3. Bài 7. Hóa trị và công thức hóa học

Trong phân tử nước, một nguyên tử O liên kết với hai nguyên tử H, người ta nói rằng O có hóa trị II Copper sulfate (CuSO4) được dùng làm chất chống xoăn lá cho cây cà chua 1. Xác định hóa trị của S trong hợp chất sulfur dioxide (một nguyên tử S liên kết với hai nguyên tử O) và hydrogen sulfide (một nguyên tử S liên kết với hai nguyên tử H). 2. Hãy xác định hóa trị của C trong hợp chất methane có trong Hình 5.3b

Lựa chọn câu để xem lời giải nhanh hơn

CH tr 40 MĐ

Trong phân tử nước, một nguyên tử O liên kết với hai nguyên tử H, người ta nói rằng O có hóa trị II. Vậy hóa trị có mối liên hệ với công thức hóa học của hợp chất như thế nào?

Lời giải chi tiết:

Trong công thức hóa học của hợp chất hai nguyên tố, tích của chỉ số và hóa trị của nguyên tố này bằng tích của chỉ số và hóa trị của nguyên tố kia

CH tr 41 CH

Copper sulfate (CuSO4) được dùng làm chất chống xoăn lá cho cây cà chua. Em hãy cho biết số nguyên tử của từng nguyên tố có trong một phân tử copper sulfate và xác định phần trăm khối lượng của các nguyên tố trong hợp chất này

Phương pháp giải:

– Số nguyên tử của từng nguyên tố = chỉ số ở chân bên phải kí hiệu hóa học

– Cách xác định phần trăm khối lượng của nguyên tố trong hợp chất

   Bước 1: Tính khối lượng phân tử hợp chất

   Bước 2: Tính phần trăm khối lượng các nguyên tố trong hợp chất:

Lời giải chi tiết:

– Trong 1 phân tử copper sulfate (CuSO4) gồm 3 nguyên tố: Cu, S, O trong đó có:

   + 1 nguyên tử Cu (copper)

   + 1 nguyên tử S (sulfur)

   + 4 nguyên tử O (oxygen)

– Xác định phần trăm khối lượng của các nguyên tố:

   Bước 1: Khối lượng phân tử CuSO4 = 64.1 + 32.1 + 16.4 = 160 amu

   Bước 2: Phần trăm khối lượng các nguyên tố trong CuSO4

CH tr 42 CH

Sơ đồ sau mô tả sự hình thành liên kết cộng hóa trị trong phân tử HCl:

Xác định hóa trị của chlorine trong hợp chất trên

Phương pháp giải:

Hóa trị của nguyên tố được xác định bằng số cặp electron dùng chung của nguyên tử nguyên tố đó với nguyên tử khác

Lời giải chi tiết:

Hydrogen và chlorine bỏ ra 1 electron 

=> Một cặp electron dùng chung

=> Chlorine có hóa trị I trong hợp chất HCl

CH tr 42 HĐ

Tìm hiểu về quy tắc hóa trị

Thảo luận nhóm, hoàn thành bảng mẫu và thực hiện các yêu cầu sau:

1. Xét phân tử H2S, hãy so sánh tích của chỉ số và hóa trị của nguyên tố lưu huỳnh với tích chỉ số và hóa trị của nguyên tố hydrogen

2. Đối với phân tử CH4, thực hiện tương tự như với phân tử H2S. Em hãy so sánh về tích của chỉ số và hóa trị của các nguyên tố thành phần

Phương pháp giải:

Trong công thức hóa học của hợp chất hai nguyên tố, tích của chỉ số và hóa trị của nguyên tố này bằng tích của chỉ số và hóa trị của nguyên tố kia

Lời giải chi tiết:

Trong CH4, nguyên tử C liên kết với 4 nguyên tử H => C có hóa trị IV

 

Hóa trị của lưu huỳnh/ carbon

Tích của chỉ số và hóa trị của lưu huỳnh/ carbon

Tích của chỉ số và hóa trị của hydrogen

H2S

II

1 x II

2 x I

CH4

IV

1 x IV

4 x I

1.

Ta có: 1 x II = 2 x I = II

=> Tích của chỉ số và hóa trị của nguyên tố lưu huỳnh = tích chỉ số và hóa trị của nguyên tố hydrogen

2.

