Đề thi
Câu 1: Cho phản ứng hóa học sau: \({H_2}(g) + {I_2}(g) \mathbin{\lower.3ex\hbox{$\buildrel\textstyle\rightarrow\over{\smash{\leftarrow}\vphantom{_{\vbox to.5ex{\vss}}}}$}} 2HI(g)\)Biểu thức nào sau đây mô tả giá trị của KC ?
A. \({K_C} = \frac{{{\rm{[}}2HI]}}{{{\rm{[}}{I_2}]{\rm{[}}{H_2}]}}\) B. \({K_C} = \frac{{{{{\rm{[}}HI]}^2}}}{{{\rm{[}}{I_2}]{\rm{[}}{H_2}]}}\) C. \({K_C} = \frac{{{{{\rm{[}}2HI]}^2}}}{{{\rm{[}}{I_2}]{\rm{[}}{{\rm{H}}_{\rm{2}}}{\rm{]}}}}\) D. \({K_C} = \sqrt {\frac{{{{{\rm{[}}HI]}^2}}}{{{\rm{[}}{H_2}]{\rm{[}}{I_2}]}}} \)
Câu 2: Cho các phản ứng hóa học sau:
\(\begin{array}{l}(1){H_2}(g) + {I_2}(g) \mathbin{\lower.3ex\hbox{$\buildrel\textstyle\rightarrow\over{\smash{\leftarrow}\vphantom{_{\vbox to.5ex{\vss}}}}$}} 2HI(g)\\(2)2S{O_2}(g) + {O_2}(g) \mathbin{\lower.3ex\hbox{$\buildrel\textstyle\rightarrow\over{\smash{\leftarrow}\vphantom{_{\vbox to.5ex{\vss}}}}$}} 2S{O_3}(g)\\(3)2NO(g) + {O_2}(g) \mathbin{\lower.3ex\hbox{$\buildrel\textstyle\rightarrow\over{\smash{\leftarrow}\vphantom{_{\vbox to.5ex{\vss}}}}$}} 2N{O_2}(g)\\(4)C{O_2}(g) + {H_2}(g) \mathbin{\lower.3ex\hbox{$\buildrel\textstyle\rightarrow\over{\smash{\leftarrow}\vphantom{_{\vbox to.5ex{\vss}}}}$}} CO(g) + {H_2}O(g)\end{array}\)
Khi tăng áp suất, các cân bằng chuyển dịch theo chiều thuận là
A. (1), (2), (3) B. (2), (3) C. (1), (3), (4) D. (1), (2), (3), (4)
Câu 3: Cho cân bằng hoá học:\(CO(g) + {H_2}O(g) \mathbin{\lower.3ex\hbox{$\buildrel\textstyle\rightarrow\over{\smash{\leftarrow}\vphantom{_{\vbox to.5ex{\vss}}}}$}} {H_2}(g) + C{O_2}(g)\) . Ở 427C, hằng số cân bằng KC = 8,3. Cho 1 mol khí CO và 1 mol hơi nước vào bình kín dung tích 10 lít và giữ ở 427C. Nồng độ CO2 ở trạng thái cân bằng:
A. 1,5M B. 0,074M C. 1M D. 0,83M
Câu 4: Dãy nào dưới đây chỉ gồm chất điện li mạnh ?
A. HBr, Na2S, Mg(OH)2, Na2CO3 B. HNO3, H2SO4, KOH, K2SiO3
C. H2SO4, NaOH, NaCl, HF D. Ca(OH)2, KOH, CH3COOH, NaCl
Câu 5: Trong số các chất sau: HNO2, CH3COOH, KMnO4, C6H6, HCOOH, HCOOCH3, C6H12O6, C2H5OH, SO2, Cl2, NaClO, CH4, NaOH, H2S. Số chất thuộc loại chất điện li là
A. 7 B. 8 C. 9 D. 10
Câu 6: Aspirin là một loại thuốc có thành phần chính là acetylsalicylic acid. Nếu hào tan thuốc này vào nước, người ta xác định được pH của dung dịch tạo thành 2,8. Nồng độ OH- của dung dịch tạo thành là:
A. 10-2,8 B. 10-14 C. 10-11,2 D. 10-7
Câu 7: Cho phản ứng: \({H_2}S{O_4}(aq) + {H_2}O \to HS{O_4}^ – (aq) + {H_3}{O^ + }\)
Cặp acid – base liên hợp trong phản ứng trên là:
A. H2SO4 và HSO4– B. H2O và H3O+
C. H2SO4 và SO42-; H2O và OH– D. H2SO4 và HSO4–; H3O+ và H2O
Câu 8: Những phát biểu nào dưới đây là đúng?
