1. Bài 1. Chuyển động tròn

Đề bài

Câu 1 :

Chuyển động của vật nào dưới đây là chuyển động tròn đều?

  • A.

    Một con lắc đồng hồ.

  • B.

    Một mắt xích xe đạp.

  • C.
    Cái đầu van xe đạp đối với người ngồi trên xe, xe chạy đều.

  • D.

    Cái đầu van xe đạp đối với mặt đường, xe chạy đều.

Câu 2 :

Chuyển động tròn đều có

  • A.

    vectơ vận tốc không đổi.

  • B.
    tốc độ phụ thuộc vào bán kính quỹ đạo.

  • C.

    tốc độ góc phụ thuộc vào bán kính quỹ đạo.

  • D.

    chu kì tỉ lệ với thời gian chuyển động.

Câu 3 :

Một bánh xe đang quay đều, mỗi phút nó quay được 3000 vòng. Phát biểu nào sau đây sai khi nói về chuyển động của bánh xe?

  • A.

    Độ dịch chuyển góc của một điểm bất kì trên bánh xe (trừ những điểm thuộc trục quay) trong khoảng thời gian 0,01 giây bằng π radian.

  • B.

    Những điểm cách trục quay 10,0 cm thì có tốc độ 10π m/s.

  • C.
    Hai điểm bất kì trên bánh xe nếu cách nhau 20,0 cm thì có tốc độ hơn kém nhau một lượng 20π m/s.

  • D.

    Những điểm càng xa trục quay thì gia tốc hướng tâm càng lớn.

Câu 4 :

Công thức nào sau đây biểu diễn không đúng quan hệ giữa các đại lượng đặc trưng của một vật chuyển động tròn đều?

  • A.
    \(f = \frac{{2\pi r}}{v}\)

  • B.

    \(T = \frac{{2\pi r}}{v}\)

  • C.

    v=ωr

  • D.

    \(\omega  = \frac{{2\pi }}{T}\)

Câu 5 :

Chuyển động của vật nào dưới đây được coi là chuyển động tròn đều?

  • A.

    Chuyển động quay của bánh xe ô tô khi đang hãm phanh.

  • B.

    Chuyển động của một quả bóng đang lăn đều trên mặt sân.

  • C.
    Chuyển động quay của điểm treo các ghế ngồi trên chiếc đu quay đang quay đều.

  • D.

    Chuyển động quay của cánh quạt khi vừa tắt điện.

Câu 6 :

Chuyển động tròn đều là chuyển động

  • A.

    có quỹ đạo là đường tròn và góc quay được trong những khoảng thời gian bằng nhau là bằng nhau.

  • B.

    có quỹ đạo là đường tròn và độ dài cung tròn quay được trong những khoảng thời gian bằng nhau là bằng nhau

  • C.

    có quỹ đạo là đường tròn và có tốc độ không đổi.

  • D.
    Cả ba đáp án trên.

Câu 7 :

Chọn phát biểu đúng.

Trong các chuyển động tròn đều.

  • A.

    Chuyển động nào có chu kì quay nhỏ hơn thì tốc độ góc nhỏ hơn.

  • B.

    Chuyển động nào có chu kì quay lớn hơn thì tốc độ lớn hơn.

  • C.
    Chuyển động nào có tần số lớn hơn thì có chu kì quay nhỏ hơn.

  • D.

    Chuyển động nào có bán kính nhỏ hơn thì có tốc độ góc nhỏ hơn.

Câu 8 :

Phát biểu nào sau đây sai khi nói về một vật chuyển động tròn đều?

  • A.

    Quỹ đạo chuyển động là một đường tròn hoặc một phần của đường tròn.

  • B.

    Tốc độ của vật không đổi theo thời gian.

  • C.

    Với tốc độ xác định, bán kính quỹ đạo càng nhỏ thì phương của vận tốc biến đổi càng nhanh.

  • D.
    Với bán kính quỹ đạo xác định, nếu tốc độ tăng gấp đôi thì gia tốc hướng tâm cũng tăng gấp đôi.

Câu 9 :

Vecto vận tốc trong chuyển động tròn đều có đặc điểm:

  • A.

    phương tiếp tuyến với quỹ đạo của đường tròn.

  • B.

    chiều: theo chiều chuyển động của vật.

  • C.

    độ lớn không đổi v = R.ω.

