi được. Ở tần số \({f_1} = {\rm{60 Hz,}}\) hệ số công suất đạt cực đại. Ở tần số \({f_2} = 120{\rm{ Hz,}}\) hệ số công suất nhận giá trị \(\cos {\rm{\varphi }} = \dfrac{1}{{\sqrt 2 }}\). Ở tần số  \({f_3} = 90{\rm{ Hz,}}\) hệ số công suất của mạch sẽ nhận giá trị

  • A.

    \(0,874\)

  • B.

    \(0,486\)

  • C.

    \(0,625\)

  • D.

    \(0,781\)

Câu 17 :

Đặt điện áp xoay chiều có giá trị hiệu dụng không đổi, tần số thay đổi được vào hai đầu đoạn mạch RLC mắc nối tiếp với \(2L > C{R^2}\). Khi f = f1 = 30 Hz hoặc f = f2 = 150 Hz thì điện áp hiệu dụng hai đầu cuộn cảm cùng giá trị. Khi f = f3 = 50 Hz hoặc f = f4 = 200 Hz thì điện áp hiệu dụng hai đầu tụ điện có cùng giá trị. Để \({U_{R\max }}\) thì tần số có giá trị bằng

  • A.
    90 Hz    
  • B.
    78 Hz           
  • C.
    86 Hz         
  • D.
    122 Hz

Câu 18 :

Cho đoạn mạch RLC mắc nối tiếp. Đặt vào 2 đầu đoạn mạch một điện áp xoay chiều có tần số \(f\) thay đổi được. Khi tần số góc \(\omega  = {\omega _0}\) thì cường độ dòng điện hiệu dụng qua đoạn mạch có giá trị cực đại là \({I_{max}}\). Khi tần số góc của dòng điện của dòng điện là \(\omega  = {\omega _1}\) hoặc \(\omega  = {\omega _2}\) thì dòng điện hiệu dụng trong mạch có giá trị bằng nhau \({I_1} = {I_2} = \dfrac{{{I_{max}}}}{n}\). Biểu thức của điện trở R phụ thuộc vào \(L,{\omega _1},{\omega _2},n\) là

  • A.
    \(R = \dfrac{{L\left| {{\omega _1} – {\omega _2}} \right|}}{{\sqrt {{n^2} – 1} }}.\)
  • B.
    \(R = \dfrac{{L\left| {{\omega _1} – {\omega _2}} \right|}}{{{n^2} – 1}}.\)
  • C.
     \(R = \dfrac{{L{{\left( {{\omega _1} – {\omega _2}} \right)}^2}}}{{\sqrt {{n^2} – 1} }}\)
  • D.
    \(R = \dfrac{{L{{\left( {{\omega _1} – {\omega _2}} \right)}^2}}}{{{n^2} – 1}}.\)

Câu 19 :

Đặt điện áp \(u = U\sqrt 2 co{\rm{s}}\left( {\omega t + {\varphi _u}} \right)\left( V \right)\) (biết U không đổi và \(\omega \) thay đổi được) vào hai đầu đoạn mạch AB nối tiếp theo thứ tự gồm đoạn AM chứa cuộn cảm thuần có độ tự cảm L, đoạn MN chứa điện trở thuần R và đoạn NB chứa tụ điện có điện dung C. Khi \(\omega  = {\omega _1}\) và \(\omega  = 2{\omega _1}\) thì biểu thức dòng điện trong mạch lần lượt là \({i_1} = \sqrt 2 co{\rm{s}}\left( {{\omega _1}t + \frac{{5\pi }}{6}} \right)\left( A \right)\) và \({i_2} = 2co{\rm{s}}\left( {{\omega _2}t + \frac{{7\pi }}{{12}}} \right)\left( A \right)\). Biểu thức của dòng điện khi \(\omega  = \sqrt 3 {\omega _1}\) là

  • A.
    \({i_3} = 2co{\rm{s}}\left( {\sqrt 3 {\omega _1} + \frac{{13\pi }}{{20}}} \right)A\)
  • B.
    \({i_3} = \sqrt 2 cos\left( {\sqrt 3 {\omega _1}t – \frac{{5\pi }}{6}} \right)\left( A \right)\)
  • C.
    \({i_3} = cos\left( {\sqrt 3 {\omega _1}t + \frac{\pi }{6}} \right)\left( A \right)\)
  • D.
    \({i_3} = cos\left( {\sqrt 3 {\omega _1}t + \frac{{11\pi }}{{12}}} \right)\left( A \right)\)

Câu 20 :

Đề thi thử THPT chuyên Lam Sơn – 2021

Đặt điện áp \(u = {U_0}cos\omega t\) (với \({U_0}\) không đổi, \(\omega \) thay đổi) vào hai đầu đoạn mạch mắc nối tiếp gồm điện trở R, cuộn cảm thuần có độ tự cảm L và tụ điện có điện dung C. Khi \(\omega  = {\omega _0}\) thì trong mạch có cộng hưởng điện. Tần số góc \({\omega _0}\) là

  • A.
    \(2\sqrt {LC} \)
  • B.
    \(\frac{2}{{\sqrt {LC} }}\)
  • C.
    \(\frac{1}{{\sqrt {LC} }}\)
  • D.
    \(\sqrt {LC} \)

Lời giải và đáp án

Câu 1 :

Cho đoạn mạch RLC nối tiếp có giá trị các phần tử cố định. Đặt vào hai đầu đoạn này một điện áp xoay chiều có tần số thay đổi. Khi tần số góc của dòng điện bằng \({\omega _0}\)  thì cảm kháng và dung kháng có giá trị \({Z_L} = {\rm{ }}100\Omega \) và \({Z_C} = 25\Omega \). Để trong mạch xảy ra cộng hưởng, ta phải thay đổi tần số góc của dòng điện đến giá trị \(\omega \)  bằng:

  • A.

    \(4{\omega _0}\) .

  • B.

    \(2{\omega _0}\)

  • C.

    \(0,5{\omega _0}\)

  • D.