(a) Để so sánh mức độ acid giữa các dung dịch có thể dựa vào nồng độ: dung dịch acid nào có nồng độ lớn hơn sẽ có tính acid mạnh hơn.
(b) Trong các dung dịch có cùng nồng độ, dung dịch nào có tính acid mạnh hơn sẽ có nồng độ ion H+ lớn hơn và pH lớn hơn.
(c) Trong các dung dịch có cùng nồng độ, dung dịch nào có nồng độ ion OH– lớn hơn và pH nhỏ hơn sẽ có tính base lớn hơn.
(d) Trong các dung dịch có cùng nồng độ, dung dịch nào có tính acid mạnh hơn sẽ có nồng độ ion H+ lớn hơn và pH nhỏ hơn.
(e) Trong các dung dịch có cùng nồng độ, dung dịch có nồng độ ion H+ nhỏ và pH cao sẽ có tính acid yếu hơn.
(g) Trong một dãy các dung dịch có cùng nồng độ được sắp xếp theo tính acid tăng dần thì nồng độ ion OH– sẽ giảm dần và Ka tăng dần.
A. 3 B. 4 D. 2 D. 5
Câu 9: Trong công nghiệp, ammonia được sản xuất theo phản ứng pha khí:
\({N_2}(g) + 3{H_2}(g) \mathbin{\lower.3ex\hbox{$\buildrel\textstyle\rightarrow\over{\smash{\leftarrow}\vphantom{_{\vbox to.5ex{\vss}}}}$}} 2N{H_3}(g)\)
Cho biết các giá trị năng lượng liên kết Eb (Kj.mol-1):
|
Liên kết
|
N\( \equiv \)N
|
H-H
|
N-H
|
|
Eb
|
945
|
436
|
386
|
Nhiệt của phản ứng trên là:
A. 1481 Kj B. – 1481 KJ C. 63 KJ D. – 63 KJ
Câu 10: Trong các nhận xét dưới đây về muối ammonium, nhận xét nào đúng?
A. Muối ammonium tồn tại dưới dạng tinh thể ion, phân tử gồm cation ammonium và anion hydroxide.
B. Tất cả muối ammonium đều dễ tan trong nước, khi tan điện li hoàn toàn thành cation ammonium và anion gốc acid.
C. Dung dịch muối ammonium phản ứng với dung dịch base đặc, nóng thoát ra chất khí làm quỳ tím ẩm hoá đỏ.
D. Khi nhiệt phân các muối ammonium luôn có khí NH3 thoát ra.
Câu 11: Cho các phát biểu sau:
(1) Ammonia lỏng được dùng làm chất làm lạnh trong thiết bị lạnh.
(2) Để làm khô khí NH3 có lẫn hơi nước, có thể dẫn khí NH3 đi qua bình đựng dung dịch H2SO4 đặc.
(3) Khi cho quỳ tím ẩm vào lọ đựng khí NH3, quỳ tím chuyển thành màu đỏ.
(4) Nitrogen lỏng được dùng để bảo quản máu và các mẫu vật sinh học.
Có bao nhiêu phát biểu đúng?
A. 2. B. 3. C. 1. D. 4.
Câu 12: Cho cân bằng: \(2S{O_2}(g) + {O_2}(g) \mathbin{\lower.3ex\hbox{$\buildrel\textstyle\rightarrow\over{\smash{\leftarrow}\vphantom{_{\vbox to.5ex{\vss}}}}$}} 2S{O_3}(g)\)
Khi tăng nhiệt độ thì tỉ khối của hỗn hợp khí so với H2 giảm đi. Phát biểu đúng khi nói về cân bằng này
A. Phản ứng thuận thu nhiệt, cân bằng dịch chuyển theo chiều nghịch khi tăng nhiệt độ.
B. Phản ứng nghịch tỏa nhiệt, cân bằng dịch chuyển theo chiều thuận khi tăng nhiệt độ.
C. Phản ứng nghịch thu nhiệt, cân bằng dịch chuyển theo chiều thuận khi tăng nhiệt độ.
D. Phản ứng thuận tỏa nhiệt, cân bằng dịch chuyển theo chiều nghịch khi tăng nhiệt độ.
Câu 13: Ở nhiệt độ thường, khí N2 khá trơ về mặt hóa học. Nguyên nhân là do:
A. trong phân tử N2 có liên kết ba rất bền.
B. trong phân tử N2, mỗi nguyên tử nitrogen còn 1 cặp electron chưa tham gia liên kết..
C. nguyên tử nitrogen có độ âm điện kém hơn oxygen.
D. nguyên tử nitrogen có bán kính nhỏ.
Câu 14: Người ta sản xuất khi nitrogen trong công nghiệp bằng cách nào sau đây?