  • D.

    cả ba đáp án trên

Câu 10 :

Trên mặt một chiếc đồng hồ treo tường, kim giờ dài 10 cm, kim phút dài 15 cm. Tốc độ góc của kim giờ và kim phút là

  • A.

    1,52.104 rad/s ; 1,82.103 rad/s.

  • B.

    1,45.104 rad/s ; 1,74.103 rad/s.

  • C.

    1,54.104 rad/s ; 1,91.103 rad/s.

  • D.

    1,48.104 rad/s ; 1,78.103 rad/s.

Câu 11 :

Một vệ tinh nhân tạo chuyển động tròn đều quanh Trái Đất thì lực nào đóng vai trò lực hướng tâm.

  • A.

    Lực hấp dẫn giữa Trái Đất và vệ tinh.

  • B.

    Lực cản của không khí.

  • C.

    Lực đẩy Acsimet của không khí.

  • D.

    Lực hấp dẫn giữa Trái Đất và Mặt Trăng.

Câu 12 :

Chọn đáp án đúng khi nói về vectơ gia tốc của vật chuyển động tròn đều.

  • A.

    Có độ lớn bằng 0.

  • B.

    Giống nhau tại mọi điểm trên quỹ đạo.

  • C.

    Luôn cùng hướng với vectơ vận tốc.

  • D.

    Luôn vuông góc với vectơ vận tốc.

Câu 13 :

Một vật khối lượng m đặt trên đĩa quay đều với vận tốc góc ω. Vật đã vạch nên đường tròn bán kính R. Vật đã chuyển động tròn đều nên lực đóng vai trò lực hướng tâm là:

  • A.

    Trọng lực.

  • B.

    Phản lực của đĩa.

  • C.

    Lực ma sát nghỉ.

  • D.

    Hợp lực của 3 lực trên.

Câu 14 :

Chuyển động của Trái Đất quanh Mặt Trời có thể xem như là chuyển động tròn đều vì

  • A.

    lực hấp dẫn giữa Trái Đất và Mặt Trời có độ lớn đáng kể.

  • B.

    lực hấp dẫn giữa Trái Đất và Mặt Trời có độ lớn rất nhỏ.

  • C.

    lực hấp dẫn giữa Trái Đất và Mặt Trời là lực hướng tâm, có độ lớn không đổi.

  • D.

    vectơ vận tốc của Trái Đất luôn không đổi.

Câu 15 :

Một vật chuyển động theo đường tròn bán kính r=10cm với gia tốc hướng tâm 4 cm/s2. Chu kỳ T của chuyển động vật đó là

  • A.

    8π s  

  • B.

    6π s  

  • C.

    12π s

  • D.

    10π s

Câu 16 :

Một tài xế điều khiển một ôtô có khối lượng 1000 kg chuyển động quanh vòng tròn có bán kính 100 m nằm trên một mặt phẳng nằm ngang với vận tốc có độ lớn là 10 m/s. Lực ma sát nghỉ cực đại giữa lốp xe và mặt đường là 900 N. Ôtô sẽ:

  • A.

    trượt vào phía trong của vòng tròn.

  • B.

    trượt ra khỏi đường tròn.

  • C.

    chạy chậm lại vì tác dụng của lực li tâm.

  • D.

    chưa đủ cơ sở để kết luận

Câu 17 :

Một vật chuyển động tròn đều trên quỹ đạo có bán kính xác định. Khi tốc độ dài của vật tăng lên hai lần thì

  • A.

    tốc độ góc của vật giảm đi 2 lần.

  • B.

    tốc độ góc của vật tăng lên 4 lần.

  • C.

    gia tốc của vật tăng lên 4 lần.

  • D.

    gia tốc của vật không đổi.

Câu 18 :

Một chất điểm chuyển động trên đường tròn bán kính R=0,1m trong 1 giây được 2 vòng. Cho\({\pi ^2} = 10\), gia tốc hướng tâm của chất điểm là

  • A.

    64 m/s2       

  • B.

    24 m/s2

  • C.

    16 m/s2

  • D.

    36 m/s2

Câu 19 :

Một đĩa tròn bán kính 20cm quay đều quanh trục của nó. Đĩa quay một vòng hết đúng 2s. Hệ số ma sát tối thiểu bằng bao nhiêu để vật không bị trượt

  • A.

    0,1

  • B.

    0,2

  • C.

    0,3

  • D.

