Lựa chọn câu để xem lời giải nhanh hơn
CH tr 35 3.1
Một người tác dụng một lực có độ lớn không đổi F lên một vật. Trong khoảng thời gian chịu tác dụng của lực F vật đó bị dời chỗ so với vị trí ban đầu một đoạn thẳng có độ dài s. Nhận xét nào sau đây là chính xác nhất?
A. Người đó đã thực hiện một công A = Fs lên vật
B. Người đó nhận công A’ = Fs từ vật
C. Công mà người đó thực hiện lên vật có giá trị cực đại là Am = Fs.
D. Công của lực F không thẻ mang đầu âm.
Phương pháp giải:
Ta có biểu thức tính công: A = Fscos α ≤ Fs
Lời giải chi tiết:
Đáp án C.
CH tr 35 3.2
Nhận xét nào sau đây là đúng về công?
A. Công là đại lượng vô hướng
B. Giá trị của công không phụ thuộc vào người quan sát.
C. Công là đại lượng có hướng.
D. Công là đại lượng vô hướng và luôn dương.
Phương pháp giải:
Công là đại lượng vô hướng, có thể dương, âm hoặc bằng không.
Lời giải chi tiết:
Đáp án A.
CH tr 35 3.3
Tính công của một người đã thực hiện khi nâng một vật có khối lượng 20,0 kg từ mặt đất lên độ cao 1,2 m.
Phương pháp giải:
Tính theo công thức tính công: A = mgh
Lời giải chi tiết:
Công của người thực hiện nâng vật là:
A ≥ mgh = 20,0 kg x 9,8 m/s2 x 1,2 m = 235,2 J
CH tr 35 3.4
Một lò sưởi điện có công suất 2,5 kW hoạt động trong khoảng thời gian từ 20h00 đến 24h00. Lò sưởi đã sử dụng bao nhiêu năng lượng điện?
Phương pháp giải:
Tính theo công thức: E = Pt
Lời giải chi tiết:
Năng lượng điện mà lò sưởi đã sử dụng là:
E = Pt = 2,5 kw x 4 h = 10 kWh
Đổi 10kWh = 3,6 . 106 J
CH tr 36 3.5
Một ô tô có khối lượng m = 1,30 . 103 kg di chuyển trên đoạn đường ABCD có dạng như hình 3.1, trong đó BC là đoạn đường nằm ngang ở độ cao h = 50,0 m so với mặt phẳng nằm ngang chứa AD. Biết rằng BC = 20 km, gia tốc rơi tự do g = 9,80 m/s2, độ dài các cung cong nối các đoạn đường thẳng với nhau rất nhỏ so với chiều dài của các đoạn thẳng đó, hãy tính công của trọng lực trên các đoạn đường AB, BC, CD.

Phương pháp giải:
Tính theo công thức tính công: A = mgh
Lời giải chi tiết:
Công của trọng lực trên các đoạn đường là:
AAB = -mgh = – 1,30 . 103 kg x 9,80 m/s2 x 50,0 = – 637 kJ;
ABC = 0;
ACD = ngh = 637 kJ.
CH tr 36 3.6
Một chiếc xe với khối lượng m = 10,0 tấn, chuyển động trên mặt đường nằm ngang với vận tốc không đối v = 40,0 km/h. Biết gia tốc rơi tự do g = 9,80 m/s2.
a) Tính lực mà mặt đường tác dụng lên xe.
b) Tính công của lực mà mặt đường tác dụng lên xe.
Phương pháp giải:
Tính theo công thức: F = mg
Lời giải chi tiết:
a) Vì gia tốc của xe bằng nên lực mà mặt đường tác dụng lên xe cân bằng với trọng lượng của xe.
F = mg = 98,0 kN
Chiều hướng thẳng đứng lên trên.
b) Vì lực mà mặt đường tác dụng lên xe vuông góc với phương chuyển động của xe nên công của lực mà mặt đường tác dụng lên xe bằng không.
A = 0
CH tr 36 3.7
Trong giai đoạn gần tiếp đất, một giọt nước mưa có khối lượng m = 65,5 mg chuyển động thẳng đều với tốc độ v = 9,00 m/s. Biết rằng gia tốc rơi tự do hầu như không phụ thuộc vào độ cao và có giá trị g = 9,80 m/s2. Tính công của trọng lực và công của lực cản thực hiện lên giọt nước mưa nói trên trong giai đoạn nó rơi từ độ cao h = 10,0 m xuống mặt đất, giả sử trong giai đoạn này khối lượng và hình dạng của giọt nước mưa đang xét hầu như không thay đổi.
Phương pháp giải:
Tính theo công thức tính công: A = mgh
Lời giải chi tiết:
Công của trọng lực: AF = mgh = 6,42 mJ
Vì giọt nước mưa chuyển động thẳng đều nên theo định luật III Newton, ta có lực cản cân bằng với trọng lượng của vật.
Công của lực cản: AC = -Fch = – mgh = -6,42 mJ
CH tr 36 3.8
Một người dùng lực F hợp với phương nằm ngang một góc α = 60,0o để kéo vật có khối lượng m = 50,0 kg trượt trên mặt sàn nằm ngang một đoạn thẳng có độ dài s = 10,0 m với tốc độ không đổi. Biết hệ số ma sát giữa vật và mặt sàn là µ = 0,250; thành phần thẳng đứng của lực F hướng từ dưới lên trên, gia tốc rơi tự do g = 9,80 m/s2. Tính:
a) Công của trọng lực
b) Công của lực F
c) Công của lực ma sát
Phương pháp giải:
Tính theo công thức tính công của lực: AF = Fs cosα
Công của lực ma sát: Ams = – µ(mg – Fsinα)s
Lời giải chi tiết:
a) Công của trọng lực: AF = 0
b) Vì vật chuyển động thẳng đều nên độ lớn của lực ma sát bằng độ lớn của thành phần nằm ngang của lực F