A. Chưng cất phân đoạn không khí lỏng.
B. Nhiệt phân dung dịch NH4NO2 bão hoà.
C. Dùng phosphorus để đốt cháy hết oxygen không khí.
D. Cho không khí đi qua bột Cu nung nóng.
Câu 15: Tìm câu SAI trong các phát biểu sau?
A. Nitrogen chỉ có số oxi hóa âm trong những hợp chất với hai nguyên tố O và F.
B. Nguyên tử nitrogen có 5 electron ở lớp ngoài cùng.
C. Nguyên tử nitrogen có 3 electron độc thân.
D. Nguyên tử nitrogen có khả năng tạo ra ba liên kết cộng hóa trị với nguyên tố khác.
II.Tự luận (4 điểm)
Câu 1: Cho 0,5 mol SO2 và 0,7 mol O2 vào một bình kín dung tích 1 lít được giữ ở nhiệt độ không đổi. Phản ứng trong bình xảy ra như sau: \(2S{O_2}(g) + {O_2}(g) \mathbin{\lower.3ex\hbox{$\buildrel\textstyle\rightarrow\over{\smash{\leftarrow}\vphantom{_{\vbox to.5ex{\vss}}}}$}} 2S{O_3}(g)\)
Khi phản ứng đạt đến trạng thái cân bằng, lượng SO3 trong bình là 0,4 mol. Tính hằng số cân bằng KC của phản ứng tổng hợp SO3 ở nhiệt độ trên
Câu 2: Quá trình gây mưa acid được hình thành từ phương trình:
4NO2 + O2 + 2H2O\( \to \)4HNO3
Lấy V lít hỗn hợp khí NO2 và O2 vào bình chứa 1 lít nước thu được dung dịch X. Để xác định nồng độ của dung dịch X, người ta lấy 5ml dung dịch X đem chuẩn độ bằng dung 10ml dung dịch NaOH 0,1M. Tính V (lít) hỗn hợp khí.
Đáp án
Phần trắc nghiệm
|
1. D
|
2. C
|
3. B
|
4. C
|
5. B
|
6. B
|
7. D
|
8. B
|
|
9. A
|
10. C
|
11. A
|
12. B
|
13. D
|
14. A
|
15. C
|
|
Câu 1: Cho phản ứng hóa học sau: \({H_2}(g) + {I_2}(g) \mathbin{\lower.3ex\hbox{$\buildrel\textstyle\rightarrow\over{\smash{\leftarrow}\vphantom{_{\vbox to.5ex{\vss}}}}$}} 2HI(g)\)Biểu thức nào sau đây mô tả giá trị của KC ?
A. \({K_C} = \frac{{{\rm{[}}2HI]}}{{{\rm{[}}{I_2}]{\rm{[}}{H_2}]}}\) B. \({K_C} = \frac{{{{{\rm{[}}HI]}^2}}}{{{\rm{[}}{I_2}]{\rm{[}}{H_2}]}}\) C. \({K_C} = \frac{{{{{\rm{[}}2HI]}^2}}}{{{\rm{[}}{I_2}]{\rm{[}}{{\rm{H}}_{\rm{2}}}{\rm{]}}}}\) D. \({K_C} = \sqrt {\frac{{{{{\rm{[}}HI]}^2}}}{{{\rm{[}}{H_2}]{\rm{[}}{I_2}]}}} \)
Phương pháp giải
Dựa vào biểu thức hằng số KC
Lời giải chi tiết
Đáp án B
Câu 2: Cho các phản ứng hóa học sau:
\(\begin{array}{l}(1){H_2}(g) + {I_2}(g) \mathbin{\lower.3ex\hbox{$\buildrel\textstyle\rightarrow\over{\smash{\leftarrow}\vphantom{_{\vbox to.5ex{\vss}}}}$}} 2HI(g)\\(2)2S{O_2}(g) + {O_2}(g) \mathbin{\lower.3ex\hbox{$\buildrel\textstyle\rightarrow\over{\smash{\leftarrow}\vphantom{_{\vbox to.5ex{\vss}}}}$}} 2S{O_3}(g)\\(3)2NO(g) + {O_2}(g) \mathbin{\lower.3ex\hbox{$\buildrel\textstyle\rightarrow\over{\smash{\leftarrow}\vphantom{_{\vbox to.5ex{\vss}}}}$}} 2N{O_2}(g)\\(4)C{O_2}(g) + {H_2}(g) \mathbin{\lower.3ex\hbox{$\buildrel\textstyle\rightarrow\over{\smash{\leftarrow}\vphantom{_{\vbox to.5ex{\vss}}}}$}} CO(g) + {H_2}O(g)\end{array}\)
