Lựa chọn câu để xem lời giải nhanh hơn
5.1
Ở trạng thái lỏng nguyên chất, phân tử chất nào sau đây tạo được liên kết hydrogen với nhau?
A. Nitrogen. B. Ammonia. C. Oxygen. D. Hydrogen.
Phương pháp giải:
Liên kết hydrogen là một loại liên kết yếu được hình thành giữa nguyên tử H (đã liên kết với một nguyên tử có độ âm điện lớn) với một nguyên tử khác (có độ âm điện lớn) còn cặp electron riêng. Các nguyên tử có độ âm điện lớn thường gặp trong liên kết hydrogen là N, O, F.
Phân tử ammonia có một cặp electron của nitrogen chưa tham gia liên kết, do đó mỗi phân tử ammonia có thể tạo một liên kết hydrogen với nhau.

Lời giải chi tiết:
Ở trạng thái lỏng nguyên chất, phân tử chất ammonia tạo được liên kết hydrogen với nhau.
→ Chọn B.
5.2
Khí nào sau đây dễ tan trong nước do tạo được liên kết hydrogen với nước?
A. Nitrogen. B. Hydrogen. C. Ammonia. D. Oxygen.
Phương pháp giải:
Khí ammonia tan nhiều trong nước.
Phân tử ammonia có một cặp electron của nitrogen chưa tham gia liên kết, do đó mỗi phân tử ammonia có thể tạo một liên kết hydrogen với nước.

Lời giải chi tiết:
Khí ammonia dễ tan trong nước do tạo được liên kết hydrogen với nước.
→ Chọn C.
5.3
Nhận định nào sau đây về phân tử ammonia không đúng?
A. Phân cực mạnh. B. Có một cặp electron không liên kết.
C. Có độ bền nhiệt rất cao. D. Có khả năng nhận proton.
Phương pháp giải:
– Phân tử ammonia có dạng hình chóp tam giác, được cấu tạo bởi 3 liên kết cộng hóa trị phân cực N – H. Trên nguyên tử N còn 1 cặp electron hóa trị chưa tham gia liên kết.
– NH3 (ammonia) là dung dịch có tính base theo thuyết acid – base của Brosted – Lowry.
– Năng lượng liên kết trong phân tử ammonia nhỏ.
Lời giải chi tiết:
Nhận định A đúng vì N có độ âm điện lớn hơn H, do đó trong ammonia có 3 liên kết cộng hóa trị phân cực N – H.
Nhận định B đúng vì trong phân tử ammonia, nguyên tử N còn 1 cặp electron hóa trị chưa tham gia liên kết.
Nhận định C sai vì năng lượng liên kết trong phân tử ammonia nhỏ, do đó phân tử ammonia có độ bền nhiệt rất thấp.
Nhận định D đúng, ammonia có tính base, có thể nhận proton.
→ Chọn C.
5.4
Khi tác dụng với nước và hydrochloric acid, ammonia đóng vai trò là
A. acid. B. base. C. chất oxi hoá. D. chất khử.
Phương pháp giải:
NH3 (ammonia) là dung dịch có tính base theo thuyết acid – base của Bronsted – Lowry.
Lời giải chi tiết:
NH3 + HCl → NH4Cl
\({\rm{N}}{{\rm{H}}_{\rm{3}}}{\rm{ + }}{{\rm{H}}_{\rm{2}}}{\rm{O}} \mathbin{\lower.3ex\hbox{$\buildrel\textstyle\rightarrow\over{\smash{\leftarrow}\vphantom{_{\vbox to.5ex{\vss}}}}$}} {\rm{NH}}_{\rm{4}}^{\rm{ + }}{\rm{ + O}}{{\rm{H}}^{\rm{ – }}}\)
Khi tác dụng với nước và hydrochloric acid, ammonia đóng vai trò là base do phân tử ammonia nhận proton.
→ Chọn B.
5.5
Trong phương pháp Ostwald, ammonia bị oxi hoá bởi oxygen không khí tạo thành sản phẩm chính là
A. NO. B. N2. C. N2O. D. NO2.
Phương pháp giải:
Phương pháp Ostwald: 
Lời giải chi tiết:
Trong phương pháp Ostwald, ammonia bị oxi hoá bởi oxygen không khí tạo thành sản phẩm chính là NO.
→ Chọn A.
5.6
Cho dung dịch NH3 vào dung dịch chất nào sau đây thu được kết tủa trắng?
A. HCl. B. H2SO4. C. H3PO4. D. AlCl3.
Phương pháp giải:
Tất cả các muối ammonia đều tan.
Cho dung dịch NH3 vào dung dịch thu AlCl3: 3NH3 + 3H2O + AlCl3 → Al(OH)3↓ + 3NH4Cl
Lời giải chi tiết:
– Cho dung dịch NH3 vào dung dịch HCl: NH3 + HCl → NH4Cl
– Cho dung dịch NH3 vào dung dịch H2SO4: 2NH3 + H2SO4 → (NH4)2 SO4
– Cho dung dịch NH3 vào dung dịch H3PO4: 3NH3 + H3PO4 → (NH4)3 PO4
Tất cả các muối ammonia đều tan. Do đó, 3 phương trình trên không tạo được kết tủa.
– Cho dung dịch NH3 vào dung dịch AlCl3 thu được kết tủa trắng là Al(OH)3.
3NH3 + 3H2O + AlCl3 → Al(OH)3↓ + 3NH4Cl
→ Chọn D.
5.7
Cho vài giọt dung dịch phenolphthalein vào dung dịch NH3, phenolphthalein chuyển sang màu nào sau đây?
A. Hồng. B. Xanh. C. Không màu. D. Vàng.
Phương pháp giải:
Theo thuyết acid, base của Bronsted – Lowry: Acid là chất cho H+ (proton), base là chất nhận H+.
Dung dịch có tính base làm phenolphthalein hóa hồng.
Lời giải chi tiết:
Khi tan trong nước, ammonia nhận thêm H+ từ nước, do đó ammonia có tính base.
