Bài 4 trang 75 Tài liệu dạy – học Toán 9 tập 1

Giải bài tập Cho hình thang ABCD có chiều dài hai đáy AB và CD lần lượt là 9 cm và 30 cm, chiều dài hai

Đề bài

Cho hình thang ABCD có chiều dài hai đáy AB và CD lần lượt là 9 cm và 30 cm, chiều dài hai cạnh bên AD và BC lần lượt là 13 cm và 20 cm. Tính diện tích hình thang.

Phương pháp giải – Xem chi tiết

Sử dụng công thức tính diện tích hình thang khi biết 4 cạnh: Hình thang đáy lớn, đáy nhỏ, hai cạnh bên lần lượt là P, Q, R, S thì diện tích hình thang đó là:

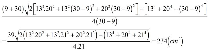
\(\dfrac{{\left( {P + Q} \right)\sqrt {2\left[ {{R^2}{S^2} + {R^2}{{\left( {P – Q} \right)}^2} + {S^2}{{\left( {P – Q} \right)}^2}} \right] – \left[ {{R^4} + {S^4} + {{\left( {P – Q} \right)}^4}} \right]} }}{{4\left( {P – Q} \right)}}\)

Lời giải chi tiết

Vui lòng nhập mật khẩu để tiếp tục

test321

Diện tích hình thang đó là:

Sachgiaihay.com

TẢI APP ĐỂ XEM OFFLINE

CHƯƠNG I: HỆ THỨC LƯỢNG TRONG TAM GIÁC VUÔNG