Bài 16 trang 191 SGK Giải tích 12 Nâng cao

Đố vui. Trong mặt phẳng phức cho các điểm: O (gốc tọa độ), A biểu diễn số 1, B biểu diễn số phức z không thực, A' biểu diễn số phức z'…

Đề bài

Đố vui. Trong mặt phẳng phức cho các điểm: O (gốc tọa độ), A biểu diễn  số 1, B biểu diễn số phức z không thực, A’ biểu diễn số phức \(z’\ne 0\) và B’ biểu diễn số phức zz’.

Hai tam giác OAB, OA’B’ có phải là hai tam giác dồng dạng không?

Phương pháp giải – Xem chi tiết

Hai tam giác đồng dạng nếu có các cặp cạnh tương ứng tỉ lệ.

Lời giải chi tiết

Vui lòng nhập mật khẩu để tiếp tục

test321

Do z không phải là số thực nên các điểm O, A, B theo thứ tự biểu diễn các số 0, 1, z là các đỉnh của một tam giác.

Với \(z’\ne 0\), xét các điểm A’, B’ theo thứ tự biểu diễn các số z’, zz’ thì ta có: 

\({{OA’} \over {OA}} = {{|z’|} \over 1} = |z’|;\) \({{OB’} \over {OB}} = {{|zz’|} \over {|z|}} = |z’|,\) \({{A’B’} \over {AB}} = {{|zz’ – z’|} \over {|z – 1|}} = |z’|\)

\(\dfrac{{OA’}}{{OA}} = \dfrac{{OB’}}{{OB}} = \dfrac{{A’B’}}{{AB}} = \left| {z’} \right| \ne 0\)

Vậy tam giác OA’B’ đồng dạng với tam giác OAB (tỉ số đồng dạng bằng |z’|).

Cách khác:

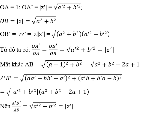
Gọi z=a+bi (ab ≠ 0) z’=a’+b’ i(a’ b’ ≠ 0)

Suy ra zz’ = (aa’ – bb’) (a’b +b’a)i

Ta có:

Do đó:

\(\dfrac{{OA’}}{{OA}} = \dfrac{{OB’}}{{OB}} = \dfrac{{A’B’}}{{AB}} = \left| {z’} \right| \ne 0\)

Vậy tam giác OAB đồng dạng với tam giác OA’B’.

  Sachgiaihay.com

TẢI APP ĐỂ XEM OFFLINE

GIẢI TÍCH – TOÁN 12 NÂNG CAO