\({\rm{N}}{{\rm{H}}_{\rm{3}}}{\rm{ + }}{{\rm{H}}_{\rm{2}}}{\rm{O}} \mathbin{\lower.3ex\hbox{$\buildrel\textstyle\rightarrow\over{\smash{\leftarrow}\vphantom{_{\vbox to.5ex{\vss}}}}$}} {\rm{NH}}_{\rm{4}}^{\rm{ + }}{\rm{ + O}}{{\rm{H}}^{\rm{ – }}}\)
Dung dịch ammonia có tính base. Khi sử dụng phenolphthalein để nhận biết dung dịch ammonia, phenolphthalein hóa hồng.
→ Chọn A.
5.8
Nhiệt phân hoàn toàn muối nào sau đây thu được sản phẩm chỉ gồm khí và hơi?
A. NaCl. B. CaCO3. C. KClO3. D. (NH4)2CO3.
Phương pháp giải:
Muối ammonium dễ bị phân hủy khi đun nóng.
Lời giải chi tiết:
– Muối NaCl không bị nhiệt phân.
– Muối CaCO3 và KClO3 bi nhiệt phân tạo chất rắn và khí.
Nhiệt phân hoàn toàn muối (NH4)2CO3 thu được sản phẩm chỉ gồm khí và hơi.
\({\left( {{\rm{N}}{{\rm{H}}_{\rm{4}}}} \right)_{\rm{2}}}{\rm{C}}{{\rm{O}}_{\rm{3}}} \to 2{\rm{N}}{{\rm{H}}_{\rm{3}}} \uparrow {\rm{ + C}}{{\rm{O}}_{\rm{2}}} \uparrow {\rm{ + }}{{\rm{H}}_{\rm{2}}}{\rm{O}}\)
→ Chọn D.
5.9
Phân biệt được dung dịch NH4Cl và NaCl bằng thuốc thử là dung dịch
A. KCl. B. KNO3. C. KOH. D. K2SO4.
Phương pháp giải:
Có thể nhận biết ion \[{\rm{NH}}_4^ + \]bằng dung dịch kiềm.
Hiện tượng: sinh ra khí NH3 có mùi khai.
Lời giải chi tiết:
Phân biệt đung dịch NH4Cl và NaCl bằng thuốc thử là dung dịch KOH.
Hiện tượng:
+ Thêm KOH vào dung dịch NH4Cl thấy xuất hiện khí mùi khai (NH3): NH4Cl + KOH → KCl + NH3↑ + H2O
+ Thêm KOH vào dung dịch NaCl không thấy hiện tượng gì.
→ Chọn C.
5.10
Trong nước, phân tử/ion nào sau đây thể hiện vai trò là acid Bronsted?
A. NH3. B.\({\rm{NH}}_4^ + \). C.\({\rm{NO}}_3^ – \). D. N2.
Phương pháp giải:
Theo thuyết acid, base của Bronsted – Lowry: Acid là chất cho H+ (proton), base là chất nhận H+.
Lời giải chi tiết:
\({\rm{N}}{{\rm{H}}_{\rm{3}}}{\rm{ + }}{{\rm{H}}_{\rm{2}}}{\rm{O}} \mathbin{\lower.3ex\hbox{$\buildrel\textstyle\rightarrow\over{\smash{\leftarrow}\vphantom{_{\vbox to.5ex{\vss}}}}$}} {\rm{NH}}_{\rm{4}}^{\rm{ + }}{\rm{ + O}}{{\rm{H}}^{\rm{ – }}}\)→ NH3 nhận proton nên NH3 là base.
\({\rm{NH}}_{\rm{4}}^{\rm{ + }}{\rm{ + }}{{\rm{H}}_{\rm{2}}}{\rm{O}} \mathbin{\lower.3ex\hbox{$\buildrel\textstyle\rightarrow\over{\smash{\leftarrow}\vphantom{_{\vbox to.5ex{\vss}}}}$}} {\rm{N}}{{\rm{H}}_{\rm{3}}}{\rm{ + }}{{\rm{H}}_{\rm{3}}}{{\rm{O}}^{\rm{ + }}}\)→ \({\rm{NH}}_4^ + \) cho proton nên \({\rm{NH}}_4^ + \) là acid.
\({\rm{NO}}_3^ – \)và N2 không thể hiện vai trò acid hay base trong nước.
→ Chọn B.
5.11
Cho các nhận định sau: Phân tử ammonia và ion ammonium đều (1) chứa liên kết cộng hoá trị; (2) là base Bronsted trong nước; (3) là acid Bronsted trong nước; (4) chứa nguyên tử N có số oxi hoá là –3.
Số nhận định đúng là
A.2. B. 1. C. 4. D. 3.
Phương pháp giải:
Theo thuyết acid, base của Bronsted – Lowry: Acid là chất cho H+ (proton), base là chất nhận H+.
Phân tử ammonia và ion ammonium được cấu tạo bởi 3 liên kết cộng hóa trị phân cực N – H.
Số oxi hóa của N trong NH3 và \[{\rm{NH}}_4^ + \]là -3.
Lời giải chi tiết:
Các nhận định đúng:
+ Phân tử ammonia và ion ammonium đều chứa liên kết cộng hoá trị.
+ Phân tử ammonia và ion ammonium đều chứa nguyên tử N có số oxi hoá là –3.
Các nhận định sai:
+ Phân tử ammonia và ion ammonium đều là base Bronsted trong nước.
+ Phân tử ammonia và ion ammonium đều là acid Bronsted trong nước.
Trong nước, NH3 là base, \[{\rm{NH}}_4^ + \] là acid.
→ Chọn A.
5.12
Các chất khí được thu vào bình theo đúng nguyên tắc bằng cách đẩy không khí (X, Y, Z) và đẩy nước (T) như
sau:

Nhận xét nào sau đây không đúng?
A. X là chlorine. B. Y là hydrogen.
C. Z là nitrogen dioxide. D. T là ammonia.
Phương pháp giải:
Nguyên tắc thu khí:
+ Thu khí bằng cách đẩy không khí: Khí thu được nặng hơn không khí thì ngửa bình, khí thu được nhẹ hơn không khí thì úp bình.
+ Thu khí bằng cách đẩy nước: Khí thu được không tan trong nước.
Lời giải chi tiết:
X là chlorine là nhận xét đúng, vì khí chlorine nặng hơn không khí nên X có thể thu được bằng cách ngửa bình.