    \(0,25{\omega _0}\)

Đáp án : C

Phương pháp giải :

Sử dụng công thức xác định tần số góc khi cộng hưởng: \({\omega ^2} = \dfrac{1}{{LC}}\)

Lời giải chi tiết :

\(\left\{ \begin{array}{l}\dfrac{1}{{{\omega _0}C}} = 25\Omega \\{\omega _0}L = 100\Omega \end{array} \right. \to \dfrac{{{Z_L}}}{{{Z_C}}} = \omega _0^2LC = 4 \to \omega _0^2 = \dfrac{4}{{LC}}\)

Khi mạch cộng hưởng: \({\omega ^2} = \dfrac{1}{{LC}} = \dfrac{{\omega _0^2}}{4} \to \omega  = \dfrac{{{\omega _0}}}{2}\) 

Câu 2 :

Mạch điện R,L,C nối tiếp, điện áp hai đầu mạch \(u{\rm{ }} = {\rm{ }}220\sqrt 2 cos\omega t\left( V \right)\) và \(\omega \)  có thể thay đổi được. Tính điện áp hiệu dụng 2 đầu R khi biểu thức dòng điện có dạng \(i{\rm{ }} = {I_0}cos\omega t\):

  • A.

    \(220\sqrt 2 \left( V \right)\)

  • B.

    $220(V)$

  • C.

    $110(V)$

  • D.

    \(120\sqrt 2 \left( V \right)\)

Đáp án : B

Phương pháp giải :

Nhận biết các đại lượng khi xảy ra cộng hưởng: u, i cùng pha

Lời giải chi tiết :

$u, i$ cùng pha => suy ra mạch cộng hưởng.

Khi đó: \(u = {\rm{ }}{u_R}{\rm{ }} =  > {\rm{ }}{U_R} = {\rm{ }}U{\rm{ }} = {\rm{ }}220{\rm{ }}V\)

Câu 3 :

Mạch điện R1L1C1 có tần số cộng hưởng \({\omega _1}\)  và mạch R2L2C2 có tần số cộng hưởng \({\omega _2}\)  , biết \({\omega _1} = {\omega _2}\) . Mắc nối tiếp hai mạch đó với nhau thì tần số cộng hưởng của mạch sẽ là \(\omega \). \(\omega \) liên hệ với \({\omega _1}\) và \({\omega _2}\)theo công thức nào? Chọn đáp án đúng:

  • A.

    \(\omega = 2{\omega _1}\)

  • B.

    \(\omega = {\rm{ }}3{\omega _1}\)

  • C.

    \(\omega = {\rm{ }}0\)

  • D.

    \(\omega = {\omega _1}\)

Đáp án : D

Phương pháp giải :

Sử dụng công thức xác định độ tự cảm và điện dung C khi mắc nối tiếp: \({L_{nt}} = {L_1} + {L_2},\dfrac{1}{{{C_{nt}}}} = \dfrac{1}{{{C_1}}} + \dfrac{1}{{{C_2}}}\)

Sử dụng công thức xác định tần số góc khi mạch xảy ra cộng hưởng: \({\omega ^2} = \dfrac{1}{{LC}}\)

Lời giải chi tiết :

Ta có:

\(\begin{array}{l}\omega _1^2 = \dfrac{1}{{{L_1}{C_1}}};\omega _2^2 = \dfrac{1}{{{L_2}{C_2}}}\\{\omega _1} = {\omega _2} \to {L_1}{C_1} = {L_2}{C_2} \to \dfrac{{{L_2}}}{{{L_1}}} = \dfrac{{{C_1}}}{{{C_2}}}\\ \to {\omega ^2} = \dfrac{1}{{({L_1} + {L_2})\dfrac{{{C_1}C{}_2}}{{{C_1} + {C_2}}}}} = \dfrac{1}{{\left( {1 + \dfrac{{{L_2}}}{{{L_1}}}} \right)\dfrac{{{L_1}{C_1}}}{{\dfrac{{{C_1}}}{{{C_2}}} + 1}}}} = \dfrac{1}{{{L_1}{C_1}}} = \omega _1^2\\ \to \omega  = {\omega _1}\end{array}\)

Câu 4 :

Cho mạch điện gồm R, L, C mắc nối tiếp. Cho \(L = \dfrac{1}{\pi }H,{\rm{ }}C = 50\mu F\) và \(R{\rm{ }} = 50\Omega \) . Đặt vào hai đầu mạch điện một điện ápxoay chiều \(u = 220cos(2\pi ft)\left( V \right)\), trong đó tần số f thay đổi được. Khi \(f{\rm{ }} = {\rm{ }}{f_o}\) thì công suất trong mạch đạt giá trị cực đại Pmax. Khi đó: 

  • A.

    Pmax = 480W

  • B.

    Pmax = 484W

  • C.

    Pmax = 968W

  • D.

    Pmax = 117W

Đáp án : B

Phương pháp giải :

f thay đổi để công suất trong mạch đạt giá trị cực đại:\({P_{ma{\rm{x}}}} = \dfrac{{{U^2}}}{R}\)

Lời giải chi tiết :

Ta có: f thay đổi để công suất trong mạch đạt giá trị cực đại khi đó: \({Z_L} = {Z_C}\)\({P_{ma{\rm{x}}}} = \dfrac{{{U^2}}}{R}\)

\( \to {P_{ma{\rm{x}}}} = \dfrac{{{{\left( {\dfrac{{220}}{{\sqrt 2 }}} \right)}^2}}}{{50}} = 484{\rm{W}}\)

Câu 5 :

Đặt điện áp \(u{\rm{ }} = {\rm{ }}U\sqrt 2 cos\left( {2\pi ft} \right)\) vào hai đầu đoạn mạch gồm điện trở thuần R, cuộn cảm thuần L và tụ điện C mắc nối tiếp. Biết U,R,L,C không đổi, f thay đổi được. Khi tần số là 50(Hz) thì dung kháng gấp 1,44 lần cảm kháng. Để công suất tiêu thụ trên mạch cực đại thì phải điều chỉnh tần số đến giá trị bao nhiêu?

  • A.

    72 (Hz)

  • B.

    34,72 (Hz)

  • C.

    60 (Hz)

  • D.