    0,4

Câu 20 :

Hai điểm 𝐴 và 𝐵 trên cùng một bán kính của một vô lăng đang quay đều, cách nhau 20cm. Điểm 𝐴 ở phía ngoài có tốc độ\({v_A} = 0,6\)m/s, còn điểm B có \({v_B} = 0,2\)m/s. Tốc độ góc của vô lăng và khoảng cách từ điểm B đến trục quay là

  • A.

    2 rad/s, 10 cm   

  • B.

    2 rad/s;  30 cm.      

  • C.

    4 rad/s;  20 cm. 

  • D.

    4 rad/s;  40 cm.

Lời giải và đáp án

Câu 1 :

Chuyển động của vật nào dưới đây là chuyển động tròn đều?

  • A.

    Một con lắc đồng hồ.

  • B.

    Một mắt xích xe đạp.

  • C.
    Cái đầu van xe đạp đối với người ngồi trên xe, xe chạy đều.

  • D.

    Cái đầu van xe đạp đối với mặt đường, xe chạy đều.

Đáp án : C

Phương pháp giải :

Ứng dụng kiến thức thực tế về chuyển động tròn đều: Quỹ đạo: hình tròn, vận tốc: không thay đổi

Lời giải chi tiết :

Cái đầu van xe đạp đối với người ngồi trên xe, xe chạy đều là chuyển động tròn đều

Câu 2 :

Chuyển động tròn đều có

  • A.

    vectơ vận tốc không đổi.

  • B.
    tốc độ phụ thuộc vào bán kính quỹ đạo.

  • C.

    tốc độ góc phụ thuộc vào bán kính quỹ đạo.

  • D.

    chu kì tỉ lệ với thời gian chuyển động.

Đáp án : B

Phương pháp giải :

Áp dụng lí thuyết về chuyển động tròn đều

Lời giải chi tiết :

Chuyển động tròn đều có tốc độ phụ thuộc vào bán kính quỹ đạo

Câu 3 :

Một bánh xe đang quay đều, mỗi phút nó quay được 3000 vòng. Phát biểu nào sau đây sai khi nói về chuyển động của bánh xe?

  • A.

    Độ dịch chuyển góc của một điểm bất kì trên bánh xe (trừ những điểm thuộc trục quay) trong khoảng thời gian 0,01 giây bằng π radian.

  • B.

    Những điểm cách trục quay 10,0 cm thì có tốc độ 10π m/s.

  • C.
    Hai điểm bất kì trên bánh xe nếu cách nhau 20,0 cm thì có tốc độ hơn kém nhau một lượng 20π m/s.

  • D.

    Những điểm càng xa trục quay thì gia tốc hướng tâm càng lớn.

Đáp án : C

Phương pháp giải :

Sử dụng lí thuyết về chuyển động tròn đều

Lời giải chi tiết :

A – đúng vì tốc độ góc:

3000 vòng/ phút = \(\frac{{3000.2\pi }}{{60}} = 100\pi (rad/s)\)

Hay trong khoảng thời gian 0,01 giây thì độ dịch chuyển góc của một điểm bất kì trên bánh xe bằng π radian.

B – đúng vì v=ωr=100π.0,1=10π(m/s)

C – sai vì chỉ những điểm nằm trên cùng một đường thẳng nối từ tâm quỹ đạo ra mới có tốc độ hơn kém nhau 20π m/s.

D – đúng vì gia tốc hướng tâm \(a = \frac{{{v^2}}}{r}\) tỉ lệ nghịch với bán kính quỹ đạo.

Câu 4 :

Công thức nào sau đây biểu diễn không đúng quan hệ giữa các đại lượng đặc trưng của một vật chuyển động tròn đều?

  • A.
    \(f = \frac{{2\pi r}}{v}\)

  • B.

    \(T = \frac{{2\pi r}}{v}\)

  • C.

    v=ωr

  • D.

    \(\omega  = \frac{{2\pi }}{T}\)

Đáp án : A

Phương pháp giải :

Áp dụng công thức biểu diễn mối quan hệ của các đại lượng trong chuyển động tròn đều

Lời giải chi tiết :

\(f = \frac{v}{{2\pi r}}\)

Câu 5 :

Chuyển động của vật nào dưới đây được coi là chuyển động tròn đều?

  • A.

    Chuyển động quay của bánh xe ô tô khi đang hãm phanh.

  • B.

    Chuyển động của một quả bóng đang lăn đều trên mặt sân.

