Trả lời câu hỏi Bài 5 trang 81 Toán 9 Tập 2

Hãy chứng minh định lý trên.

Đề bài

Hãy chứng minh định lý trên.

Video hướng dẫn giải

Phương pháp giải – Xem chi tiết

Sử dụng:

+ Số đo góc nội tiếp bằng nửa số đo cung bị chắn

+ Góc ngoài của tam giác bằng tổng hai góc trong không kề với nó.

Vui lòng nhập mật khẩu để tiếp tục

test321

Lời giải chi tiết

Xét đường tròn \((O)\) có 

\(\widehat {BDC} = \dfrac{1}{2} \overparen{BnC}\) (góc nội tiếp chắn cung \(BnC\)) 

\(\widehat {DBA} = \dfrac{1}{2} \overparen{DmA}\) (góc nội tiếp chắn cung \(DmA\))

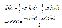
\(\widehat {BEC} = \widehat {BDC} + \widehat {DBA}\) (góc ngoài của tam giác BDE) 

Do đó

TẢI APP ĐỂ XEM OFFLINE