    41,67 (Hz)

Đáp án : C

Phương pháp giải :

f thay đổi để công suất trong mạch đạt giá trị cực đại khi đó: \({Z_L} = {Z_C}\)

Lời giải chi tiết :

Ta có:

\({f_1} = 50H{\text{z}} \to {\omega _1} = 100\pi ({\text{r}}a{\text{d/s)}}\)

Theo đầu bài, ta có:

\(\begin{array}{l}{Z_C} = 1,44{Z_L} \leftrightarrow \dfrac{1}{{{\omega _1}C}} = 1,44{\omega _1}L\\ \to {\omega _1}^2 = \dfrac{1}{{1,44LC}}{\rm{         (1)}}\end{array}\)

 Để công suất trong mạch đạt giá trị cực đại <=> \({Z_L} = {Z_C}\) hay \({\omega _0} = \dfrac{1}{{\sqrt {LC} }}\) (2)

Từ (1) và (2), ta suy ra:

\(\begin{array}{l}{\omega _0} = \sqrt {1,44} {\omega _1}\\ \to {f_0} = \sqrt {1,44} {f_1} = 1,2.50 = 60(H{\rm{z}})\end{array}\)

Câu 6 :

Đặt điện \(u{\rm{ }} = {\rm{ }}U\sqrt 2 cos\left( {2\pi ft} \right)\)(U không đổi, tần số f thay đổi được) vào hai đầu đoạn mạch mắc nối tiếp gồm điện trở thuần R, cuộn cảm thuần có độ tự cảm L và tụ điện có điện dung C. Khi tần số là f1 thì cảm kháng và dung kháng của đoạn mạch có giá trị lần lượt là \(6\Omega \) và \(8\Omega \) . Khi tần số là f2 thì hệ số công suất của đoạn mạch bằng $1$. Hệ thức liên hệ giữa f1 và f2 là:

  • A.

    \({f_2} = \dfrac{4}{3}{f_1}\)

  • B.

    \({f_2} = \dfrac{{\sqrt 3 }}{2}{\rm{ }}{f_1}\)

  • C.

    \({f_2} = \dfrac{2}{{\sqrt 3 }}{f_1}\)

  • D.

    \({f_2} = \dfrac{3}{4}{f_1}\)

Đáp án : C

Phương pháp giải :

Hệ số công suất của đoạn mạch bằng 1 tương đương với \({Z_L} = {Z_C}\)

Lời giải chi tiết :

Câu 7 :

Đặt điện áp xoay chiều \(u{\rm{ }} = {\rm{ }}{U_0}cos\omega t\) có U0 không đổi và ω thay đổi được vào hai đầu đoạn mạch có R, L, C mắc nối tiếp. Thay đổi \(\omega \)  thì cường độ dòng điện hiệu dụng trong mạch khi \(\omega  = {\omega _1}\)  bằng cường độ dòng điện hiệu dụng trong mạch khi \(\omega  = {\omega _2}\) . Hệ thức đúng là:

  • A.

    \({\omega _1} + {\omega _2} = {\rm{ }}\dfrac{2}{{LC{\rm{ }}}}{\rm{ }}\)

  • B.

    \(\omega_1.\omega_2=\dfrac{1}{\sqrt{LC}}\)

  • C.

    \(\omega_1+\omega_2=\dfrac{2}{\sqrt{LC}}\)

  • D.

    \(\omega_1.\omega_2=\dfrac{1}{LC}\)

Đáp án : D

Phương pháp giải :

\(\omega \) thay đổi cường độ dòng điện I1 = I2

Lời giải chi tiết :

Ta có, \(I = \dfrac{U}{Z}\)

Mà theo đề bài, ta có: \({I_1} = {I_2}\)

Ta suy ra: \({Z_1} = {Z_2}\)

\(\begin{array}{l} \Leftrightarrow Z_1^2 = Z_2^2\\ \Leftrightarrow {R^2} + {\left( {{Z_{{L_1}}} – {Z_{{C_1}}}} \right)^2} = {R^2} + {\left( {{Z_{{L_2}}} – {Z_{{C_2}}}} \right)^2}\\ \Rightarrow \left| {{Z_{{L_1}}} – {Z_{{C_1}}}} \right| = \left| {{Z_{{L_2}}} – {Z_{{C_2}}}} \right|\\ \Leftrightarrow \left| {{\omega _1}L – \dfrac{1}{{{\omega _1}C}}} \right| = \left| {{\omega _2}L – \dfrac{1}{{{\omega _2}C}}} \right|{\rm{       }}\left( 1 \right)\end{array}\)

Giải sử \({\omega _1} > {\omega _2}\) , ta suy ra (1) tương đương với: \({\omega _1}L – \dfrac{1}{{{\omega _1}C}} = \dfrac{1}{{{\omega _2}C}} – {\omega _2}L\)

\(\begin{array}{l} \Leftrightarrow \left( {{\omega _1} + {\omega _2}} \right)L = \dfrac{1}{C}\left( {\dfrac{1}{{{\omega _1}}} + \dfrac{1}{{{\omega _2}}}} \right)\\ \Leftrightarrow \left( {{\omega _1} + {\omega _2}} \right)L = \dfrac{1}{C}\left( {\dfrac{{{\omega _1} + {\omega _2}}}{{{\omega _1}.{\omega _2}}}} \right)\\ \Rightarrow {\omega _1}{\omega _2} = \dfrac{1}{{LC}}\end{array}\)

Câu 8 :

Đoạn mạch xoay chiều RLC, cuộn dây thuần cảm, biết \(L{\rm{ }} = {\rm{ }}C{R^2}\) . Đặt vào hai đầu đoạn mạch điện áp xoay chiều ổn định, với tần số góc \(\omega \)  thay đổi, trong mạch có cùng hệ số công suất với hai tần số là \({\omega _1} = 50\pi (rad/s)\) và \({\omega _2} = 200\pi (rad/s)\) . Hệ số công suất của mạch là:

  • A.

    \(\dfrac{8}{{17}}\)

  • B.

    \(\dfrac{2}{{\sqrt {13} }}\)

  • C.

    \(\dfrac{3}{{\sqrt {11} }}\)

  • D.

