Giải bài 1 (8.1) trang 42 vở thực hành Toán 6

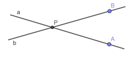
Bài 1 (8.1). Quan sát hình vẽ bên. a) Giao điểm của hai đường thẳng a và b là điểm nào? b) Điểm A thuộc đường thẳng nào và không thuộc đường thẳng nào? Hãy trả lời bằng câu diễn đạt và bằng kí hiệu.

Đề bài

Bài 1 (8.1). Quan sát hình vẽ bên.

 

a) Giao điểm của hai đường thẳng a và b là điểm nào?

b) Điểm A thuộc đường thẳng nào và không thuộc đường thẳng nào? Hãy trả lời bằng câu diễn đạt và bằng kí hiệu.

Phương pháp giải – Xem chi tiết

Quan sát hình vẽ và nhận biết điểm nào thuộc, điểm nào không thuộc.

Lời giải chi tiết

Vui lòng nhập mật khẩu để tiếp tục

test321

a) Giao của hai đường thẳng a và b là điểm P.

b) Điểm A thuộc đường thẳng a và không thuộc đường thẳng b.

Ta viết: \(A \in a,A \notin b.\)

TẢI APP ĐỂ XEM OFFLINE

Vở thực hành Toán 6 – Tập 1