Lý thuyết Glucozơ

1. Cacbonhiđrat là những hợp chất hữu cơ phức tạp…

CACBONHIĐRAT là những hợp chất hữu cơ tạp chức và thường có công thức chung là Cn(H2O)m

Cacbonhiđrat được chia làm 3 nhóm chủ yếu:

– Monosaccarit (glucozơ, frutcozơ).

– Đissaccarit (saccarozơ, mantozơ). 

– Polisaccarit (tinh bột, xenlulozơ).

GLUCOZO

I. TÍNH CHẤT VẬT LÍ, TRẠNG THÁI TỰ NHIÊN

– Là chất rắn, tinh thể không màu, dễ tan trong nước, có vị ngọt ( nhưng không ngọt bằng đường mía).

– Có nhiều trong nho chín nên còn được gọi là đường nho

– Có mặt trong cơ thể người và động vật; Trong máu người có một lượng nhỏ glucozo với nồng độ không đổi khoảng 0,1%

II. CẤU TRÚC PHÂN TỬ

CTPT: C6H12O6

– Dạng mạch hở: CH2OH–CHOH–CHOH–CHOH–CHOH–CH=O

=> Ở dạng mạch hở, phân tử Glucozo có chứa 5 gốc hidroxyl (-OH)1 gốc andehit (-CHO)

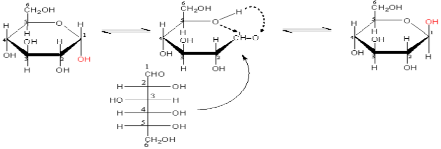
– Dạng mạch vòng: Tồn tại ở dạng a – glucozơb – glucozơ

    Nhóm –OH ở C5 cộng vào nhóm >C=O tạo ra hai dạng vòng 6 cạnh α và β:


   + Nếu nhóm –OH đính với C1 nằm dưới mặt phẳng của vòng 6 cạnh là α-, ngược lại nằm trên mặt phẳng của vòng 6 cạnh là β–

Vui lòng nhập mật khẩu để tiếp tục

test321

=> Trong dung dịch glucozo tổn tại chủ yếu ở dạng mạch vòng (b – glucozơ > a – glucozơ)

III. TÍNH CHẤT HÓA HỌC

Glucozo có tính chất của ancol đa chức và andehit

1. Tính chất của ancol đa chức:

 a) Tác dụng với Cu(OH)2

Trong dung dịch, ở nhiệt độ thường glucozơ hòa tan Cu(OH)2 cho dung dịch phức đồng- glucozơ có màu xanh lam:

2C6H12O6  + Cu(OH)2   →   (C6H11O6)2Cu  + 2H2O

                                             phức đồng – glucozơ

b) Phản ứng tạo este:

C6H7O(OH)5 + 5(CH3CO)2O → C6H7O(OOCCH3)5 + 5CH3COOH

=> Phản ứng tỏ glucozo có chứa 5 gốc -OH

2. Tính chất của anđehit:

a) Oxi hóa glucozo:

* Phản ứng tráng bạc:

CH2OH[CHOH]4CHO  + 2[Ag(NH3)2]OH  → CH2OH[CHOH]4COONH4  +  2Ag¯ + 3NH3 + H2O

=> Glucozo tác dụng với AgNO3/NH3 với tỉ lệ 1:2 cho sinh ra 2Ag.

 * Phản ứng Cu(OH)2/OH-

CH2OH[CHOH]4CHO  + 2Cu(OH)2 + NaOH → CH2OH[CHOH]4COONa + Cu2O + 2H2O

* Phản ứng với dung dịch Brom

CH2OH[CHOH]4CHO  + Br2 + 2H2O → CH2OH[CHOH]4COOH + 2HBr

b) Phản ứng khử glucozo:

Khi dẫn khí hiđro vào dung dịch glucozơ đun nóng (xúc tác Ni), thu được một poliancol có tên là sobitol :

CH2OH[CHOH]4CHO  +  H2 .\(\xrightarrow{Ni,\,\,{{t}^{o}}}\).   CH2OH[CHOH]4CH2OH   

  => Sản phẩm thu được là sobitol

c) Phản ứng lên men rượu: 

C6H12O6  \(\xrightarrow[{30 – {{35}^o}C}]{{enzim}}\)  2C2H5OH + 2CO2

IV. ĐIỀU CHẾ VÀ ỨNG DỤNG

1. Điều chế:

Phương pháp: Thủy phân tinh bột hoặc xenlulozo trong môi trường axit:

(C6H10O5)n         +      nHO   \(\xrightarrow{{{H}^{+}},\,{{t}^{o}}}\)  nC6H12O6 

tinh bột hoặc xenlulozơ

2. Ứng dụng:

– Dùng trong dược phẩm (thuốc tăng lực,…)

– Tráng gương, tráng ruột phích, là sản phẩm trung gian trong sản xuất ancol etylic.

FRUCTOZO

– Có cấu tạo mạch hở là:\(\mathop {C{H_2}OH}\limits^6  – \mathop {CHOH}\limits^5  – \mathop {CHOH}\limits^4  – \mathop {CHOH}\limits^3  – \mathop {CO}\limits^2  – \mathop {C{H_2}OH}\limits^1 \)

– Là chất kết tinh, không màu, dễ tan trong nước, ngọt hơn đường mía, đặc biệt trong mật ong có tới 40% fructozo

* Tính chất hóa học:

+ Tác dụng với Cu(OH)2 tạo phức xanh lam, cộng hidro

+ Trong môi trường bazo, fructozo chuyển thành glucozo. Khi đó fructozo cũng bị oxi hóa bởi dung dịch AgNO3/NH3 và Cu(OH)2/OH

Fructozo \(\overset {O{H^ – }} \leftrightarrows \) Glucozo

Lưu ý: Fructozo không làm mất màu được nước Brom

Sơ đồ tư duy: Glucozơ

Sachgiaihay.com

TẢI APP ĐỂ XEM OFFLINE