Y là hydrogen là nhận xét đúng, vì khí hydrogen nhẹ hơn không khí nên Y có thể thu được bằng cách úp ngược bình.
Z là nitrogen dioxide là nhận xét đúng, vì khí nitrogen dioxide nặng hơn không khí nên Z có thể thu được bằng cách ngửa bình.
T là ammonia là nhận xét sai, vì ammonia tan nhiều trong nước nên không thể thu ammonia bằng cách đẩy nước.
→ Chọn D.
5.13
Phát biểu nào sau đây không đúng?
A. Ammonia là base Brønsted khi tác dụng với nước.
B. Ammonia được sử dụng là chất làm lạnh.
C. Muối ammonium là tinh thể ion, dễ tan trong nước.
D. Các muối ammonium đều rất bền với nhiệt.
Phương pháp giải:
NH3 (ammonia) là dung dịch có tính base theo thuyết acid – base của Brosted – Lowry.
Ammonia được dùng trong hệ thống làm lạnh trong công nghiệp.
Phân tử chứa liên kết ion được tạo bởi ion ammonium (NH4+) và chloride (Cl–). Muối ammonium là tinh thể ion.
Tất cả muối ammonium đều tan.
Muối ammonium dễ bị phân hủy khi đun nóng.
Lời giải chi tiết:
Muối ammonium dễ bị phân hủy khi đun nóng. Do đó phát biểu sai là các muối ammonium đều rất bền với nhiệt.
→ Chọn D.
5.14
Tiến hành thí nghiệm trộn từng cặp dung dịch sau: (a) NH3 và AlCl3; (b) (NH4)2SO4 và Ba(OH)2; (c) NH4Cl và AgNO3; (d) NH3 và HCl.
Sau khi phản ứng kết thúc, số thí nghiệm thu được kết tủa là
A. 1. B. 3. C. 2. D. 4.
Phương pháp giải:
Phản ứng giữa NH3 với AlCl3 và HCl là phản ứng giữa base và acid.
Phản ứng giữa (NH4)2SO4 với Ba(OH)2, NH4Cl và AgNO3 là phản ứng trao đổi.
Lời giải chi tiết:
(a) 3NH3 + 3H2O + AlCl3 → Al(OH)3↓ + 3NH4Cl
(b) \({\left( {{\rm{N}}{{\rm{H}}_{\rm{4}}}} \right)_{\rm{2}}}{\rm{S}}{{\rm{O}}_4}{\rm{ + Ba}}{\left( {{\rm{OH}}} \right)_{\rm{2}}} \to {\rm{ BaS}}{{\rm{O}}_4} \downarrow {\rm{ + 2N}}{{\rm{H}}_{\rm{3}}} \uparrow {\rm{ + 2}}{{\rm{H}}_{\rm{2}}}{\rm{O}}\)
(c) \({\rm{N}}{{\rm{H}}_{\rm{4}}}{\rm{Cl }} + {\rm{ AgN}}{{\rm{O}}_3} \to {\rm{AgCl}} \downarrow + {\rm{N}}{{\rm{H}}_{\rm{4}}}{\rm{N}}{{\rm{O}}_{\rm{3}}}\)
(d) NH3 + HCl → NH4Cl
Sau khi phản ứng kết thúc, số thí nghiệm thu được kết tủa là 3.
→ Chọn B.
5.15
Xét cân bằng hoá học: \({\rm{N}}{{\rm{H}}_{\rm{3}}} + {{\rm{H}}_{\rm{2}}}{\rm{O}} \mathbin{\lower.3ex\hbox{$\buildrel\textstyle\rightarrow\over{\smash{\leftarrow}\vphantom{_{\vbox to.5ex{\vss}}}}$}} {\rm{NH}}_4^ + + {\rm{O}}{{\rm{H}}^ – }\)
Cân bằng sẽ chuyển dịch theo chiều thuận khi cho thêm vài giọt dung dịch nào sau đây?
A.NH4Cl. B. NaOH. C. HCl. D. NaCl.
Phương pháp giải:
Nguyên lí Le Chatelier: Một phản ứng thuận nghịch đang ở trạng thái cân bằng khi chịu một tác động từ bên ngoài như biến đổi nồng độ, áp suất, nhiệt độ thì cân bằng sẽ chuyển dịch theo chiều làm giảm tác động đó.
Lời giải chi tiết:
Xét cân bằng hoá học: \({\rm{N}}{{\rm{H}}_{\rm{3}}} + {{\rm{H}}_{\rm{2}}}{\rm{O}} \mathbin{\lower.3ex\hbox{$\buildrel\textstyle\rightarrow\over{\smash{\leftarrow}\vphantom{_{\vbox to.5ex{\vss}}}}$}} {\rm{NH}}_4^ + + {\rm{O}}{{\rm{H}}^ – }\)
Khi thêm vài giọt dung dịch NH4Cl, nồng độ của ion \({\rm{NH}}_4^ + \)tăng, cân bằng chuyển dịch theo chiều làm giảm nồng độ ion \({\rm{NH}}_4^ + \), cân bằng chuyển dịch theo chiều nghịch.
Khi thêm vài giọt dung dịch NaOH, nồng độ của ion \({\rm{O}}{{\rm{H}}^ – }\)tăng, cân bằng chuyển dịch theo chiều làm giảm nồng độ ion \({\rm{O}}{{\rm{H}}^ – }\), cân bằng chuyển dịch theo chiều nghịch.
Khi thêm vài giọt dung dịch HCl, nồng độ của ion \({\rm{O}}{{\rm{H}}^ – }\)giảm (vì xảy ra phản ứng \({{\rm{H}}^ + } + {\rm{O}}{{\rm{H}}^ – } \to {{\rm{H}}_{\rm{2}}}{\rm{O}}\)), cân bằng chuyển dịch theo chiều làm tăng nồng độ ion \({\rm{O}}{{\rm{H}}^ – }\), cân bằng chuyển dịch theo chiều thuận.
Khi thêm vài giọt dung dịch NaCl, cân bằng không bị chuyển dịch.
→ Chọn C.