Công của lực F:

c) Công của lực ma sát:

CH tr 36 3.9
Một người dùng lực F hợp với phương nằm ngang một góc α = 30,0o để đẩy vật có khối lượng m = 50,0 kg trượt trên mặt sàn nằm ngang một đoạn thẳng có độ dài s = 15,0 m với vận tốc không đổi. Biết hệ số ma sát giữa vật và mặt sàn là µ = 0,30, thành phần thẳng đứng của F hướng từ trên xuống dưới, gia tốc rơi tự do g = 9,80 m/s2. Tính:
a) Công của trọng lực
b) Công của lực F
c) Công của lực ma sát
Lời giải chi tiết:
a) Công của trọng lực: AF = 0
b) Vì vật chuyển động thẳng đều nên độ lớn của lực ma sát bằng độ lớn của thành phần nằm ngang của lực F

Công của lực F:

c) Công của lực ma sát:

CH tr 37 3.10
Một ô tô có khối lượng m = 3,50 tấn đi hết một con dốc có chiều dài s = 100 m trong khoảng thời gian t = 10,0 s với tốc độ không đổi. Biết rằng con dốc là một đoạn đường thẳng hợp với mặt phẳng nằm ngang một góc α = 30,0o và gia tốc rơi tự do là g = 9,80 m/s2. Tính công và công suất của trọng lực trong các trường hợp
a) Ô tô đi lên dốc
b) Ô tô đi xuống dốc
Lời giải chi tiết:
a) Công và công suất của trọng lực khi ô tô lên dốc:
A1 = -mgs sinα = -1,72 MJ
P1 = A1/t = -172 kW
b) Công và công suất của trọng lực khi ô tô xuống dốc:
A2 = mgs sinα = 1,72 MJ
P2 = A2/t = 172 kW
CH tr 37 3.11
Một vật có khối lượng m = 300 g được ném lên từ mặt đất với tốc độ ban đầu vo = 19,6 m/s theo hướng hợp với mặt đất nằm ngang một góc α = 30,0o. Bỏ qua lực cản của không khí, gia tốc rơi tự do g = 9,80 m/s2. Tính công suất của trọng lực thực hiện lên vật
a) tại thời điểm t = 0
b) tại thời điểm vật đạt độ cao cực đại
c) tại thời điểm vật chạm đất
Phương pháp giải:
Tính theo công thức tính công suất P = – mgvo sinα
Lời giải chi tiết:
Công suất của trọng lực:
Pg = = – mgvy = – mg(vo sinα – gt)
a) Tại t = 0
P = – mgvo sinα = – 28,8 W
b) Khi vật đạt độ cao cực đại, vy = 0 nên Pghmax = 0
c) Độ cao của vật tại thời điểm t
y = vo (sinα)t – 1/2 gt2
Vật chạm đất khi t = 2vo sinα/g; lúc đó công suất của trọng lực tác dụng lên vật:
Pg = mgvo sinα = 28,8 W
CH tr 37 3.12
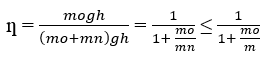
Để múc nước từ dưới giếng lên bể người ta dùng một chiếc gầu có khối lượng mo = 500 g. Để di chuyển ổn định (nước trong gầu không bị thất thoát ra ngoài trong quá trình kéo nước từ giếng lên bể) gầu đựng được một lượng nước có khối lượng tối đa m = 4,50 kg. Biết rằng khối lượng của dây gầu không đáng kể, mặt nước trong giếng cách mặt bể một khoảng h = 5,00 m, gia tốc rơi tự do g = 9,80 m/s2. Trong các quá trình dùng gầu để đưa nước từ giếng lên bể.
a) Tính công toàn phần tối thiểu để đưa được M = 9,00 kg nước từ giếng lên bể.
b) Tính hiệu suất cực đại của quá trình múc nước.
c) Trong một lần đưa đầy gầu nước (gầu chứa 4,50 kg nước) từ giếng lên bể, người múc nước dùng lực có độ lớn F = 60,0 N để kéo gầu, tính công toàn phần và hiệu suất của lần múc nước này.
Phương pháp giải:
Sử dụng công thức tính công toàn phần: Atp = M/m (m + mo)gh
Công thức tính hiệu suất: ƞ = mgh/Fh
Lời giải chi tiết:
a) Công toàn phần tối thiểu để đưa nước lên là:

b) Hiệu suất của quá trình múc nước:

Hiệu suất cực đại của quá trình múc nước:

c) Công toàn phần của quá trình múc nước với lực kéo F:
AFtp = Fh = 300 J
Hiệu suất của quá trình múc nước này là:

CH tr 37 3.13
Khi tăng tốc độ một vật từ tốc độ v lên tốc độ 2v, động năng của nó
A. tăng lên 2 lần B. tăng lên 4 lần
C. giảm đi 2 lần D. giảm đi 4 lần
Phương pháp giải:
Động năng tỉ lệ với bình phương của tốc độ.
Khi tốc độ tăng lên 2 lần thì động năng tăng lên 4 lần.
Lời giải chi tiết:
Đáp án B.
CH tr 37 3.14
Nhận xét nào sau đây là đúng về thế năng?
A. Độ biến thiên thế năng phụ thuộc vào mốc tính thế năng.
B. Giá trị của thế năng không phụ thuốc vào mốc tính thế năng.
C. Độ biến thiên thế năng không phụ thuộc vào mốc tính thế năng.
D. Giá trị của thế năng và độ biến thiến thế năng đều phụ thuộc vào mốc tính thế năng.
Phương pháp giải:
Thế năng phụ thuộc vào mốc tính thế năng.
Độ biến thiên thế năng không phụ thuộc vào mốc tính thế năng.
Lời giải chi tiết:
Đáp án C.
CH tr 38 3.15
Nhận xét nào sau đây là đúng nhất về cơ năng trong trọng trường?
A. Cơ năng là đại lượng vô hướng luôn dương.
B. Cơ năng là đại lượng vô hướng luôn âm.
C. Cơ năng là đại lượng có hướng.
D. Giá trị của cơ năng phụ thuộc vào cả vị trí và tốc độ của vật.
Phương pháp giải:
Cơ năng trong trọng trường là đại lượng vô hướng.
Cơ năng phụ thuộc vào cả vị trí và tốc độ của vật.
Lời giải chi tiết:
Đáp án D.
CH tr 38 3.16
Một vật khối lượng m = 30,0 kg được kéo từ mặt đất (được chọn làm gốc thế năng) lên đên một vị trí xác định có độ cao h = 40,0 m. Biết gia tốc rơi tự do là g = 9,80 m/s2.
a) Tính thế năng của vật khi ở mặt đất và khi ở độ cao h.
b) Lấy gốc thời gian là lúc ô tô ở chân dốc, tìm thời điểm thế năng của ô tô bằng Ɛ = 25,0% thế năng của nó tại đỉnh dốc.
c) Xác định công suất của động cơ ô tô biết rằng tỉ số giữa thế năng của ô tô với công mà động cơ của nó thực hiện là ƞ = 90,0%.
Lời giải chi tiết:
a. Thế năng của vật ở mặt đất (h = 0) là
W0 = mg.h = 0
Thế năng của vật ở độ cao h = 40 m là
Wh = mgh = 30.9,8 . 40 = 11760 J
b. Công mà vật nhận được chính là công truyền cho vật làm thay đổi thế năng từ W0 đến Wh, do đó:
A = Wh − W0 = mgh = 11760 J
CH tr 38 3.17
Một ô tô có khối lượng m = 1,20 tấn chuyển động lên trên một con dốc phẳng có độ dài S = 1,50 km với vận tốc v = 54,0 km/h. Chiều cao của đỉnh dốc so với mặt phẳng nằm ngang đi qua chân dốc (gốc thế năng nằm ở chân dốc) là h = 30,0 m. Biết gia tốc rơi tự do là g = 9,80 m/s2.
a) Tính thế năng của ô tô ở đỉnh con dốc.
b) Lấy gốc thời gian là lúc ô tô ở chân dốc, tìm thời điểm thế năng của ô tô bằng ε = 25,0% thế năng của nó tại đỉnh dốc.
c) Xác định công suất của động cơ ô tô biết rằng tỉ số giữa thế năng của ô tô với công mà động cơ của nó thực hiện là η = 90,0%.
Lời giải chi tiết:
a) Thế năng của ô tô khi nó ở đỉnh dốc:
Wth = mgh = 353 kJ
b) Ta có:

Trong đó h là độ cao từ ô tô (so với chân dốc) ở thời điểm t, St là quãng đường ô tô đi được trong khoảng thời gian:
t = εS/t = 25,0 s
c) Ta có:

Từ câu b, ta có: 
=> Công suất của động cơ ô tô:

CH tr 38 3.18
Một vật có khối lượng m = 1,00 kg được thả rơi không vận tốc ban đầu từ độ cao h = 10,0 m so với mặt đất nằm ngang. Vật dừng lại sau khi ngập sâu vào lòng đất một đoạn d = 30,0 cm theo phương thẳng đứng. Biết rằng gia tốc rơi tự do là g = 9,80 m/s2. Lấy gốc thế năng là mặt đất nằm ngang. Tính:
a) Thế năng cực tiểu của vật trong quá trình chuyển động.
b) Công mà mặt đất truyền cho vật
Phương pháp giải:
Sử dụng công thức: Wtmin = – mgd
Lời giải chi tiết:
a. Thế năng của vật đạt giá trị cực tiểu khi nó ở độ sâu cực đại, do đó:
Wtmin = −mgd = −1 . 9,8 . 30 . 10−2 = −2,94 J
b. Vì vật không sinh công lên không khí nên công mà vật thực hiện lên đất
A = Wt1 − Wt2 = mgh − (−mgd)
⇒ A = 1 . 9,8 (10 + 0,3) ≈ 101 J
Công mà đất truyền cho vật
A’ = – A = – 101 J
CH tr 39 3.19
Một vật nhỏ khối lượng m = 500 g được lồng vào một sợi cáp kim loại mảnh đã được uốn thành một đường cong như hình 3.2 qua một lỗ nhỏ trên vật. Khi người ta thả vật không vận tốc ban đầu từ điểm A cách mặt sàn nằm ngang một đoạn H = 1,20 m thì vật trượt dọc theo đường cong cho đến khi nó dừng lại tại điểm B cách mặt sàn nằm ngang một khoảng h = 80,0 m. Biết gia tốc rơi tự do là g = 9,80 m/s2.
a) Tính thế năng của vật tại A và B
b) Tính công mà sợi cáp kim loại tác dụng lên vật
Lời giải chi tiết:
Chọn mốc tính thế năng tại mặt sàn nằm ngang.
a. Thế năng của vật tại A và B
WtA = mgH = 0,5.9,8.1,2 = 5,88 J
WtB = mgh = 0,5.9,8.0,8 = 3,92 J
b. Công mà sợi cáp tác dụng lên vật là phần thế năng truyền vào vật khi nó chuyển động từ A đến B nên:
A = WtB – WtA = mg (h – H) = 0,5.9,8. (0,8 – 1,2) = – 1,96 J
Dấu “-” thể hiện năng lượng được truyền từ vật vào sợi cáp trong quá trình vật trượt từ A đến B.
CH tr 39 3.20
Tính động năng của các đối tượng sau:
a) Một giọt nước mưa có khối lượng m1 = 50,0 mg rơi với vận tốc v1 = 5,00 m/s
b) Một con rùa có khối lượng m2 = 3,50 kg đang bò với vận tốc v2 = 1,00 cm/s
c) Một viên đạn có khối lượng m3 = 5,00 kg đang bay với vận tốc v3 = 600 m/s
Phương pháp giải:
Sử dụng công thức: W = 1/2 mv2
Lời giải chi tiết:
a. Wđ1 = 1/2 m1v12 = 1/2 . 50 . 10−6 . 52 = 0,625 mJ
b. Wđ2 = 1/2 m2v22 = 1/2 . 3,5 . 0,012 = 0,175 mJ
c. Wđ3 = 1/2 m3v32 = 1/2 . 5. 6002 = 900000 J
CH tr 39 3.21
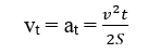
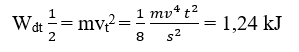
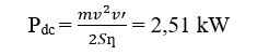
Một ô tô có khối lượng m = 1,25 tấn chuyển động nhanh dần đều từ trạng thái nghỉ cho đến khi đạt tốc độ v = 54,0 km/h thì chuyển động thẳng đều. Biết rằng trong quá trình tăng tốc ô tô đi được quãng đường có độ dài S = 800 m.
a) Tính động năng của ô tô trong giai đoạn nó chuyển động thẳng đều.
b) Tính động năng của ô tô ngay khi nó đã tăng tốc được một khoảng thời gian t = 10 s.
c) Tính động năng của ô tô ngay khi nó đã đi được quãng đường S’ = 200 m tính từ lúc bắt đầu xuất phát.
d) Tính công suất của động cơ ô tô khi nó có vận tốc v’ = 10,0 m/s biết rằng hiệu suất của động cơ ở vận tốc này là ƞ = 70%.
Lời giải chi tiết:
a) Động năng của ô tô ở giai đoạn nó chuyển động thẳng đều:
Wd0 = 1/2 mv2 = 141 kJ
b) Gia tốc của ô tô:
a = v2 /2S
=> Vận tốc của ô tô sau khoảng thời gian t:

=> Động năng ô tô sau khoảng thời gian t:

c) Vận tốc của ô tô khi nó đi được quãng đường S:

d) Công suất có ích mà ô tô nhận được để tăng tốc là:

Công suất của động cơ ô tô:

v2
CH tr 39 3.22
Một vật nhỏ có khối lượng m = 100 g được ném lên từ mặt đất với vận tốc ban đầu vo = 15,0 m/s theo hướng hợp với mặt đất nằm ngang một góc α = 60,0o. Bở qua sức cản của không khí, biết gia tốc rơi tự do là g = 9,80 m/s2.
a) Tính động năng ban đầu của vật.
b) Tính động năng cực tiểu của vật trong suốt quá trình chuyển động.
c) Động năng của vật tại thời điểm
là bao nhiêu?
d) Động năng của vật khi nó ở độ cao h là bao nhiêu?
Phương pháp giải:
Sử dụng công thức: W = 1/2 mv2
Lời giải chi tiết:
a) Động năng ban đầu của vật:
Wd0 = 1/2 mv2 = 11,3 J
b) Ta có:
Wđ = 1/2 m ((vo cosα)2 + (vo sinα – gt)2) ≥ 1/2 mvo2cos2α
Động năng cực tiểu của vật trong suốt quá trình chuyển động
Wđmm = 1/2 mvo2cos2α = 2,81 J
c) Động năng của vật tại thời điểm t

Hay Wdt = 11,3 J (1 – 1,13s-1t + 0,653s-2t2)
d) Động năng của vật ở độ cao h:
Wdt = 1/2 m ((vo cosα)2 + (vo sinα – gt)2)

