Bài 52 trang 15 SBT toán 9 tập 2

Giải bài 52 trang 15 sách bài tập toán 9. Giải các hệ phương trình sau: a) (căn 3).x – 2.(căn 2).y = 7 và (căn 2).x + 3.(căn 3).y = – 2.(căn 6); …

Lựa chọn câu để xem lời giải nhanh hơn

Giải các hệ phương trình sau:

Vui lòng nhập mật khẩu để tiếp tục

test123

LG a

\(\left\{ {\matrix{
{\sqrt 3 x – 2\sqrt 2 y = 7} \cr 
{\sqrt 2 x + 3\sqrt 3 y = – 2\sqrt 6 } \cr} } \right.\)

Phương pháp giải:

Cách giải hệ phương trình bằng phương pháp cộng đại số:

+ Bước \(1\): Nhân hai vế của mỗi phương trình với một số thích hợp (nếu cần) sao cho các hệ số của một ẩn nào đó trong hai phương trình của hệ bằng nhau hoặc đối nhau.

+ Bước \(2\): Sử dụng quy tắc cộng đại số để được hệ phương trình mới, trong đó có một phương trình mà hệ số của một trong hai ẩn bằng 0 (tức là phương trình một ẩn).

+ Bước \(3\): Giải phương trình một ẩn vừa thu được rồi suy ra nghiệm của hệ đã cho.

Lời giải chi tiết:

\(\eqalign{
& \left\{ {\matrix{
{\sqrt 3 x – 2\sqrt 2 y = 7} \cr 
{\sqrt 2 x + 3\sqrt 3 y = – 2\sqrt 6 } \cr
} } \right. \cr& \Leftrightarrow \left\{ {\matrix{
{\sqrt 6 x – 4y = 7\sqrt 2 } \cr 
{\sqrt 6 x + 9y = – 6\sqrt 2 } \cr
} } \right. \cr 
& \Leftrightarrow \left\{ {\matrix{
{13y = – 13\sqrt 2 } \cr 
{\sqrt 3 x – 2\sqrt 2 y = 7} \cr
} } \right. \cr& \Leftrightarrow \left\{ {\matrix{
{y = – \sqrt 2 } \cr 
{\sqrt 3 x – 2\sqrt 2 .\left( { – \sqrt 2 } \right) = 7} \cr
} } \right. \cr 
& \Leftrightarrow \left\{ {\matrix{
{y = – \sqrt 2 } \cr 
{\sqrt 3 x = 3} \cr
} } \right. \cr& \Leftrightarrow \left\{ {\matrix{
{y = – \sqrt 2 } \cr 
{x = \sqrt 3 } \cr} } \right. \cr} \)

Vậy hệ phương trình đã cho có nghiệm duy nhất là \((x; y) = \left( {\sqrt 3 ; – \sqrt 2 } \right)\)

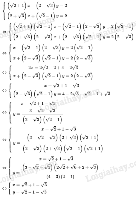
LG b

\(\left\{ {\matrix{
{\left( {\sqrt 2 + 1} \right)x – \left( {2 – \sqrt 3 } \right)y = 2} \cr 
{\left( {2 + \sqrt 3 } \right)x + \left( {\sqrt 2 – 1} \right)y = 2} \cr} } \right.\)

Phương pháp giải:

Cách giải hệ phương trình bằng phương pháp cộng đại số:

+ Bước \(1\): Nhân hai vế của mỗi phương trình với một số thích hợp (nếu cần) sao cho các hệ số của một ẩn nào đó trong hai phương trình của hệ bằng nhau hoặc đối nhau.

+ Bước \(2\): Sử dụng quy tắc cộng đại số để được hệ phương trình mới, trong đó có một phương trình mà hệ số của một trong hai ẩn bằng 0 (tức là phương trình một ẩn).

+ Bước \(3\): Giải phương trình một ẩn vừa thu được rồi suy ra nghiệm của hệ đã cho.

Lời giải chi tiết:

Vậy hệ phương trình đã cho có nghiệm duy nhất là \((x; y) =( {\sqrt 2  + 1 – \sqrt 3 ;\sqrt 2  – 1 – \sqrt 3 } )\)

Sachgiaihay.com

TẢI APP ĐỂ XEM OFFLINE