5.16
Xét cân bằng hoá học: \({\rm{N}}{{\rm{H}}_{\rm{3}}} + {{\rm{H}}_{\rm{2}}}{\rm{O}} \mathbin{\lower.3ex\hbox{$\buildrel\textstyle\rightarrow\over{\smash{\leftarrow}\vphantom{_{\vbox to.5ex{\vss}}}}$}} {\rm{NH}}_4^ + + {\rm{O}}{{\rm{H}}^ – }\)
Hằng số cân bằng (KC) của phản ứng được biểu diễn bằng biểu thức nào sau đây?
A.\({{\rm{K}}_{\rm{C}}} = \frac{{[{\rm{NH}}_4^ + ][{\rm{O}}{{\rm{H}}^ – }]}}{{[{\rm{N}}{{\rm{H}}_{\rm{3}}}]}}\). B. \({{\rm{K}}_{\rm{C}}} = \frac{{[{\rm{NH}}_4^ + ][{\rm{O}}{{\rm{H}}^ – }]}}{{[{\rm{N}}{{\rm{H}}_{\rm{3}}}][{{\rm{H}}_{\rm{2}}}{\rm{O}}]}}\).
C. \({{\rm{K}}_{\rm{C}}} = \frac{{[{\rm{NH}}_4^ + ][{\rm{O}}{{\rm{H}}^ – }]}}{{[{{\rm{H}}_{\rm{2}}}{\rm{O}}]}}\). D. \({{\rm{K}}_{\rm{C}}} = \frac{{[{\rm{NH}}_4^ + ]}}{{[{\rm{N}}{{\rm{H}}_{\rm{3}}}]}}\).
Phương pháp giải:
Tổng quát, nếu có phản ứng thuận nghịch sau: aA+bB \( \mathbin{\lower.3ex\hbox{$\buildrel\textstyle\rightarrow\over{\smash{\leftarrow}\vphantom{_{\vbox to.5ex{\vss}}}}$}} \) cC +dD
Khi phản ứng ở trạng thái cân bằng, ta có: \({{\rm{K}}_{\rm{C}}}{\rm{ = }}\frac{{{{{\rm{[C]}}}^{\rm{c}}}{{{\rm{[D]}}}^{\rm{d}}}}}{{{{{\rm{[A]}}}^{\rm{a}}}{{{\rm{[B]}}}^{\rm{b}}}}}\)
Trong đó [A], [B], [C] và [D] là nồng độ mol các chất A, B, C và D ở trạng thái cân bằng; a, b, c và d là hệ số tỉ lượng các chất trong phương trình hoá học. Chất rắn không xuất hiện trong biểu thức hằng số cân bằng.
Trong phản ứng thuận nghịch, hằng số cân bằng KC của phản ứng xác định chỉ phụ thuộc vào nhiệt độ.
Lời giải chi tiết:
\({\rm{N}}{{\rm{H}}_{\rm{3}}} + {{\rm{H}}_{\rm{2}}}{\rm{O}} \mathbin{\lower.3ex\hbox{$\buildrel\textstyle\rightarrow\over{\smash{\leftarrow}\vphantom{_{\vbox to.5ex{\vss}}}}$}} {\rm{NH}}_4^ + + {\rm{O}}{{\rm{H}}^ – }\)
Hằng số cân bằng (KC) của phản ứng được biểu diễn bằng biểu thức: \({{\rm{K}}_{\rm{C}}} = \frac{{[{\rm{NH}}_4^ + ][{\rm{O}}{{\rm{H}}^ – }]}}{{[{\rm{N}}{{\rm{H}}_{\rm{3}}}]}}\)
→ Chọn A.
5.17
Xét cân bằng hoá học: \({{\rm{N}}_2}\left( {\rm{k}} \right){\rm{ }} + {\rm{ }}3{{\rm{H}}_2}\left( {\rm{k}} \right){\rm{ }} \mathbin{\lower.3ex\hbox{$\buildrel\textstyle\rightarrow\over{\smash{\leftarrow}\vphantom{_{\vbox to.5ex{\vss}}}}$}} {\rm{ }}2{\rm{N}}{{\rm{H}}_3}\left( {\rm{k}} \right){\rm{ }}\Delta {\rm H}{\rm{ }} < {\rm{ }}0.\)
Hiệu suất phản ứng khi hệ đạt cân bằng ở nhiệt độ 400 °C và 500 °C lần lượt bằng x% và y%. Mối quan hệ giữa x và y là
A. x < y. B. x = y. C. x > y. D. 5x = 4y.
Phương pháp giải:
Nguyên lí Le Chatelier: Một phản ứng thuận nghịch đang ở trạng thái cân bằng khi chịu một tác động từ bên ngoài như biến đổi nồng độ, áp suất, nhiệt độ thì cân bằng sẽ chuyển dịch theo chiều làm giảm tác động đó.
Lời giải chi tiết:
Hiệu suất phản ứng khi hệ đạt cân bằng ở nhiệt độ 400 °C là x%.
Hiệu suất phản ứng khi hệ đạt cân bằng ở nhiệt độ 500 °C là y%.
Khi tăng nhiệt độ (từ 400 °C lên 500 °C), cân bằng chuyển dịch theo chiều làm giảm nhiệt độ (tức là chiều thu nhiệt), cân bằng chuyển dịch theo chiều nghịch.
Hiệu suất của hai phản ứng ở 400 °C và 500 °C là hiệu suất của phản ứng thuận, Do đó, hiệu suất ở 500 °C nhỏ hơn hiệu suất ở 400 °C.
Vậy y < x hay x > y.
→ Chọn C.
5.18
Xét cân bằng hoá học: \({{\rm{N}}_2}\left( {\rm{k}} \right){\rm{ }} + {\rm{ }}3{{\rm{H}}_2}\left( {\rm{k}} \right){\rm{ }} \mathbin{\lower.3ex\hbox{$\buildrel\textstyle\rightarrow\over{\smash{\leftarrow}\vphantom{_{\vbox to.5ex{\vss}}}}$}} {\rm{ }}2{\rm{N}}{{\rm{H}}_3}\left( {\rm{k}} \right){\rm{ }}\Delta {\rm H}{\rm{ }} < {\rm{ }}0.\)
Hiệu suất phản ứng khi hệ đạt cân bằng ở áp suất 200 bar và 300 bar lần lượt bằng x% và y%. Mối quan hệ giữa x và y là
A. 5x = 4y. B. x = y. C. x > y. D. x < y.
Phương pháp giải:
Nguyên lí Le Chatelier: Một phản ứng thuận nghịch đang ở trạng thái cân bằng khi chịu một tác động từ bên ngoài như biến đổi nồng độ, áp suất, nhiệt độ thì cân bằng sẽ chuyển dịch theo chiều làm giảm tác động đó.