    \(\dfrac{5}{{\sqrt {57} }}\)

Đáp án : B

Phương pháp giải :

Vận dụng biểu thức tính hệ số công suất: \({\rm{cos}}\varphi {\rm{ = }}\dfrac{R}{Z}\)

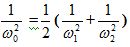
Lời giải chi tiết :

Câu 9 :

Đoạn mạch xoay chiều RLC nối tiếp , cuộn dây thuần cảm với \(C{R^2} < {\rm{ }}2L\) ; điện áp hai đầu đoạn mạch là \(u{\rm{ }} = {\rm{ }}U\sqrt 2 cos\omega t\) , U ổn định và \(\omega \)  thay đổi . Khi \(\omega {\rm{ }} = {\rm{ }}{\omega _C}\) thì điện áp hai đầu tụ C cực đại và điện áp hiệu dụng hai đầu cuộn dây \({U_L} = \dfrac{{{U_R}}}{{10}}\). Hệ số công suất tiêu thụ của cả đoạn mạch là:

  • A.

    $0,6$

  • B.

    \(\dfrac{1}{{\sqrt {15} }}\)

  • C.

    \(\dfrac{1}{{\sqrt {26} }}\)

  • D.

    $0,8$

Đáp án : C

Phương pháp giải :

Vận dụng công thức : \(\tan \varphi  = \dfrac{{{Z_L} – {Z_C}}}{R}\)

Lời giải chi tiết :

Theo đầu bài, ta có: \(C{R^2} < {\rm{ }}2L \leftrightarrow {R^2} < 2{Z_L}{Z_C}\) hay \(\dfrac{{{Z_L}}}{R}\dfrac{{{Z_C}}}{R} > \dfrac{1}{2}\)

Khi ω thay đổi, để  điện áp hai đầu tụ C cực đại thì ta có: 

\(\begin{array}{l}\left| {\tan \varphi .\tan {\varphi _{RL}}} \right| = \dfrac{1}{2}\\ \to \left| {\tan \varphi .\dfrac{{{Z_L}}}{R}} \right| = \dfrac{1}{2} \leftrightarrow \tan \varphi .\dfrac{1}{{10}} = \dfrac{1}{2}\\ \to \tan \varphi  = 5 \to c{\rm{os}}\varphi {\rm{ = }}\dfrac{1}{{\sqrt {26} }}\end{array}\)

Câu 10 :

 Đoạn mạch xoay chiều RLC nối tiếp , cuộn dây thuần cảm với \(C{R^2} < {\rm{ }}2L\) ; điện áp hai đầu đoạn mạch là \(u = U\sqrt 2 cos\omega t\) , U ổn định và \(\omega \)  thay đổi . Khi \(\omega {\rm{ }} = {\rm{ }}{\omega _L}\) thì điện áp hai cuộn cảm L cực đại và \({U_{Lmax}} = \dfrac{{41U}}{{40}}\) . Hệ số công suất tiêu thụ của cả đoạn mạch là:

  • A.

    $0,6$

  • B.

    \(1/\sqrt {15} \)

  • C.

     \(1/\sqrt {26} \)

  • D.

    $0,8$

Đáp án : A

Phương pháp giải :

Vẽ giản đồ véctơ

Lời giải chi tiết :

Có thể giả sử: \(Z = 40\Omega ;{Z_L} = 41\Omega \)

Khi đó: \({Z_C} = \sqrt {{{41}^2} – {{40}^2}}  = 9\Omega \)

\(R = \sqrt {2{Z_C}{Z_L} – 2 {Z_C}{Z_C}} \)

Hệ số công suất của mạch khi đó: \({\rm{cos}}\varphi {\rm{ = }}\dfrac{R}{Z} = \dfrac{{24}}{{40}} = 0,6\)

Câu 11 :

Đoạn mạch xoay chiều AB có RLC nối tiếp , cuộn dây thuần cảm với CR2 < 2L; điện áp hai đầu đoạn mạch là uAB = U√2cosωt, U ổn định và ω thay đổi . Khi ω = ωC thì điện áp hai đầu tụ C cực đại, khi đó điện áp tức hai đầu đoạn mạch AN ( gồm RL ) và AB lệch pha nhau là α . Giá trị nhỏ nhất của a là : 

  • A.

    70,530                   

  • B.

    900

  • C.

    68,430

  • D.

    120,30

Đáp án : A

Phương pháp giải :

Sử dụng công thức tính \(\tan (a – b) = \frac{{a – b}}{{1 + ab}}\)

Lời giải chi tiết :

Câu 12 :

Đặt điện áp xoay chiều u= U0cosωt (U0 không đổi và w thay đổi được) vào hai đầu đoạn mạch gồm điện trở thuần R,cuộn cảm thuần có độ tự cảm L và tụ điện có điện dung C mắc nối tiếp,với CR2< 2L. Khi ω = ω1 hoặc ω = ω2 thì điện áp hiệu dụng giữa hai đầu cuộn cảm có cùng một giá trị.Khi ω = ω0 thì điện áp hiệu dụng giữa hai đầu cuộn cảm có giá trị cực đại.Hệ thức liên hệ giữa ω1, ω2 và ω0 là :

  • A.
  • B.
  • C.
  • D.

Đáp án : C

Phương pháp giải :

+ Viết biểu thức hiệu điện thế giữa hai đầu cuộn cảm

Lời giải chi tiết :

Với điều kiện CR2< 2L

Câu 13 :

Cho mạch điện xoay chiều RLC mắc nối tiếp. Điện áp xoay chiều đặt vào hai đầu đoạn mạch có biểu thức u= U√2cosωt tần số góc ω biến đổi. Khi ω = ω1=40π (rad/s) và khi ω = ω2 =360π (rad/s)  thì cường độ dòng điện hiệu dụng qua mạch điện có giá trị bằng nhau. Để cường độ dòng điện trong mạch đạt giá trị lớn nhất thì tần số góc ω bằng

  • A.

    100 π (rad/s).

  • B.

    110 π (rad/s).

  • C.

    200 π (rad/s).

  • D.

    120 π (rad/s)

Đáp án : D

Lời giải chi tiết :

$\omega = \sqrt {{\omega _1}{\omega _2}} = 120\pi \left( {rad/s} \right)$

Câu 14 :

Một cuộn dây không thuần cảm nối tiếp với tụ điện C thay đổi được trong mạch điện xoay chiều có điện áp u = U0cosωt (V). Ban đầu dung kháng ZC, tổng trở cuộn dây Zd và tổng trở  Z toàn mạch bằng nhau và đều bằng \(100Ω\). Tăng điện dung thêm một lượng  $\Delta C = \dfrac{{0,{{125.10}^{ – 3}}}}{\pi }$ (F) thì tần số góc dao động riêng của mạch này khi đó là \(80π rad/s\). Tần số góc của nguồn điện xoay chiều bằng:

  • A.