  • C.
    Chuyển động quay của điểm treo các ghế ngồi trên chiếc đu quay đang quay đều.

  • D.

    Chuyển động quay của cánh quạt khi vừa tắt điện.

Đáp án : C

Phương pháp giải :

Áp dụng lí thuyết về chuyển động tròn đều

Lời giải chi tiết :

Chuyển động quay của điểm treo các ghế ngồi trên chiếc đu quay đang quay đều được coi là chuyển động tròn đều

Câu 6 :

Chuyển động tròn đều là chuyển động

  • A.

    có quỹ đạo là đường tròn và góc quay được trong những khoảng thời gian bằng nhau là bằng nhau.

  • B.

    có quỹ đạo là đường tròn và độ dài cung tròn quay được trong những khoảng thời gian bằng nhau là bằng nhau

  • C.

    có quỹ đạo là đường tròn và có tốc độ không đổi.

  • D.
    Cả ba đáp án trên.

Đáp án : D

Phương pháp giải :

Áp dụng lí thuyết về chuyển động tròn đều

Lời giải chi tiết :

Chuyển động tròn đều là chuyển động có quỹ đạo là đường tròn và góc quay được trong những khoảng thời gian bằng nhau là bằng nhau, độ dài cung tròn quay được trong những khoảng thời gian bằng nhau là bằng nhau, có tốc độ không đổi.

Câu 7 :

Chọn phát biểu đúng.

Trong các chuyển động tròn đều.

  • A.

    Chuyển động nào có chu kì quay nhỏ hơn thì tốc độ góc nhỏ hơn.

  • B.

    Chuyển động nào có chu kì quay lớn hơn thì tốc độ lớn hơn.

  • C.
    Chuyển động nào có tần số lớn hơn thì có chu kì quay nhỏ hơn.

  • D.

    Chuyển động nào có bán kính nhỏ hơn thì có tốc độ góc nhỏ hơn.

Đáp án : C

Phương pháp giải :

Áp dụng lí thuyết và công thức về chu kì và tần số của chuyển động tròn đều

Lời giải chi tiết :

Chuyển động nào có tần số lớn hơn thì có chu kì quay nhỏ hơn

Câu 8 :

Phát biểu nào sau đây sai khi nói về một vật chuyển động tròn đều?

  • A.

    Quỹ đạo chuyển động là một đường tròn hoặc một phần của đường tròn.

  • B.

    Tốc độ của vật không đổi theo thời gian.

  • C.

    Với tốc độ xác định, bán kính quỹ đạo càng nhỏ thì phương của vận tốc biến đổi càng nhanh.

  • D.
    Với bán kính quỹ đạo xác định, nếu tốc độ tăng gấp đôi thì gia tốc hướng tâm cũng tăng gấp đôi.

Đáp án : D

Phương pháp giải :

Sử dụng lí thuyết về chuyển động tròn đều

Lời giải chi tiết :

Với bán kính quỹ đạo xác định, nếu tốc độ tăng gấp đôi thì gia tốc hướng tâm cũng tăng gấp bốn

Câu 9 :

Vecto vận tốc trong chuyển động tròn đều có đặc điểm:

  • A.

    phương tiếp tuyến với quỹ đạo của đường tròn.

  • B.

    chiều: theo chiều chuyển động của vật.

  • C.

    độ lớn không đổi v = R.ω.

  • D.

    cả ba đáp án trên

Đáp án : D

Lời giải chi tiết :

Vecto vận tốc trong chuyển động tròn đều có đặc điểm

– phương tiếp tuyến với quỹ đạo của đường tròn;

– chiều: theo chiều chuyển động của vật;

– độ lớn không đổi v = R.ω

Câu 10 :

Trên mặt một chiếc đồng hồ treo tường, kim giờ dài 10 cm, kim phút dài 15 cm. Tốc độ góc của kim giờ và kim phút là

  • A.

    1,52.104 rad/s ; 1,82.103 rad/s.

  • B.

    1,45.104 rad/s ; 1,74.103 rad/s.

  • C.

    1,54.104 rad/s ; 1,91.103 rad/s.

  • D.

    1,48.104 rad/s ; 1,78.103 rad/s.

Đáp án : B

Phương pháp giải :

Áp dụng công thức tính tốc độ góc: \(\omega  = \frac{{2\pi }}{T}\)

Lời giải chi tiết :

Bán kính quỹ đạo kim phút: Rp= 10 cm = 0,1 m.