Lời giải chi tiết:
Hiệu suất phản ứng khi hệ đạt cân bằng ở áp suất 200 bar là x%.
Hiệu suất phản ứng khi hệ đạt cân bằng ở áp suất 300 bar là y%.
Khi tăng áp suất của hệ (từ 200 bar lên 300 bar), cân bằng chuyển dịch theo chiều làm giảm áp suất (tức là chiều làm giảm số mol khí), cân bằng chuyển dịch theo chiều thuận.
Hiệu suất của hai phản ứng ở áp suất 200 bar và 300 bar là phản ứng thuận. Do đó, hiệu suất ở 300 bar lớn hơn hiệu suất ở 200 bar.
Vậy y > x hay x < y.
→ Chọn D.
Câu 19
Hỗn hợp X gồm N2 và H2 có tỉ lệ mol tương ứng là 1 : 4. Nung nóng X trong bình kín ở nhiệt độ khoảng 450 °C có bột Fe xúc tác, thu được hỗn hợp khí Y có tỉ khối so với H2 bằng 4. Hiệu suất của phản ứng tổng hợp NH3 là
A. 20%. B. 25%. C. 30%. D. 10%.
Phương pháp giải:
Sử dụng công thức: \({\rm{H\% }} = \frac{{{{\rm{n}}_{{\rm{sp(tt)}}}}}}{{{{\rm{n}}_{{\rm{sp(lt)}}}}}} \times 100\% \)
Lời giải chi tiết:
Hỗn hợp X gồm N2 và H2 có tỉ lệ mol tương ứng là 1 : 4.
Chọn \({{\rm{n}}_{{{\rm{N}}_{\rm{2}}}}} = 1{\rm{ (mol)}};{\rm{ }}{{\rm{n}}_{{{\rm{H}}_{\rm{2}}}}} = 4{\rm{ }}({\rm{mol}})\)
Gọi x (mol) là số mol N2 phản ứng.
Xét cân bằng:
\({{\rm{N}}_2}\left( g \right){\rm{ }} + {\rm{ }}3{{\rm{H}}_2}\left( g \right){\rm{ }} \mathbin{\lower.3ex\hbox{$\buildrel\textstyle\rightarrow\over{\smash{\leftarrow}\vphantom{_{\vbox to.5ex{\vss}}}}$}} {\rm{ }}2{\rm{N}}{{\rm{H}}_3}\left( g \right){\rm{ }}\)
Ban đầu (mol): 1 4 0
Phản ứng (mol): x → 3x → 2x
Cân bằng (mol): 1 – x 4 – 3x 2x
\( \Rightarrow \)Số mol khí sau phản ứng: \({\rm{(1}} – {\rm{x}}){\rm{ + (4 — 3x) + 2x = 5}} – {\rm{2x (mol)}}\)

\(\begin{array}{l}{\rm{ }}{{\rm{m}}_{\rm{X}}} = {{\rm{m}}_{\rm{Y}}}\\ \Leftrightarrow {{\rm{m}}_{{{\rm{N}}_{\rm{2}}}}} + {{\rm{m}}_{{{\rm{H}}_{\rm{2}}}}} = {{\rm{m}}_{\rm{Y}}}\\ \Leftrightarrow 1 \times 28 + 4 \times 2 = 8 \times (5 – 2{\rm{x}})\\ \Rightarrow {\rm{x}} = 0,25{\rm{ (mol)}}\end{array}\)
\(\begin{array}{l} \Rightarrow {{\rm{n}}_{{{\rm{N}}_{\rm{2}}}{\rm{p/u}}}} = {\rm{x}} = 0,25{\rm{ }}({\rm{mol}})\\ \Rightarrow {\rm{H}} = \frac{{{{\rm{n}}_{{{\rm{N}}_{\rm{2}}}{\rm{p/u}}}}}}{{{{\rm{n}}_{{{\rm{N}}_{\rm{2}}}{\rm{bd}}}}}} \times 100\% = \frac{{0,25}}{1} \times 100\% = 25\% \end{array}\)
→ Chọn B.
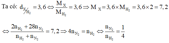
5.20
Hỗn hợp khí X gồm N2 và H2 có tỉ khối đối với H2 bằng 3,6. Nung nóng X trong bình kín có bột Fe xúc tác, thu được hỗn hợp khí Y có số mol giảm 8% so với ban đầu. Hiệu suất của phản ứng tổng hợp NH3 là
A. 25%. B. 23%. C. 16%. D. 20%.
Phương pháp giải:
Tìm tỉ lệ mol của N2 và H2 thông qua tỉ khối.
Sử dụng công thức:
\({\rm{H\% }} = \frac{{{{\rm{n}}_{{\rm{sp(tt)}}}}}}{{{{\rm{n}}_{{\rm{sp(lt)}}}}}} \times 100\% \)
Lời giải chi tiết:

Hỗn hợp X gồm N2 và H2 có tỉ lệ mol tương ứng là 1 : 4.
Chọn \({{\rm{n}}_{{{\rm{N}}_{\rm{2}}}}} = 1{\rm{ (mol)}};{\rm{ }}{{\rm{n}}_{{{\rm{H}}_{\rm{2}}}}} = 4{\rm{ }}({\rm{mol}})\)
\( \Rightarrow \)Số mol khí ban đầu là: \(1 + 4 = 5{\rm{ (mol)}}\)
Gọi x (mol) là số mol N2 phản ứng.
Xét cân bằng:
Ban đầu (mol): 1 4 0
Phản ứng (mol): x → 3x → 2x
Cân bằng (mol): 1 – x 4 – 3x 2x
\( \Rightarrow \)Số mol khí sau phản ứng: \({\rm{(1}} – {\rm{x}}){\rm{ + (4 — 3x) + 2x = 5}} – {\rm{2x (mol)}}\)
\( \Rightarrow \)Số mol khí giảm so với ban đầu: \(5 – (5 – 2{\rm{x}}) = 2{\rm{x (mol)}}\)
Ta có: hỗn hợp khí sau phản ứng có số mol giảm 8% so với ban đầu.