    \(80π rad/s\)

  • B.

    \(100π rad/s\)

  • C.

    \(40π rad/s\)

  • D.

    \(50π rad/s\)

Đáp án : A

Phương pháp giải :

+ Vận dụng biểu thức tính tổng trở: \({Z^2} = {R^2} + {\left( {{Z_L} – {Z_C}} \right)^2}\)

+ Vận dụng biểu thức tính dung kháng và cảm kháng: \(\left\{ \begin{array}{l}{Z_C} = \dfrac{1}{{\omega C}}\\{Z_L} = \omega L\end{array} \right.\)

+ Vận dụng biểu thức tính tần số góc: \(\omega  = \dfrac{1}{{\sqrt {LC} }}\)

Lời giải chi tiết :

Ta có:

\(Z = {Z_C} = {Z_{L{\rm{r}}}} = 100\Omega  \to \left\{ \begin{array}{l}{Z_L} = 50\Omega \\r = 50\sqrt 3 \Omega \end{array} \right.\)

\( \to {Z_C} = 2{Z_L} \to \frac{1}{{\omega C}} = 2\omega L \to \dfrac{1}{{LC}} = 2{\omega ^2}\)  (1)

Ta có:

\(\omega _0^2 = \dfrac{1}{{L(C + \Delta C)}}\)  (2)

Từ (1) và (2) \( \to \dfrac{{{\omega ^2}}}{{\omega _0^2}} = \dfrac{{C + \Delta C}}{{2C}} \to \dfrac{{2{\omega ^2}}}{{\omega _0^2}} = 1 + \omega {Z_C}\Delta C\)

Thay số liệu vào rút ra được phương trình sau:

\(\begin{array}{l}\dfrac{{2{\omega ^2}}}{{{{\left( {80\pi } \right)}^2}}} = 1 + 100\dfrac{{0,{{125.10}^{ – 3}}}}{\pi }\omega \\ \Leftrightarrow {\omega ^2} – 40\pi \omega  – 3200{\pi ^2} = 0\\ \Rightarrow \left[ \begin{array}{l}\omega  = 80\pi \left( {rad/s} \right)\\\omega  =  – 40\pi \left( {rad/s} \right)\left( {loai} \right)\end{array} \right.\end{array}\)

Câu 15 :

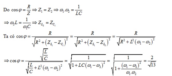
Đặt điện áp \(u = 200c{\rm{os}}\omega {\rm{t}}\left( V \right)\) (ω thay đổi được) vào hai đầu đoạn mạch mắc nối tiếp gồm cuộn cảm thuần có độ tự cảm L, điện trở R và tụ điện có điện dung C, với CR2<2L. Điện áp hiệu dụng giữa hai bản tụ điện và điện áp hiệu dụng hai đầu cuộn cảm lần lượt là UC , UL phụ thuộc vào ω, chúng được biểu diễn bằng các đồ thị như hình vẽ bên, tương ứng với các đường UC, UL. Giá trị của UM trong đồ thị gần nhất với giá trị nào sau đây?

  • A.

    \(175 V\)

  • B.

    \(165 V\)

  • C.

    \(125 V\)

  • D.

    \(230 V\)

Đáp án : B

Phương pháp giải :

+ Phương pháp đọc đồ thị

+ \(\omega \) biến thiên có hai giá trị của \(\omega \) cho \({U_{{C_1}}} = {U_{{C_2}}}\): \(\omega _1^2 + \omega _2^2 = 2\omega _C^2\)

Lời giải chi tiết :

Gọi \({\omega _0}\) – là giá trị của \(\omega \) sao cho \({U_L} = {U_C}\)

\({\omega _C}\) – là giá trị của \(\omega \) sao cho \({U_{{C_{max}}}}\)

\({\omega _L}\) – là giá trị của \(\omega \) sao cho \({U_{{L_{max}}}}\)

+ Từ đồ thị, ta có:

\(\omega  = 0\) và \(\omega  = {\omega _0}\) đều cho \({U_C}\) như nhau

(Áp dụng bài toán \(\omega \) biến thiên có hai giá trị của \(\omega \) cho cùng hiệu điện thế \({U_C}\))

Khi đó ta có:

\(\omega _1^2 + \omega _2^2 = 2\omega _C^2 \Leftrightarrow {0^2} + \omega _0^2 = 2\omega _C^2\)

\( \Rightarrow {\omega _C} = \dfrac{{{\omega _0}}}{{\sqrt 2 }}\)  (1)

+ Tại vị trí \(\omega  = 0\), \({U_C} \approx U\)

+ Tại vị trí: \(\omega  = {\omega _0}\), ta có \({U_C} = {U_R} = {U_L}\)

Nên ta suy ra: \({Z_{0C}} = R = {Z_{0L}}\)  (2)

+ Tại vị trí: \(\omega  = {\omega _C}\)

\(\begin{array}{l}{U_C} = {U_{{C_{max}}}} = \dfrac{{U{Z_C}}}{Z} = \dfrac{{U{Z_C}}}{{\sqrt {{R^2} + {{\left( {{Z_L} – {Z_C}} \right)}^2}} }}\\ = \dfrac{{U\sqrt 2 {Z_{0C}}}}{{\sqrt {{R^2} + {{\left( {\dfrac{1}{{\sqrt 2 }}{Z_{0L}} – \sqrt 2 {Z_{0C}}} \right)}^2}} }} = \dfrac{{U\sqrt 2 R}}{{\sqrt {{R^2} + {{\left( {\dfrac{1}{{\sqrt 2 }}R – \sqrt 2 R} \right)}^2}} }}\\ = \dfrac{{U\sqrt 2 }}{{\sqrt {1 + \dfrac{1}{2}} }} = \dfrac{{U2\sqrt 3 }}{3}\end{array}\)

Theo đầu bài, ta có \(U = \dfrac{{200}}{{\sqrt 2 }} = 100\sqrt 2 V\)

\( \Rightarrow {U_M} = {U_{{C_{max}}}} = \dfrac{{100\sqrt 2 .2\sqrt 3 }}{3} = \dfrac{{200\sqrt 6 }}{3} \approx 163,3V\)

Câu 16 :

Mắc vào đoạn mạch RLC không phân nhánh gồm một nguồn điện xoay chiều có tần số thay đổi được. Ở tần số \({f_1} = {\rm{60 Hz,}}\) hệ số công suất đạt cực đại. Ở tần số \({f_2} = 120{\rm{ Hz,}}\) hệ số công suất nhận giá trị \(\cos {\rm{\varphi }} = \dfrac{1}{{\sqrt 2 }}\). Ở tần số  \({f_3} = 90{\rm{ Hz,}}\) hệ số công suất của mạch sẽ nhận giá trị

  • A.