CH tr 39 3.23
Một viên đạn có khối lượng m = 5,00 g đang bay với vận tốc vo = 800 m/s thì va chạm với một khúc gỗ có khối lượng M = 10,0 kg đang chuyển động với vận tốc v = 2,50 m/s. Sau va chạm viên đạn cắm chặt vào khúc gỗ, cả hệ đạn và khúc gỗ chuyển động với vận tốc V = 2,20 m/s. Tính:
a) Động năng ban đầu của viên đạn.
b) Động năng ban đầu của khúc gỗ
c) Công mà hệ đạn, khúc gỗ sinh ra trong quá trình đạn cắm vào khúc gỗ
Phương pháp giải:
Sử dụng công thức: W = 1/2 mv2
Lời giải chi tiết:
a) Động năng ban đầu của viên đạn:
Wd1 = 1/2 mvo2 = 1,60 kJ
b) Động năng ban đầu của khúc gỗ:
Wd2 = 1/2 mV2 = 31,3 J
c) Động năng của hệ đạn, khúc gỗ lúc đạn đã cắm chặt vào khúc gỗ là:
Wđ = 1/2 (m + M) v2 = 24,2 J
Công mà hệ đạn, khúc gỗ sinh ra do va chạm là phần năng lượng mà hệ này mất đi
A = Wd1 + Wd2 – Wd = 1 607 J
CH tr 40 3.24
Một vật có khối lượng m = 100 g được thả rơi tự cao H = 20,0 m so với mặt đất (được chọn làm mốc thế năng). Biết gia tốc rơi tự do g = 9,80 m/s2.
a) Tính cơ năng của vật.
b) Tính độ lớn vận tốc tiếp đất của vật.
c) Khi động năng của vật gấp ba lần thế năng của nó thì vật cách mặt đất một khoảng bằng bao nhiêu?
Phương pháp giải:
Sử dụng công thức: W = 1/2 mv2 = mgH
Lời giải chi tiết:
a) Cơ năng của vật:
W = mgH = 19,6 J
b) Áp dụng định luật bảo toàn cơ năng, ta có:

c) Ta có:
Wd = 3Wt => W = Wd + Wt = 4Wt
=> mgH = 4mgh
Khoảng cách giữa vật và mặt đất khi đó là:
h = H/4 = 5,00 m
CH tr 40 3.25
Một vật khối lượng m = 200 g được ném thẳng đứng lên trên với vận tốc ban đầu vo = 15,0 m/s từ một điểm có độ cao h = 20,0 m so với mặt đất nằm ngang (làm mốc thế năng). Biết rằng gia tốc rơi tự do tại nơi ném vật là g = 9,80 m/s2. Vật đạt độ cao cực đại so với mặt đất là H = 30,0 m và tiếp đất với vận tốc v = 22,0 m/s.
a) Tính cơ năng ban đầu của vật.
b) Tính cơ năng của vật khi nó đạt độ cao cực đại so với mặt đất và khi nó tiếp đất.
c) Tính công mà vật thực hiện lên không khí trong giai đoạn vật đi lên và trong giai đoạn vật rơi xuống.
Lời giải chi tiết:
a) Cơ năng ban đầu của vật:
Wo = 1/2 mvo2 + mgh = 61,7 J
b) Cơ năng của vật khi nó ở độ cao cực đại so với mặt đất
WH = mgH = 58,8 J
Cơ năng của vật lúc tiếp đất:
Wv = 1/2 mv2 = 48,4 J
Công mà vật thực hiện lên không khí bằng độ giảm cơ năng nên công mà vật truyền vào không khí trong các giai đoạn đi lên (A1) và đi xuống (A2) là:
A1 = Wo – WH = 2,9 J
A2 = WH – Wv = 10,4 J
CH tr 40 3.26
Động cơ xăng của ô tô có hiệu suất là 27%. Điều này có ý nghĩa là chỉ 27% năng lượng được lưu trữ trong nhiên liệu của ô tô được sử dụng để ô tô chuyển động (sinh công thẳng lực ma sát).
a) Biết một lít xăng dự trữ năng lượng 30MJ. Năng lượng trong một lít xăng mà ô tô sử dụng được để chuyển động là bao nhiêu MJ?
b) Một ô tô dùng 1 lít xăng đi được 7 km với vận tốc không đổi 10 m/s. Tính độ lớn lực ma sát tác dụng lên ô tô.
Lời giải chi tiết:
a) Năng lượng trong 1 lít xăng mà ô tô sử dụng được để chuyển động là:
W = 30 . 0,27 = 8,1 MJ;
b) Xe chuyển động với vận tốc không đổi nên công của lực ma sát có độ lớn bằng cong của lục phát động làm ô tô chuyển động và bằng chính năng lượng có ích nhưng có dấu (-):
AFms = Fms . v => Fms = 1,2 . 103 N