\( \Leftrightarrow 2{\rm{x}} = \frac{8}{{100}} \times 5 \Rightarrow {\rm{x}} = 0,2{\rm{ (mol)}}\)
\(\begin{array}{l} \Rightarrow {{\rm{n}}_{{{\rm{N}}_{\rm{2}}}{\rm{p/u}}}} = {\rm{x}} = 0,2{\rm{ }}({\rm{mol}})\\ \Rightarrow {\rm{H}} = \frac{{{{\rm{n}}_{{{\rm{N}}_{\rm{2}}}{\rm{p/u}}}}}}{{{{\rm{n}}_{{{\rm{N}}_{\rm{2}}}{\rm{bd}}}}}} \times 100\% = \frac{{0,2}}{1} \times 100\% = 20\% \end{array}\)
→ Chọn D.
5.21
a) Viết phương trình hoá học xảy ra khi cho dung dịch (NH4)2CO3 lần lượt tác dụng với lượng dư các dung dịch: HCl, Ba(OH)2.
b) Trình bày phương pháp hoá học phân biệt ba dung dịch: NH4NO3, KNO3, NH4Cl.
Phương pháp giải:
a) Phản ứng giữa (NH4)2CO3 với HCl, Ba(OH)2 là phản ứng trao đổi.
b) Có thể nhận biết ion bằng dung dịch kiềm. Hiện tượng: sinh ra khí NH3 có mùi khai.
Có thể nhận biết ion bằng dung dịch Ag+.
Lời giải chi tiết:
a) \({\left( {{\rm{N}}{{\rm{H}}_{\rm{4}}}} \right)_{\rm{2}}}{\rm{C}}{{\rm{O}}_{\rm{3}}}{\rm{ + 2HCl}} \to {\rm{2N}}{{\rm{H}}_{\rm{4}}}{\rm{Cl + C}}{{\rm{O}}_{\rm{2}}} \uparrow {\rm{ + }}{{\rm{H}}_{\rm{2}}}{\rm{O}}\)
\({\left( {{\rm{N}}{{\rm{H}}_{\rm{4}}}} \right)_{\rm{2}}}{\rm{C}}{{\rm{O}}_{\rm{3}}}{\rm{ + Ba}}{\left( {{\rm{OH}}} \right)_{\rm{2}}} \to {\rm{ BaC}}{{\rm{O}}_{\rm{3}}} \downarrow {\rm{ + 2N}}{{\rm{H}}_{\rm{3}}} \uparrow {\rm{ + 2}}{{\rm{H}}_{\rm{2}}}{\rm{O}}\)
b) Sử dụng lần lượt hai thuốc thử là NaOH và AgNO3 để nhận biết:
|
|
NH4NO3
|
KNO3
|
NH4Cl
|
|
NaOH
|
Khí có mùi khai
|
Không hiện tượng
|
Khí có mùi khai
|
|
AgNO3
|
Không hiện tượng
|
|
Kết tủa trắng
|
Các phương trình hóa học:
\(\begin{array}{l}{\rm{N}}{{\rm{H}}_{\rm{4}}}{\rm{N}}{{\rm{O}}_{\rm{3}}} + {\rm{NaOH}} \to {\rm{NaN}}{{\rm{O}}_{\rm{3}}} + {\rm{N}}{{\rm{H}}_{\rm{3}}} \uparrow + {{\rm{H}}_{\rm{2}}}{\rm{O}}\\{\rm{N}}{{\rm{H}}_{\rm{4}}}{\rm{Cl}} + {\rm{NaOH}} \to {\rm{NaCl}} + {\rm{N}}{{\rm{H}}_{\rm{3}}} \uparrow + {{\rm{H}}_{\rm{2}}}{\rm{O}}\\{\rm{N}}{{\rm{H}}_{\rm{4}}}{\rm{Cl}} + {\rm{AgN}}{{\rm{O}}_{\rm{3}}} \to {\rm{N}}{{\rm{H}}_{\rm{4}}}{\rm{N}}{{\rm{O}}_{\rm{3}}} + {\rm{AgCl}} \downarrow \end{array}\)
5.22
Sự phụ thuộc của độ tan khí ammonia trong nước vào nhiệt độ được mô tả ở hình bên. Dựa vào đồ thị ở hình bên, hãy xác định:

a) Độ tan của ammonia ở 30 °C. Nhận xét về tính tan của ammonia ở nhiệt độ này.
b) Nồng độ phần trăm của dung dịch ammonia bão hoà ở 30 °C.
c) Độ tan của ammonia ở 60 °C. So sánh với độ tan của ammonia ở 30 °C. Giải thích.
Phương pháp giải:
Sử dụng công thức: \({\rm{C}}\% = \frac{{{{\rm{m}}_{{\rm{ct}}}}}}{{{{\rm{m}}_{{\rm{dd}}}}}} \times 100\% \)
Ở nhiệt độ cao, ammonia dễ bay hơi hơn nên độ tan giảm.
Lời giải chi tiết:
a) Ở 30 °C, độ tan của ammonia là 40 g NH3/100 g nước.
Nhận xét: Ở nhiệt độ nảy, ammonia tan tốt trong nước.
b) Nồng độ phần trăm của ammonia bão hoà ở 30 °C: \({\rm{C}}\% = \frac{{{\rm{40}}}}{{{\rm{40 + 100}}}} \times 100\% \approx 28,6\% \)
c) Độ tan của ammonia ở 60 °C là 15 g NH3/100g nước.
Nhận xét: Độ tan của ammonia ở 60 °C đã giảm mạnh so với ở 30 °C.
Giải thích: Ở nhiệt độ cao hơn, các phân tử ammonia chuyển động nhiệt mạnh hơ\(\)n, thoát khỏi dung dịch nhiều hơn, dẫn đến độ tan giảm.
5.23
Trong công nghiệp, nitrogen được sản xuất từ nguồn nguyên liệu dồi dào là không khí. Giả thiết không khí chứa 78% N2, 21% O2 và 1% Ar về thể tích. Cho biết nhiệt độ sôi của các chất trên lần lượt là –196 °C, −183 °C và –186 °C. Em hãy nêu nguyên tắc sản xuất N2 từ không khí.