    \(0,874\)

  • B.

    \(0,486\)

  • C.

    \(0,625\)

  • D.

    \(0,781\)

Đáp án : A

Phương pháp giải :

Áp dụng công thức tính hệ số công suất: \(\cos \varphi  = \dfrac{R}{Z} = \dfrac{R}{{\sqrt {{R^2} + {{\left( {{Z_L} – {Z_C}} \right)}^2}} }}\)

Lời giải chi tiết :

Tại \(f = {f_1} = 60\) Hz : \({Z_{L1}} = {Z_{C1}}\)

Tại \(f = {f_2} = 2{f_1} = 120\) Hz : \({Z_{L2}} = 2{Z_{L1}} = 2{Z_{C1}} = 4{Z_{C2}}\)

\(\cos {\varphi _2} = \dfrac{R}{{{Z_2}}} = \dfrac{R}{{\sqrt {{R^2} + 9{Z_{C2}}^2} }} = \dfrac{1}{{\sqrt 2 }} \Leftrightarrow 2{R^2} = {R^2} + 9{Z_{C2}}^2 \Leftrightarrow {R^2} = 9{Z_{C2}}^2 \Leftrightarrow R = 3{Z_{C2}}\)

Tại \(f = {f_3} = \dfrac{3}{4}{f_2} = 90\) Hz : \({Z_{L3}} = \dfrac{3}{4}{Z_{L2}} = 3{Z_{C2}}\) và \({Z_{C3}} = \dfrac{4}{3}{Z_{C2}}\)

\( \Rightarrow \cos {\varphi _3} = \dfrac{R}{{{Z_3}}} = \dfrac{R}{{\sqrt {{R^2} + {{\left( {{Z_{L3}} – {Z_{C3}}} \right)}^2}} }} = \dfrac{{3{Z_{C2}}}}{{\sqrt {9Z_{C2}^2 + {{\left( {3{Z_{L2}} – \dfrac{4}{3}{Z_{C2}}} \right)}^2}} }} = 0,874\)

Câu 17 :

Đặt điện áp xoay chiều có giá trị hiệu dụng không đổi, tần số thay đổi được vào hai đầu đoạn mạch RLC mắc nối tiếp với \(2L > C{R^2}\). Khi f = f1 = 30 Hz hoặc f = f2 = 150 Hz thì điện áp hiệu dụng hai đầu cuộn cảm cùng giá trị. Khi f = f3 = 50 Hz hoặc f = f4 = 200 Hz thì điện áp hiệu dụng hai đầu tụ điện có cùng giá trị. Để \({U_{R\max }}\) thì tần số có giá trị bằng

  • A.
    90 Hz    
  • B.
    78 Hz           
  • C.
    86 Hz         
  • D.
    122 Hz

Đáp án : B

Phương pháp giải :

Hai giá trị tần số để điện áp hiệu dụng hai đầu cuộn cảm cùng giá trị, điện áp hiệu dụng giữa hai đầu cuộn cảm đạt cực đại khi: \(\dfrac{2}{{{\omega _L}^2}} = \dfrac{1}{{{\omega _1}^2}} + \dfrac{1}{{{\omega _2}^2}} \Rightarrow \dfrac{2}{{{f_L}^2}} = \dfrac{1}{{{f_1}^2}} + \dfrac{1}{{{f_2}^2}}\)

Hai giá trị tần số để điện áp hiệu dụng hai đầu tụ điện có cùng giá trị, điện áp hiệu dụng giữa hai đầu tụ điện đạt cực đại khi: \(2{\omega _C}^2 = {\omega _3}^2 + {\omega _4}^2 \Rightarrow 2{f_C}^2 = {f_3}^2 + {f_4}^2\)

Hai giá trị tần số để điện áp hiệu dụng giữa hai đầu cuộn cảm và điện áp hiệu dụng giữa hai đầu tụ điện đạt giá trị cực đại, điện áp hiệu dụng giữa hai đầu điện trở đạt giá trị cực đại khi: \({\omega _R} = \sqrt {{\omega _L}.{\omega _C}}  \Rightarrow {f_R} = \sqrt {{f_L}.{f_C}} \)

Lời giải chi tiết :

Hai giá trị tần số để điện áp hiệu dụng hai đầu cuộn cảm cùng giá trị, điện áp hiệu dụng giữa hai đầu cuộn cảm đạt cực đại khi:

\(\begin{array}{l}\dfrac{2}{{{\omega _L}^2}} = \dfrac{1}{{{\omega _1}^2}} + \dfrac{1}{{{\omega _2}^2}} \Rightarrow \dfrac{2}{{{f_L}^2}} = \dfrac{1}{{{f_1}^2}} + \dfrac{1}{{{f_2}^2}}\\ \Rightarrow \dfrac{2}{{{f_L}^2}} = \dfrac{1}{{{{30}^2}}} + \dfrac{1}{{{{150}^2}}} \Rightarrow {f_L} = \dfrac{{150}}{{\sqrt {13} }}\,\,\left( {Hz} \right)\end{array}\)

Hai giá trị tần số để điện áp hiệu dụng hai đầu tụ điện có cùng giá trị, điện áp hiệu dụng giữa hai đầu tụ điện đạt cực đại khi:

\(\begin{array}{l}2{\omega _C}^2 = {\omega _3}^2 + {\omega _4}^2 \Rightarrow 2{f_C}^2 = {f_3}^2 + {f_4}^2\\ \Rightarrow 2{f_C}^2 = {50^2} + {200^2} \Rightarrow {f_C} = 25\sqrt {34} \,\,\left( {Hz} \right)\end{array}\)

