Giải bài 5 trang 84 SGK Toán 7 tập 1 – Chân trời sáng tạo

Ta gọi hai góc có tổng bằng 90 (^circ ) là hai góc phụ nhau. Hãy viết giả thiết, kết luận bằng kí hiệu và chứng minh định lí: “ Hai góc cùng phụ một góc thứ 3 thì bằng nhau”

Đề bài

Ta gọi hai góc có tổng bằng 90 \(^\circ \) là hai góc phụ nhau. Hãy viết giả thiết, kết luận bằng kí hiệu và chứng minh định lí: “ Hai góc cùng phụ một góc thứ 3 thì bằng nhau”

Video hướng dẫn giải

Phương pháp giải – Xem chi tiết

Giả thiết là điều đề bài cho

Kết luận là điều cần chứng minh

Vui lòng nhập mật khẩu để tiếp tục

test321

Lời giải chi tiết

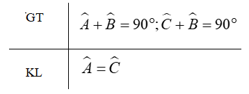
Giả sử \(\widehat A,\widehat C\) cùng phụ với \(\widehat B\). Ta được:

\(\widehat A + \widehat B = 90^\circ ;\widehat C + \widehat B = 90^\circ \)

\(\widehat A = 90^\circ  – \widehat B;\widehat C = 90^\circ  – \widehat B\)

\( \Rightarrow \widehat A = \widehat C\) (đpcm)

TẢI APP ĐỂ XEM OFFLINE

Toán 7 tập 1 – Chân trời sáng tạo

Toán 7 tập 2 – Chân trời sáng tạo