Phương pháp giải:
3 khí trên có nhiệt độ sôi khác nhau, trong đó ammonia có nhiệt độ sôi cao nhất, do đó có thể tách nitrogen khỏi hỗn hợp, bằng cách hóa lỏng nitrogen ở nhiệt độ –186 °C.
Lời giải chi tiết:
Nguyên tắc sản xuất nitrogen từ không khí là chưng cất phân đoạn không khí lỏng. Đầu tiên sẽ hoả lỏng không khí bằng cách tăng áp suất và làm lạnh xuống dưới –196 °C. Sau đó, tăng dần nhiệt độ, đến –196 °C thì nitrogen sôi và thoát ra; –186 °C thì argon sôi và thoát ra; chất lỏng còn lại là oxygen.
5.24
Xét cân bằng của dung dịch NH3 0,1 M ở 25 °C:
\({\rm{N}}{{\rm{H}}_{\rm{3}}} + {{\rm{H}}_{\rm{2}}}{\rm{O}} \mathbin{\lower.3ex\hbox{$\buildrel\textstyle\rightarrow\over{\smash{\leftarrow}\vphantom{_{\vbox to.5ex{\vss}}}}$}} {\rm{NH}}_4^ + + {\rm{O}}{{\rm{H}}^ – }{\rm{ }}{{\rm{K}}_{\rm{C}}}{\rm{ = 1,74}}{\rm{.1}}{{\rm{0}}^{ – 5}}\)
Bỏ qua sự phân li của nước. Xác định giá trị pH của dung dịch trên.
Phương pháp giải:
Tổng quát, nếu có phản ứng thuận nghịch sau: aA+bB\( \mathbin{\lower.3ex\hbox{$\buildrel\textstyle\rightarrow\over{\smash{\leftarrow}\vphantom{_{\vbox to.5ex{\vss}}}}$}} \) cC +dD
Khi phản ứng ở trạng thái cân bằng, ta có: \({{\rm{K}}_{\rm{C}}}{\rm{ = }}\frac{{{{{\rm{[C]}}}^{\rm{c}}}{{{\rm{[D]}}}^{\rm{d}}}}}{{{{{\rm{[A]}}}^{\rm{a}}}{{{\rm{[B]}}}^{\rm{b}}}}}\)
Trong đó [A], [B], [C] và [D] là nồng độ mol các chất A, B, C và D ở trạng thái cân bằng; a, b, c và d là hệ số tỉ lượng các chất trong phương trình hoá học.
Tính nồng độ ion \({\rm{O}}{{\rm{H}}^ – }\)rồi sử dụng công thức pH = 14 – pOH.
Lời giải chi tiết:
Xét cân bằng: \({\rm{N}}{{\rm{H}}_{\rm{3}}}{\rm{ }} + {\rm{ }}{{\rm{H}}_{\rm{2}}}{\rm{O }} \mathbin{\lower.3ex\hbox{$\buildrel\textstyle\rightarrow\over{\smash{\leftarrow}\vphantom{_{\vbox to.5ex{\vss}}}}$}} {\rm{ NH}}_4^ + {\rm{ }} + {\rm{ O}}{{\rm{H}}^ – }{\rm{ }}\)
Ban đầu (M): 0,1 0 0
Phản ứng (M): x ← x ← x
Cân bằng (M): 0,1 – x x x
Ta có: KC = \({\rm{1,74}}{\rm{.1}}{{\rm{0}}^{ – 5}}\)
\(\begin{array}{l}\frac{{[{\rm{NH}}_4^ + ][{\rm{O}}{{\rm{H}}^ – }]}}{{[{\rm{N}}{{\rm{H}}_{\rm{3}}}]}} = {\rm{1,74}}{\rm{.1}}{{\rm{0}}^{ – 5}}\\ \Leftrightarrow \frac{{{{\rm{x}}^2}}}{{0,1 – {\rm{x}}}} = {\rm{1,74}}{\rm{.1}}{{\rm{0}}^{ – 5}}\\ \Rightarrow {\rm{x}} \approx 1,{31.10^{ – 3}}{\rm{ (M)}} \Rightarrow {\rm{[O}}{{\rm{H}}^ – }{\rm{] = }}1,{31.10^{ – 3}}{\rm{ (M)}}\\ \Rightarrow {\rm{pOH = – log}}1,{31.10^{ – 3}} \approx 2,88\\ \Rightarrow {\rm{pH = 14 – pOH = }}14 – 2,88 = 11,12\end{array}\)
5.25
Xét cân bằng trong dung dịch gồm NH4Cl 0,10 M và NH3 0,05 M ở 25 oC
\({\rm{N}}{{\rm{H}}_{\rm{3}}} + {{\rm{H}}_{\rm{2}}}{\rm{O}} \mathbin{\lower.3ex\hbox{$\buildrel\textstyle\rightarrow\over{\smash{\leftarrow}\vphantom{_{\vbox to.5ex{\vss}}}}$}} {\rm{NH}}_4^ + + {\rm{O}}{{\rm{H}}^ – }{\rm{ }}{{\rm{K}}_{\rm{C}}}{\rm{ = 1,74}}{\rm{.1}}{{\rm{0}}^{ – 5}}\)
Bỏ qua sự phân li của nước. Xác định giá trị pH của dung dịch trên.
Phương pháp giải:
Tổng quát, nếu có phản ứng thuận nghịch sau: aA+bB \( \mathbin{\lower.3ex\hbox{$\buildrel\textstyle\rightarrow\over{\smash{\leftarrow}\vphantom{_{\vbox to.5ex{\vss}}}}$}} \) cC +dD
Khi phản ứng ở trạng thái cân bằng, ta có: \({{\rm{K}}_{\rm{C}}}{\rm{ = }}\frac{{{{{\rm{[C]}}}^{\rm{c}}}{{{\rm{[D]}}}^{\rm{d}}}}}{{{{{\rm{[A]}}}^{\rm{a}}}{{{\rm{[B]}}}^{\rm{b}}}}}\)
Trong đó [A], [B], [C] và [D] là nồng độ mol các chất A, B, C và D ở trạng thái cân bằng; a, b, c và d là hệ số tỉ lượng các chất trong phương trình hoá học.