Khi tăng áp suất, các cân bằng chuyển dịch theo chiều thuận là
A. (1), (2), (3) B. (2), (3) C. (1), (3), (4) D. (1), (2), (3), (4)
Phương pháp giải
Yếu tố áp suất ảnh hưởng đến cân bằng khi có sự chênh lệch số mol khí giữa chất tham gia và sản phẩm
Lời giải chi tiết
Đáp án B
Câu 3: Cho cân bằng hoá học:\(CO(g) + {H_2}O(g) \mathbin{\lower.3ex\hbox{$\buildrel\textstyle\rightarrow\over{\smash{\leftarrow}\vphantom{_{\vbox to.5ex{\vss}}}}$}} {H_2}(g) + C{O_2}(g)\) . Ở 427C, hằng số cân bằng KC = 8,3. Cho 1 mol khí CO và 1 mol hơi nước vào bình kín dung tích 10 lít và giữ ở 427C. Nồng độ CO2 ở trạng thái cân bằng:
A. 1,5M B. 0,074M C. 1M D. 0,83M
Phương pháp giải
Dựa vào hằng số cân bằng của phản ứng
Lời giải chi tiết
\({\rm{[}}CO] = \frac{1}{{10}} = 0,1M;{\rm{[}}{H_2}O] = \frac{1}{{10}} = 0,1M\]
Gọi nồng độ của CO2: x (M)
Tại cân bằng: [CO2] = [H2] = x (M); [CO] = 0,1 – x; [H2O] = 0,1 – x (M)
\(\begin{array}{l}{K_C} = \frac{{{\rm{[}}C{O_2}]{\rm{[}}{H_2}]}}{{{\rm{[}}CO]{\rm{[}}{H_2}O]}} = \frac{{x.x}}{{(0,1 – x).(0,1 – x)}} = 8,3\\x = 0,074M\end{array}\)
Đáp án B
Câu 4: Dãy nào dưới đây chỉ gồm chất điện li mạnh ?
A. HBr, Na2S, Mg(OH)2, Na2CO3 B. HNO3, H2SO4, KOH, K2SiO3
C. H2SO4, NaOH, NaCl, HF D. Ca(OH)2, KOH, CH3COOH, NaCl
Phương pháp giải
Chất điện li mạnh: acid mạnh, dung dịch base, dung dịch muối
Lời giải chi tiết
Đáp án B
Câu 5: Trong số các chất sau: HNO2, CH3COOH, KMnO4, C6H6, HCOOH, HCOOCH3, C6H12O6, C2H5OH, SO2, Cl2, NaClO, CH4, NaOH, H2S. Số chất thuộc loại chất điện li là
A. 7 B. 8 C. 9 D. 10
Phương pháp giải
Chất điện li là những chất có khả năng phân li ra ion trong nước
Lời giải chi tiết
HNO2, CH3COOH, KMnO4, HCOOH, NaClO, NaOH, H2S
Đáp án A
Câu 6: Aspirin là một loại thuốc có thành phần chính là acetylsalicylic acid. Nếu hào tan thuốc này vào nước, người ta xác định được pH của dung dịch tạo thành 2,8. Nồng độ OH– của dung dịch tạo thành là:
A. 10-2,8 B. 10-14 C. 10-11,2 D. 10-7
Phương pháp giải
[H+] = 10-pH
=> [OH–] = 10-14 : [H+]
Lời giải chi tiết
Vì PH = 2,8 => [H+] = 10-2,8 => [OH–] = 10-14 : 10-2,8 = 10-11,2
Câu 7: Cho phản ứng: \({H_2}S{O_4}(aq) + {H_2}O \to HS{O_4}^ – (aq) + {H_3}{O^ + }\)
Cặp acid – base liên hợp trong phản ứng trên là:
A. H2SO4 và HSO4– B. H2O và H3O+
C. H2SO4 và SO42-; H2O và OH– D. H2SO4 và HSO4–; H3O+ và H2O
Phương pháp giải
Base liên hợp là gốc acid sau khi phân li ra H+
Lời giải chi tiết
Đáp án D
Câu 8: Những phát biểu nào dưới đây là đúng?