Hai giá trị tần số để điện áp hiệu dụng giữa hai đầu cuộn cảm và điện áp hiệu dụng giữa hai đầu tụ điện đạt giá trị cực đại, điện áp hiệu dụng giữa hai đầu điện trở đạt giá trị cực đại khi:

\({\omega _R} = \sqrt {{\omega _L}.{\omega _C}}  \Rightarrow {f_R} = \sqrt {{f_L}.{f_C}}  = \sqrt {\dfrac{{150}}{{\sqrt {13} }}.25\sqrt {34} }  = 77,9 \approx 78\,\,\left( {Hz} \right)\)

Câu 18 :

Cho đoạn mạch RLC mắc nối tiếp. Đặt vào 2 đầu đoạn mạch một điện áp xoay chiều có tần số \(f\) thay đổi được. Khi tần số góc \(\omega  = {\omega _0}\) thì cường độ dòng điện hiệu dụng qua đoạn mạch có giá trị cực đại là \({I_{max}}\). Khi tần số góc của dòng điện của dòng điện là \(\omega  = {\omega _1}\) hoặc \(\omega  = {\omega _2}\) thì dòng điện hiệu dụng trong mạch có giá trị bằng nhau \({I_1} = {I_2} = \dfrac{{{I_{max}}}}{n}\). Biểu thức của điện trở R phụ thuộc vào \(L,{\omega _1},{\omega _2},n\) là

  • A.
    \(R = \dfrac{{L\left| {{\omega _1} – {\omega _2}} \right|}}{{\sqrt {{n^2} – 1} }}.\)
  • B.
    \(R = \dfrac{{L\left| {{\omega _1} – {\omega _2}} \right|}}{{{n^2} – 1}}.\)
  • C.
     \(R = \dfrac{{L{{\left( {{\omega _1} – {\omega _2}} \right)}^2}}}{{\sqrt {{n^2} – 1} }}\)
  • D.
    \(R = \dfrac{{L{{\left( {{\omega _1} – {\omega _2}} \right)}^2}}}{{{n^2} – 1}}.\)

Đáp án : A

Phương pháp giải :

+ Sử dụng biểu thức bài toán \(\omega \) biến thiên

+ Sử dụng định luật Ôm cho toàn mạch: \(I = \dfrac{U}{Z}\)

Lời giải chi tiết :

+ Tần số góc khi cường độ dòng điện trong mạch có giá trị cực đại \({\omega _0} = \dfrac{1}{{\sqrt {LC} }}\)

+ Hai giá trị của tần số góc cho cùng giá trị dòng điện hiệu dụng trong mạch \({I_1} = {I_2} = \dfrac{{{I_{max}}}}{n}\) khi đó ta có \({\omega _1}.{\omega _2} = \dfrac{1}{{LC}} \Rightarrow {\omega _2}L = \dfrac{1}{{{\omega _1}C}}\)

\( \Rightarrow {Z_{{L_2}}} = {Z_{{C_1}}}\)  

Ta có:

\(\begin{array}{l}{I_1} = \dfrac{{{I_{max}}}}{n}\\ \Leftrightarrow \dfrac{U}{{{Z_1}}} = \dfrac{U}{{Zn}} \Rightarrow nZ = {Z_1}\\ \Leftrightarrow {n^2}\left( {{R^2}} \right) = {R^2} + {\left( {{Z_{{L_1}}} – {Z_{{C_1}}}} \right)^2}\\ \Leftrightarrow {n^2}{R^2} = {R^2} + {L^2}{\left( {{\omega _1} – {\omega _2}} \right)^2}\\ \Rightarrow R = \dfrac{{L\left| {{\omega _1} – {\omega _2}} \right|}}{{\sqrt {{n^2} – 1} }}\end{array}\)

Câu 19 :

Đặt điện áp \(u = U\sqrt 2 co{\rm{s}}\left( {\omega t + {\varphi _u}} \right)\left( V \right)\) (biết U không đổi và \(\omega \) thay đổi được) vào hai đầu đoạn mạch AB nối tiếp theo thứ tự gồm đoạn AM chứa cuộn cảm thuần có độ tự cảm L, đoạn MN chứa điện trở thuần R và đoạn NB chứa tụ điện có điện dung C. Khi \(\omega  = {\omega _1}\) và \(\omega  = 2{\omega _1}\) thì biểu thức dòng điện trong mạch lần lượt là \({i_1} = \sqrt 2 co{\rm{s}}\left( {{\omega _1}t + \frac{{5\pi }}{6}} \right)\left( A \right)\) và \({i_2} = 2co{\rm{s}}\left( {{\omega _2}t + \frac{{7\pi }}{{12}}} \right)\left( A \right)\). Biểu thức của dòng điện khi \(\omega  = \sqrt 3 {\omega _1}\) là

  • A.
    \({i_3} = 2co{\rm{s}}\left( {\sqrt 3 {\omega _1} + \frac{{13\pi }}{{20}}} \right)A\)
  • B.
    \({i_3} = \sqrt 2 cos\left( {\sqrt 3 {\omega _1}t – \frac{{5\pi }}{6}} \right)\left( A \right)\)
  • C.
    \({i_3} = cos\left( {\sqrt 3 {\omega _1}t + \frac{\pi }{6}} \right)\left( A \right)\)
  • D.
    \({i_3} = cos\left( {\sqrt 3 {\omega _1}t + \frac{{11\pi }}{{12}}} \right)\left( A \right)\)

Đáp án : A

Phương pháp giải :

+ Sử dụng biểu thức tính cường độ dòng điện:

\(I = \frac{U}{Z} = \frac{U}{{\sqrt {{R^2} + {{\left( {{Z_L} – {Z_C}} \right)}^2}} }}\)

+ Sử dụng biểu thức tính độ lệch pha của u so với i:

\(\tan \varphi  = \frac{{{Z_L} – {Z_C}}}{R}\)

+ Sử dụng công thức:

\(\tan \left( {a – b} \right) = \frac{{tana\, – {\rm{tan}}b}}{{1 + \tan a.\tan b}}\)

Lời giải chi tiết :

