Giải bài 1 trang 5 SBT Sinh học 12

Giải bài 1 trang 5 sách bài tập Sinh học 12. Trong một phân tử mARN ở E. coli, tỉ lệ % các loại nuclêôtit như sau

Đề bài

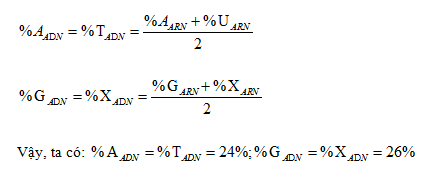
Trong một phân tử mARN ở E. coli, tỉ lệ % các loại nuclêôtit như sau: U = 20%, X = 22%, A = 28%.

a) Xác định tỉ lệ % từng loại nuclêôtit trong vùng mã hoá của gen đã tổng hợp nên phân tử mARN trên.

b) Trong phân tử mARN trên, nếu số nuclêôtit loại ađênin là 560 thì đoạn ADN làm khuôn để tổng hợp nên nó có chiểu dài bao nhiêu Ả?

Phương pháp giải – Xem chi tiết

Tính tỷ lệ từng loại nu theo công thức tính nhanh

Lời giải chi tiết

Vui lòng nhập mật khẩu để tiếp tục

test321

a) Theo cơ chế phiên mã của gen ta có sơ đồ:

 

Sơ đồ tổng hợp thành phần các nuclêôtit của đoạn mã hoá của gen khi một mạch của nó là 100%. Từ sơ đồ trên ta thấy:

b) Số nuclêôtit của mARN: (560 ×100) : 28 = 2000 nuclêôtit.

Số nuclêôtit của mARN bằng số nuclêôtit trên mạch khuôn thuộc vùng mã hoá của gen. Vậy, chiều dài đoạn ADN mã gốc tổng hợp nên phân tử mARN là: 2000 × 3,4 Å = 6800 Å

 Sachgiaihay.com

TẢI APP ĐỂ XEM OFFLINE