Kim phút quay 1 vòng được 1h nên chu kì quay tròn của điểm đầu kim phút là:

Tp = 1h = 3600 s

Tốc độ góc của kim phút là:

\({\omega _p} = \frac{{2\pi }}{{{T_p}}} = \frac{{2\pi }}{{3600}} \approx 1,{74.10^{ – 3}}rad/s\)

Kim giờ quay 1 vòng mất 12 giờ nên chu kì của điểm đầu kim giờ là:

Tg = 12.3600 = 43200 s

Tốc độ góc của kim giờ là: \({\omega _g} = \frac{{2\pi }}{{{T_g}}} = \frac{{2\pi }}{{43200}} \approx 1,{45.10^{ – 4}}rad/s\)

Câu 11 :

Một vệ tinh nhân tạo chuyển động tròn đều quanh Trái Đất thì lực nào đóng vai trò lực hướng tâm.

  • A.

    Lực hấp dẫn giữa Trái Đất và vệ tinh.

  • B.

    Lực cản của không khí.

  • C.

    Lực đẩy Acsimet của không khí.

  • D.

    Lực hấp dẫn giữa Trái Đất và Mặt Trăng.

Đáp án : A

Lời giải chi tiết :

Một vệ tinh nhân tạo chuyển động tròn đều quanh Trái Đất Lực hấp dẫn giữa Trái Đất và vệ tinh đóng vai trò lực hướng tâm

Câu 12 :

Chọn đáp án đúng khi nói về vectơ gia tốc của vật chuyển động tròn đều.

  • A.

    Có độ lớn bằng 0.

  • B.

    Giống nhau tại mọi điểm trên quỹ đạo.

  • C.

    Luôn cùng hướng với vectơ vận tốc.

  • D.

    Luôn vuông góc với vectơ vận tốc.

Đáp án : D

Lời giải chi tiết :

Gia tốc của vật chuyển động tròn đều luôn vuông góc với vectơ vận tốc

Câu 13 :

Một vật khối lượng m đặt trên đĩa quay đều với vận tốc góc ω. Vật đã vạch nên đường tròn bán kính R. Vật đã chuyển động tròn đều nên lực đóng vai trò lực hướng tâm là:

  • A.

    Trọng lực.

  • B.

    Phản lực của đĩa.

  • C.

    Lực ma sát nghỉ.

  • D.

    Hợp lực của 3 lực trên.

Đáp án : D

Lời giải chi tiết :

Một vật khối lượng m đặt trên đĩa quay đều với vận tốc góc ω. Vật đã vạch nên đường tròn bán kính R. Vật đã chuyển động tròn đều nên lực đóng vai trò lực hướng tâm là hợp lực của 3 lực: Trọng lực, Phản lực của đĩa, Lực ma sát nghỉ

Câu 14 :

Chuyển động của Trái Đất quanh Mặt Trời có thể xem như là chuyển động tròn đều vì

  • A.

    lực hấp dẫn giữa Trái Đất và Mặt Trời có độ lớn đáng kể.

  • B.

    lực hấp dẫn giữa Trái Đất và Mặt Trời có độ lớn rất nhỏ.

  • C.

    lực hấp dẫn giữa Trái Đất và Mặt Trời là lực hướng tâm, có độ lớn không đổi.

  • D.

    vectơ vận tốc của Trái Đất luôn không đổi.

Đáp án : C

Lời giải chi tiết :

Chuyển động của Trái Đất quanh Mặt Trời có thể xem như là chuyển động tròn đều vì lực hấp dẫn giữa Trái Đất và Mặt Trời là lực hướng tâm, có độ lớn không đổi

Câu 15 :

Một vật chuyển động theo đường tròn bán kính r=10cm với gia tốc hướng tâm 4 cm/s2. Chu kỳ T của chuyển động vật đó là

  • A.

    8π s  

  • B.

    6π s  

  • C.

    12π s

  • D.

    10π s

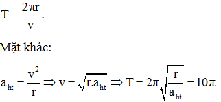
Đáp án : D

Lời giải chi tiết :

Câu 16 :

Một tài xế điều khiển một ôtô có khối lượng 1000 kg chuyển động quanh vòng tròn có bán kính 100 m nằm trên một mặt phẳng nằm ngang với vận tốc có độ lớn là 10 m/s. Lực ma sát nghỉ cực đại giữa lốp xe và mặt đường là 900 N. Ôtô sẽ:

  • A.

    trượt vào phía trong của vòng tròn.