(a) Để so sánh mức độ acid giữa các dung dịch có thể dựa vào nồng độ: dung dịch acid nào có nồng độ lớn hơn sẽ có tính acid mạnh hơn.
(b) Trong các dung dịch có cùng nồng độ, dung dịch nào có tính acid mạnh hơn sẽ có nồng độ ion H+ lớn hơn và pH lớn hơn.
(c) Trong các dung dịch có cùng nồng độ, dung dịch nào có nồng độ ion OH– lớn hơn và pH nhỏ hơn sẽ có tính base lớn hơn.
(d) Trong các dung dịch có cùng nồng độ, dung dịch nào có tính acid mạnh hơn sẽ có nồng độ ion H+ lớn hơn và pH nhỏ hơn.
(e) Trong các dung dịch có cùng nồng độ, dung dịch có nồng độ ion H+ nhỏ và pH cao sẽ có tính acid yếu hơn.
(g) Trong một dãy các dung dịch có cùng nồng độ được sắp xếp theo tính acid tăng dần thì nồng độ ion OH– sẽ giảm dần và Ka tăng dần.
A. 3 B. 4 D. 2 D. 5
Phương pháp giải
Dựa vào kiến thức về độ pH
Lời giải chi tiết
(a) sai vì để so sánh mức độ acid dựa vào nồng độ H+
(b) sai
(c) sai pH càng lớn tính base càng mạnh
(d) đúng
(e) đúng
(g) đúng
Đáp án A
Câu 9: Trong công nghiệp, ammonia được sản xuất theo phản ứng pha khí:
\({N_2}(g) + 3{H_2}(g) \mathbin{\lower.3ex\hbox{$\buildrel\textstyle\rightarrow\over{\smash{\leftarrow}\vphantom{_{\vbox to.5ex{\vss}}}}$}} 2N{H_3}(g)\)
Cho biết các giá trị năng lượng liên kết Eb (Kj.mol-1):
|
Liên kết
|
NN
|
H-H
|
N-H
|
|
Eb
|
945
|
436
|
386
|
Nhiệt của phản ứng trên là:
A. 1481 Kj B. – 1481 KJ C. 63 KJ D. – 63 KJ
Phương pháp giải
Dựa vào công thức: \(\Delta H = \sum {{E_{cd}}} – \sum {{E_{sp}}} \)
Lời giải chi tiết
\(\Delta H = {E_{N \equiv N}} + 3{E_{H – H}} – 6{E_{N – H}} = 945 + 6.436 – 6.386 = – 63\)kJ
Câu 10: Trong các nhận xét dưới đây về muối ammonium, nhận xét nào đúng?
A. Muối ammonium tồn tại dưới dạng tinh thể ion, phân tử gồm cation ammonium và anion hydroxide.
B. Tất cả muối ammonium đều dễ tan trong nước, khi tan điện li hoàn toàn thành cation ammonium và anion gốc acid.
C. Dung dịch muối ammonium phản ứng với dung dịch base đặc, nóng thoát ra chất khí làm quỳ tím ẩm hoá đỏ.
D. Khi nhiệt phân các muối ammonium luôn có khí NH3 thoát ra.
Phương pháp giải
Dựa vào tính chất vật lí của muối ammonium
Lời giải chi tiết
Đáp án B
Câu 11: Cho các phát biểu sau:
(1) Ammonia lỏng được dùng làm chất làm lạnh trong thiết bị lạnh.
(2) Để làm khô khí NH3 có lẫn hơi nước, có thể dẫn khí NH3 đi qua bình đựng dung dịch H2SO4 đặc.
(3) Khi cho quỳ tím ẩm vào lọ đựng khí NH3, quỳ tím chuyển thành màu đỏ.
(4) Nitrogen lỏng được dùng để bảo quản máu và các mẫu vật sinh học.
Có bao nhiêu phát biểu đúng?