Ta có: 1 x IV = 4 x I = IV

=> Tích của chỉ số và hóa trị của nguyên tố carbon = tích chỉ số và hóa trị của nguyên tố hydrogen

CH tr 43 CH

1. Xác định hóa trị của lưu huỳnh trong hợp chất sulfur dioxide (một nguyên tử S liên kết với hai nguyên tử O)

2. Hãy xác định hóa trị của carbon trong hợp chất methane có trong hình 5.3b

3. Dựa vào quy tắc hóa trị và Bảng 7.2, cho biết công thức hóa học của potassium oxide là KO hay K2O

Phương pháp giải:

1. 

– Nguyên tử của nguyên tố khác liên kết được với bao nhiêu nguyên tử H thì nguyên tố đó có hóa trị bằng bấy nhiêu

– Xác định hóa trị của S trong hợp chất sulfur dioxide tương tự với phân tử carbon dioxide

3. Quy tắc hóa trị: Trong công thức hóa học của hợp chất 2 nguyên tố, tích của chỉ số và hóa trị của nguyên tố này bằng tích của chỉ số và hóa trị của nguyên tố kia

Lời giải chi tiết:

1.

– Xét phân tử sulfur dioxide:

   + Nguyên tử O có hóa trị II

   + 1 nguyên tử S liên kết với 2 nguyên tử O

=> S có hóa trị IV

– Xét phân tử hydrogen sulfide:

   + H có hóa trị I

   + 1 nguyên tử S liên kết với 2 nguyên tử H.

   + Nguyên tử của nguyên tố khác liên kết được với bao nhiêu nguyên tử H thì nguyên tố đó có hóa trị bằng bấy nhiêu

=> S có hóa trị II

2. Hợp chất methane:

   + H có hóa trị I

   + 1 nguyên tử C liên kết với 4 nguyên tử H

   + Nguyên tử của nguyên tố khác liên kết được với bao nhiêu nguyên tử H thì nguyên tố đó có hóa trị bằng bấy nhiêu

=> C có hóa trị IV

3. Potassium oxide bao gồm 2 nguyên tố: K và O. Trong đó:

   + K có hóa trị I

   + O có hóa trị II

– Gọi công thức hóa học tổng quát của potassium oxide là: KxOy

– Áp dụng quy tắc hóa trị. Ta có: x.I = y.II

=> Công thức hóa học của potassium oxide là K2O

CH tr 44 CH

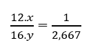
1. Khí carbon dioxide luôn có thành phần như sau: cứ 1 phần khối lượng carbon có tương ứng 2,667 phần khối lượng oxygen. Hãy lập công thức hóa học của khí carbon dioxide, biết khối lượng phân tử của nó là 44 amu

2. Hãy lập công thức phân tử của khí hydrogen sulfide, biết lưu huỳnh trong hợp chất này có hóa trị II. Tính thành phần phần trăm về khối lượng của lưu huỳnh và của hydrogen trong hợp chất đó.

Phương pháp giải:

1. Gọi công thức phân tử của carbon dioxide là CxOy

Ta có: 12.x + 16.y = 44

Cứ 1 phần khối lượng carbon có tương ứng 2,667 phần khối lượng oxygen nghĩa là:

=> Tìm được x và y

2. Gọi công thức phân tử của khí hydrogen sulfide là HxSy

– S có hóa trị II, H có hóa trị I

– Theo quy tắc hóa trị: x.I = y.II

=> Tìm ra x và y

Lời giải chi tiết:

1.

– Khí carbon dioxide bao gồm 2 nguyên tố: C và O

– Gọi công thức phân tử của carbon dioxide là CxOy

– Vì khối lượng phân tử của carbon dioxide là 44 amu

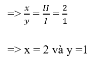
=> 12.x + 16.y = 44 => 12x = 44 -16 (1)

– Cứ 1 phần khối lượng carbon có tương ứng 2,667 phần khối lượng oxygen nghĩa là: 

Thay 12x ở phương trình (1) vào phương trình (2)

=> y = 2 và x = 1

=> Công thức hóa học của carbon dioxide là CO2

2.

– Khí hydrogen sulfide bao gồm 2 nguyên tố: H và S

– Gọi công thức phân tử của khí hydrogen sulfide là HxSy

– S có hóa trị II, H có hóa trị I

– Theo quy tắc hóa trị: x.I = y.II

=> Công thức hóa học của hydrogen sulfide là H2S

TẢI APP ĐỂ XEM OFFLINE

GIẢI SGK KHOA HỌC TỰ NHIÊN 8 KẾT NỐI TRI THỨC – MỚI NHẤT

Mở đầu

Phần Hóa học

Phần Vật lí

Phần Sinh học