  • B.

    trượt ra khỏi đường tròn.

  • C.

    chạy chậm lại vì tác dụng của lực li tâm.

  • D.

    chưa đủ cơ sở để kết luận

Đáp án : B

Phương pháp giải :

Lực ma sát đóng vai trò là lực hướng tâm.

Lời giải chi tiết :

Fht > Fms max thì ôtô sẽ trượt ra khỏi đường tròn

Câu 17 :

Một vật chuyển động tròn đều trên quỹ đạo có bán kính xác định. Khi tốc độ dài của vật tăng lên hai lần thì

  • A.

    tốc độ góc của vật giảm đi 2 lần.

  • B.

    tốc độ góc của vật tăng lên 4 lần.

  • C.

    gia tốc của vật tăng lên 4 lần.

  • D.

    gia tốc của vật không đổi.

Đáp án : C

Lời giải chi tiết :

Một vật chuyển động tròn đều trên quỹ đạo có bán kính xác định. Khi tốc độ dài của vật tăng lên hai lần thì gia tốc của vật tăng lên 4 lần

Câu 18 :

Một chất điểm chuyển động trên đường tròn bán kính R=0,1m trong 1 giây được 2 vòng. Cho\({\pi ^2} = 10\), gia tốc hướng tâm của chất điểm là

  • A.

    64 m/s2       

  • B.

    24 m/s2

  • C.

    16 m/s2

  • D.

    36 m/s2

Đáp án : C

Phương pháp giải :

Áp dụng công thức tính gia tốc hướng tâm

Lời giải chi tiết :

Trong một giây được 2 vòng nên tần số f=2Hz,vậy tốc độ góc của chất điểm là: \(\omega  = 2\pi f = 2\pi .2 = 4\pi \)rad/s

Gia tốc hướng tâm là: \({a_{ht}} = {\omega ^2}r = 16{\pi ^2}.0,1 = 16.10.0,1 = 16m/{s^2}\)

Câu 19 :

Một đĩa tròn bán kính 20cm quay đều quanh trục của nó. Đĩa quay một vòng hết đúng 2s. Hệ số ma sát tối thiểu bằng bao nhiêu để vật không bị trượt

  • A.

    0,1

  • B.

    0,2

  • C.

    0,3

  • D.

    0,4

Đáp án : B

Phương pháp giải :

Lực gây ra gia tốc hướng tâm là lực ma sát nghỉ. \({F_{msn}} \le \mu N\)

Lời giải chi tiết :

Khi đĩa quay, vật chuyển động tròn, lực gây ra gia tốc hướng tâm là ma sát nghỉ.

Ta có:\({F_{msn}} = m{a_{ht}} = m{\omega ^2}r = mr\frac{{4{\pi ^2}}}{{{T^2}}}\)

Mà \({F_{msn}} \le \mu N = \mu mg\)

\( \Rightarrow mr\frac{{4{\pi ^2}}}{{{T^2}}} \le \mu mg \to \mu  \ge \frac{{4{\pi ^2}r}}{{{T^2}g}} = \frac{{4.10.0,2}}{{10.4}} = 0,2\)

Câu 20 :

Hai điểm 𝐴 và 𝐵 trên cùng một bán kính của một vô lăng đang quay đều, cách nhau 20cm. Điểm 𝐴 ở phía ngoài có tốc độ\({v_A} = 0,6\)m/s, còn điểm B có \({v_B} = 0,2\)m/s. Tốc độ góc của vô lăng và khoảng cách từ điểm B đến trục quay là

  • A.

    2 rad/s, 10 cm   

  • B.

    2 rad/s;  30 cm.      

  • C.

    4 rad/s;  20 cm. 

  • D.

    4 rad/s;  40 cm.

Đáp án : B

Lời giải chi tiết :

Tại điểm A
ω = v/r = 0,6/r  (1)
Tại điểm B
ω = v/(r-0,2) = 0,2/(r-0,2)     (2)

=> Từ (1) và (2) suy ra:

0,6/r= 0,2/(r-0,2)
=> 0,6 (r-0,2)= 0,2.r
=> 0,6r-0,12 =0,2r
=> 0,4r= 0,12
=> r= 0,3 (m)
=> ω = v/r= 0,6/0,3= 2 (rad/s)

TẢI APP ĐỂ XEM OFFLINE