A. 2. B. 3. C. 1. D. 4.
Lời giải chi tiết
(1) đúng
(2) sai vì NH3 tác dụng với H2SO4
(3) sai vì quỳ tím chuyển xanh
(4) đúng
Đáp án A
Câu 12: Cho cân bằng: \(2S{O_2}(g) + {O_2}(g) \mathbin{\lower.3ex\hbox{$\buildrel\textstyle\rightarrow\over{\smash{\leftarrow}\vphantom{_{\vbox to.5ex{\vss}}}}$}} 2S{O_3}(g)\)
Khi tăng nhiệt độ thì tỉ khối của hỗn hợp khí so với H2 giảm đi. Phát biểu đúng khi nói về cân bằng này
A. Phản ứng thuận thu nhiệt, cân bằng dịch chuyển theo chiều nghịch khi tăng nhiệt độ.
B. Phản ứng nghịch tỏa nhiệt, cân bằng dịch chuyển theo chiều thuận khi tăng nhiệt độ.
C. Phản ứng nghịch thu nhiệt, cân bằng dịch chuyển theo chiều thuận khi tăng nhiệt độ.
D. Phản ứng thuận tỏa nhiệt, cân bằng dịch chuyển theo chiều nghịch khi tăng nhiệt độ.
Phương pháp giải
Dựa vào tỉ khối của hỗn hợp khí so với H2 giảm đi => M hỗn hợp giảm => số mol khí tăng lên
Lời giải chi tiết
Số mol khí tăng lên cân bằng chuyển dịch theo chiều nghịch
Câu 13: Ở nhiệt độ thường, khí N2 khá trơ về mặt hóa học. Nguyên nhân là do:
A. trong phân tử N2 có liên kết ba rất bền.
B. trong phân tử N2, mỗi nguyên tử nitrogen còn 1 cặp electron chưa tham gia liên kết..
C. nguyên tử nitrogen có độ âm điện kém hơn oxygen.
D. nguyên tử nitrogen có bán kính nhỏ.
Lời giải chi tiết
Phân tử nitrogen gồm hai nguyên tử liên kết với nhau bởi một liên kết ba. Phân tử nitrogen có năng lượng liên kết lớn (945 kJ/mol) và không có cực => Rất bền và trơ về mặt hóa học
Câu 14: Người ta sản xuất khi nitrogen trong công nghiệp bằng cách nào sau đây?
A. Chưng cất phân đoạn không khí lỏng.
B. Nhiệt phân dung dịch NH4NO2 bão hoà.
C. Dùng phosphorus để đốt cháy hết oxygen không khí.
D. Cho không khí đi qua bột Cu nung nóng.
Lời giải chi tiết
Đáp án A
Câu 15: Tìm câu SAI trong các phát biểu sau?
A. Nitrogen chỉ có số oxi hóa âm trong những hợp chất với hai nguyên tố O và F.
B. Nguyên tử nitrogen có 5 electron ở lớp ngoài cùng.
C. Nguyên tử nitrogen có 3 electron độc thân.
D. Nguyên tử nitrogen có khả năng tạo ra ba liên kết cộng hóa trị với nguyên tố khác.
Lời giải chi tiết
Nitrogen có số oxi hóa âm với hydrogen
Đáp án A
II.Tự luận
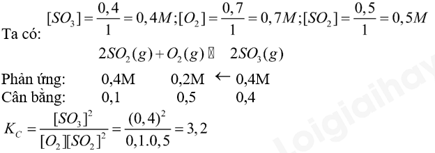
Câu 1: Cho 0,5 mol SO2 và 0,7 mol O2 vào một bình kín dung tích 1 lít được giữ ở nhiệt độ không đổi. Phản ứng trong bình xảy ra như sau: \(2S{O_2}(g) + {O_2}(g) \mathbin{\lower.3ex\hbox{$\buildrel\textstyle\rightarrow\over{\smash{\leftarrow}\vphantom{_{\vbox to.5ex{\vss}}}}$}} 2S{O_3}(g)\)
Khi phản ứng đạt đến trạng thái cân bằng, lượng SO3 trong bình là 0,4 mol. Tính hằng số cân bằng KC của phản ứng tổng hợp SO3 ở nhiệt độ trên
Lời giải chi tiết

Câu 2: Quá trình gây mưa acid được hình thành từ phương trình:
4NO2 + O2 + 2H2O\( \to \)4HNO3
Lấy V lít hỗn hợp khí NO2 và O2 vào bình chứa 1 lít nước thu được dung dịch X. Để xác định nồng độ của dung dịch X, người ta lấy 5ml dung dịch X đem chuẩn độ bằng dung 10ml dung dịch NaOH 0,1M. Tính V (lít) hỗn hợp khí.
Lời giải chi tiết