Tính nồng độ ion \({\rm{O}}{{\rm{H}}^ – }\)rồi sử dụng công thức pH = 14 – pOH.
Lời giải chi tiết:
Xét cân bằng: \({\rm{N}}{{\rm{H}}_{\rm{3}}}{\rm{ }} + {\rm{ }}{{\rm{H}}_{\rm{2}}}{\rm{O }} \mathbin{\lower.3ex\hbox{$\buildrel\textstyle\rightarrow\over{\smash{\leftarrow}\vphantom{_{\vbox to.5ex{\vss}}}}$}} {\rm{ NH}}_4^ + {\rm{ }} + {\rm{ O}}{{\rm{H}}^ – }{\rm{ }}\)
Ban đầu (M): 0,05 0,1 0
Phản ứng (M): x ← x ← x
Cân bằng (M): 0,05 – x 0,1 + x x
Ta có: KC = \({\rm{1,74}}{\rm{.1}}{{\rm{0}}^{ – 5}}\)
\(\begin{array}{l}\frac{{[{\rm{NH}}_4^ + ][{\rm{O}}{{\rm{H}}^ – }]}}{{[{\rm{N}}{{\rm{H}}_{\rm{3}}}]}} = {\rm{1,74}}{\rm{.1}}{{\rm{0}}^{ – 5}}\\ \Leftrightarrow \frac{{{\rm{x}}{\rm{.(0,1 + x)}}}}{{0,05 – {\rm{x}}}} = {\rm{1,74}}{\rm{.1}}{{\rm{0}}^{ – 5}}\\ \Rightarrow {\rm{x}} \approx 8,{7.10^{ – 6}}{\rm{ (M)}} \Rightarrow {\rm{[O}}{{\rm{H}}^ – }{\rm{] = }}8,{7.10^{ – 6}}{\rm{ (M)}}\\ \Rightarrow {\rm{pOH = – log}}8,{7.10^{ – 6}} \approx 5,06\\ \Rightarrow {\rm{pH = 14 – pOH = }}14 – 5,06 = 8,94\end{array}\)
5.26
Tại một nhà máy phân bón, ammophos được sản xuất từ ammonia và phosphoric acid, thu được NH4H2PO4 và (NH4)2HPO4 với tỉ lệ mol là 1 : 1.
a) Viết các phương trình hoá học.
b) Tính thể tích khí ammonia (đkc) cần dùng để tác dụng vừa đủ với dung dịch chứa 5,88 tấn phosphoric acid. Tính khối lượng ammophos thu được.
Lời giải chi tiết:
a) Các phương trình hoá học.
\(\begin{array}{l}{\rm{N}}{{\rm{H}}_{\rm{3}}} + {{\rm{H}}_{\rm{3}}}{\rm{P}}{{\rm{O}}_{\rm{4}}} \to {\rm{N}}{{\rm{H}}_{\rm{4}}}{{\rm{H}}_{\rm{2}}}{\rm{P}}{{\rm{O}}_{\rm{4}}}{\rm{ (1)}}\\{\rm{2N}}{{\rm{H}}_{\rm{3}}} + {{\rm{H}}_{\rm{3}}}{\rm{P}}{{\rm{O}}_{\rm{4}}} \to {\left( {{\rm{N}}{{\rm{H}}_{\rm{4}}}} \right)_{\rm{2}}}{\rm{HP}}{{\rm{O}}_{\rm{4}}}{\rm{ (2)}}\end{array}\)
b) \({{\rm{n}}_{{{\rm{H}}_{\rm{3}}}{\rm{P}}{{\rm{O}}_{\rm{4}}}}} = \frac{{5,88 \times {{10}^6}}}{{98}} = 6 \times {10^4}{\rm{ (mol)}}\)
Vì NH4H2PO4 và (NH4)2HPO4 có tỉ lệ mol là 1 : 1 nên
\(\begin{array}{l}{{\rm{n}}_{{\rm{N}}{{\rm{H}}_{\rm{4}}}{{\rm{H}}_{\rm{2}}}{\rm{P}}{{\rm{O}}_{\rm{4}}}}} = {{\rm{n}}_{{{\left( {{\rm{N}}{{\rm{H}}_{\rm{4}}}} \right)}_{\rm{2}}}{\rm{HP}}{{\rm{O}}_{\rm{4}}}}} \Rightarrow {{\rm{n}}_{{{\rm{H}}_{\rm{3}}}{\rm{P}}{{\rm{O}}_{\rm{4}}}(1)}} = {{\rm{n}}_{{{\rm{H}}_{\rm{3}}}{\rm{P}}{{\rm{O}}_{\rm{4}}}(2)}} = \frac{{{{\rm{n}}_{{{\rm{H}}_{\rm{3}}}{\rm{P}}{{\rm{O}}_{\rm{4}}}}}}}{2} = 3 \times {10^4}{\rm{ (mol)}}\\ \Rightarrow \sum {{{\rm{n}}_{{\rm{N}}{{\rm{H}}_3}}} = } {{\rm{n}}_{{{\rm{H}}_{\rm{3}}}{\rm{P}}{{\rm{O}}_{\rm{4}}}(1)}} + 2{{\rm{n}}_{{{\rm{H}}_{\rm{3}}}{\rm{P}}{{\rm{O}}_{\rm{4}}}(2)}} = 3 \times {10^4} + 2 \times 3 \times {10^4} = 9 \times {10^4}{\rm{ (mol)}}\\ \Rightarrow {{\rm{V}}_{{\rm{N}}{{\rm{H}}_3}}} = 24,79 \times 9 \times {10^4} = 223,11 \times {10^4}{\rm{ (L) = 2231,1 (}}{{\rm{m}}^3})\end{array}\)
Áp dụng định luật bảo toàn khối lượng, ta có:
\({{\mathop{\rm m}\nolimits} _{ammophos}} = {{\rm{m}}_{{{\rm{H}}_{\rm{3}}}{\rm{P}}{{\rm{O}}_{\rm{4}}}}} + {{\rm{m}}_{_{{\rm{N}}{{\rm{H}}_3}}}} = 5,88 + \frac{{9 \times {{10}^4} \times 17}}{{{{10}^6}}} = 7,41\)(tấn)