+ Khi \(\omega  = {\omega _1}\): \({I_1} = \frac{U}{{{Z_1}}} = \frac{U}{{\sqrt {R + {{\left( {{Z_{{L_1}}} – {Z_{{C_1}}}} \right)}^2}} }} = 1\)

Độ lệch pha của u so với i: \({\varphi _1} = {\varphi _u} – \frac{{5\pi }}{6}\)

+ Khi \(\omega  = 2{\omega _1}\): \(\left\{ \begin{array}{l}{Z_{{L_2}}} = 2{{\rm{Z}}_{{L_1}}}\\{Z_{{C_2}}} = \frac{{{Z_{{C_1}}}}}{2}\\{I_2} = \frac{U}{{{Z_2}}} = \frac{U}{{\sqrt {{R^2} + {{\left( {2{{\rm{Z}}_{{L_1}}} – \frac{{{Z_{{C_1}}}}}{2}} \right)}^2}} }} = \sqrt 2 \end{array} \right.\)

Độ lệch pha của u so với i: \({\varphi _2} = {\varphi _u} – \frac{{7\pi }}{{12}}\)

\(\begin{array}{l} \Rightarrow \frac{{{I_1}}}{{{I_2}}} = \frac{1}{{\sqrt 2 }} = \sqrt {\frac{{{R^2} + {{\left( {2{{\rm{Z}}_{{L_1}}} – \frac{{{Z_{{C_1}}}}}{2}} \right)}^2}}}{{{R^2} + {{\left( {{Z_{{L_1}}} – {Z_{{C_1}}}} \right)}^2}}}} \\ \Rightarrow {R^2} + 2{\left( {2{{\rm{Z}}_{{L_1}}} – \frac{{{Z_{{C_1}}}}}{2}} \right)^2} = {\left( {{Z_{{L_1}}} – {Z_{{C_1}}}} \right)^2}\\ \Rightarrow 1 + 2\frac{{{{\left( {2{{\rm{Z}}_{{L_1}}} – \frac{{{Z_{{C_1}}}}}{2}} \right)}^2}}}{{{R^2}}} = \frac{{{{\left( {{Z_{{L_1}}} – {Z_{{C_1}}}} \right)}^2}}}{{{R^2}}}\end{array}\)

\( \Rightarrow 1 + 2{\tan ^2}{\varphi _2} = {\tan ^2}{\varphi _1}\,\,\,\,\left( 1 \right)\)

\(\tan \left( {{\varphi _2} – {\varphi _1}} \right) = \frac{{\tan {\varphi _2} – \tan {\varphi _1}}}{{1 + \tan {\varphi _2}.\tan {\varphi _1}}} = \tan \frac{\pi }{4} = 1\)

\( \Rightarrow \tan {\varphi _2} – \tan {\varphi _1} = 1 + \tan {\varphi _2}.\tan {\varphi _1}\,\,\,\,\,\left( 2 \right)\)

Từ (1) và (2) ta suy ra \(\left\{ \begin{array}{l}\tan {\varphi _1} =  – 1\\\tan {\varphi _2} = 0\end{array} \right.\)

\( \Rightarrow \left\{ \begin{array}{l}{Z_{{C_1}}} = 4{{\rm{Z}}_{{L_1}}}\\R = 3{{\rm{Z}}_{{L_1}}}\\{Z_1} = 3\sqrt 2 {Z_{{L_1}}}\end{array} \right.\)

Khi \(\omega  = \sqrt 3 {\omega _1} \Rightarrow \left\{ \begin{array}{l}{Z_{L3}} = \sqrt 3 {Z_{L1}}\\{Z_{C3}} = \frac{{{Z_{C1}}}}{{\sqrt 3 }} = \frac{{4{{\rm{Z}}_{L1}}}}{{\sqrt 3 }}\end{array} \right. \Rightarrow {Z_3} = \frac{{2\sqrt {21} }}{3}{Z_{L1}}\)

\({I_3} = \frac{U}{{{Z_3}}} = \frac{{{I_1}.{Z_1}}}{{{Z_3}}} = \frac{{1.3\sqrt 2 }}{{\frac{{2\sqrt {21} }}{3}}} = 1,388{\rm{A}} \Rightarrow {I_{03}} = 1,964{\rm{A}}\)

\(\tan {\varphi _3} = \frac{{{Z_{{L_3}}} – {Z_{{C_3}}}}}{R} =  – \frac{{\sqrt 3 }}{3} \Rightarrow {\varphi _3} =  – 0,19{\rm{r}}a{\rm{d}} =  – 0,06\pi \)

\({\varphi _3} = {\varphi _u} – {\varphi _{i3}} \Rightarrow {\varphi _{{i_3}}} = \frac{{7\pi }}{{12}} + 0,06\pi  = 0,6433\pi \left( {rad} \right)\)

\( \Rightarrow {i_3} = 1,964co{\rm{s}}\left( {\sqrt 3 {\omega _1} + 0,6433\pi } \right)A\)

Câu 20 :

Đề thi thử THPT chuyên Lam Sơn – 2021

Đặt điện áp \(u = {U_0}cos\omega t\) (với \({U_0}\) không đổi, \(\omega \) thay đổi) vào hai đầu đoạn mạch mắc nối tiếp gồm điện trở R, cuộn cảm thuần có độ tự cảm L và tụ điện có điện dung C. Khi \(\omega  = {\omega _0}\) thì trong mạch có cộng hưởng điện. Tần số góc \({\omega _0}\) là

  • A.
    \(2\sqrt {LC} \)
  • B.
    \(\frac{2}{{\sqrt {LC} }}\)
  • C.
    \(\frac{1}{{\sqrt {LC} }}\)
  • D.
    \(\sqrt {LC} \)

Đáp án : C

Phương pháp giải :

Sử dụng điều kiện cộng hưởng điện: \({Z_L} = {Z_C}\) khi đó \({\omega _0} = \frac{1}{{\sqrt {LC} }}\)

Lời giải chi tiết :

Để xảy ra hiện tượng cộng hưởng: \({Z_L} = {Z_C} \Leftrightarrow {\omega _0}L = \frac{1}{{{\omega _0}C}}\)

\( \Rightarrow \) Tần số góc cộng hưởng \({\omega _0} = \frac{1}{{\sqrt {LC} }}\)

TẢI APP ĐỂ XEM OFFLINE