2. B, Kết nối

Tính giá trị của các biểu thức sau: So sánh các hỗn số:

Lựa chọn câu để xem lời giải nhanh hơn

Câu 7

Tính giá trị của các biểu thức sau:

Phương pháp giải:

Với biểu thức có dấu ngoặc ta thực hiện phép tính trong ngoặc trước.

Lời giải chi tiết:

Câu 8

So sánh các hỗn số:

 

Phương pháp giải:

Cách 1: Chuyển hỗn số về phân số: để so sánh hai hỗn số, ta chuyển hai hỗn số về dạng phân số rồi so sánh hai phân số vừa chuyển đổi.

Cách 2: Khi so sánh hai hỗn số:

– Hỗn số nào có phần nguyên lớn hơn thì hỗn số đó lớn hơn

– Nếu hai phần nguyên bằng nhau thì ta so sánh phần phân số, hỗn số nào có phần phân số lớn hơn thì hỗn số đó lớn hơn.

Lời giải chi tiết:

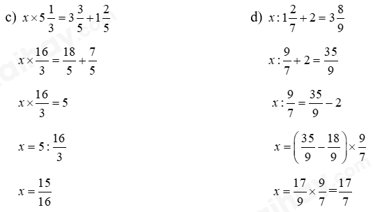
Câu 9

Tìm x, biết:

 

Phương pháp giải:

– Thực hiện tính vế phải

– Tìm x theo quy tắc:

+ Muốn tìm số bị trừ ta lấy hiệu cộng với số trừ.

+ Muốn tìm thừa số chưa biết ta lấy tích chia cho thừa số đã biết.

+ Muốn tìm số bị chia ta lấy thương nhân với số chia.

Lời giải chi tiết:

Câu 10

Một cửa hàng bán hết số gạo trong ba ngày. Ngày thứ nhất bán $\frac{1}{5}$số gạo, ngày thứ hai bán hết $\frac{2}{3}$số gạo. Biết số gạo bán trong ngày thứ ba là 66kg. Hỏi cửa hàng đó đã bán được bao nhiêu ki-lô-gam gạo trong ba ngày?

Phương pháp giải:

– Số phần gạo bán trong ngày thứ ba = 1 – (Số  phần gạo bán ngày thứ nhất – Số phần gạo bán ngày thứ hai)

Số ki-lô-gam gạo trong ba ngày cửa hàng đó bán được = 66 :  Số phần gạo bán trong ngày thứ ba

Lời giải chi tiết:

Tóm tắt

Ngày thứ nhất: $\frac{1}{5}$số gạo

Ngày thứ hai: $\frac{2}{3}$số gạo

Ngày thứ ba: 66kg

Ba ngày: ? kg

Bài giải

Phân số chỉ số gạo bán trong ngày thứ ba là:

$1 – (\frac{1}{5} + \frac{2}{3}) = \frac{2}{{15}}$ (số gạo)

Số gạo cửa hàng đó bán được trong ba ngày là:

$66:\frac{2}{{15}} = 495\,(kg)$

Đáp số: 495 kg

Câu 11

Viết các số đo độ dài sau dưới dạng hỗn số:

5m 4cm = ……………………. m                             

6cm 8mm = …………………. cm

9m 5dm = ……………………. m                             

6km 90dam = ………………. km

15hm 6dam = ………………. hm

Phương pháp giải:

Áp dụng các cách đổi:

1m = 100cm  ;  1cm = 10mm

1m = 10dm  ;  1km = 100dam

1hm = 10dam

Lời giải chi tiết:

Câu 12

Tính bằng cách thuận tiện:

Phương pháp giải:

Áp dụng các tính chất nhân một số với một tổng, tính chất kết hợp để tính giá trị của biểu thức một cách thuận tiện.

Lời giải chi tiết:

Câu 13

Câu lạc bộ Toán học lúc đầu có 34 bạn tham gia, sau đó có thêm 6 bạn nam và 5 bạn nữ gia nhập nên lúc này số bạn nam bằng $\frac{2}{3}$số bạn nữ. Hỏi lúc đầu Câu lạc bộ có bao nhiêu bạn nam, bao nhiêu bạn nữ?

Phương pháp giải:

– Số bạn tham gia Câu lạc bộ = Số bạn tham gia lúc đầu + Số bạn nam và nữ gia nhập sau

– Tính tổng số phần bằng nhau

Giá trị 1 phần = tổng số bạn tham gia câu lạc bộ  tổng số phần

Số bạn nam lúc đầu = Giá trị 1 phần x số phần của bạn nam – số bạn gia nhập sau

Số bạn nữ lúc đầu = Giá trị 1 phần x số phần của bạn nữ – số bạn gia nhập sau

Lời giải chi tiết:

Sau khi gia nhập thêm, số bạn tham gia Câu lạc bộ Toán là:
      34 + 6 + 5 = 45 (bạn)

Gọi số nam là 2 phần, số nữ là 3 phần.

 Tổng số phần bằng nhau là:

 2 + 3 = 5 (phần)

Giá trị 1 phần là:

45 : 5 = 9 (bạn)

Số bạn nam lúc đầu là:

9 x 2 – 6 = 12 (bạn)

Số bạn nữ lúc đầu là:

9 x 3 – 5 = 22 (bạn)

Đáp số: Bạn nam: 12

          Bạn nữ: 22

TẢI APP ĐỂ XEM OFFLINE