• Lớp 12
    HỌC NGAY
    Môn Toán học Lớp 12
    Đề thi, đề kiểm tra Toán lớp 12 SGK Toán – Kết nối tri thức SGK Toán – Chân trời sáng tạo SGK Toán – Cánh diều SGK Toán lớp 12 SGK Toán 12 Nâng cao SBT Toán lớp 12 SBT Toán lớp 12 Nâng cao
    Môn Ngữ văn Lớp 12
    Luyện dạng đọc hiểu Đề thi, đề kiểm tra Ngữ Văn 12 mới Bài tập trắc nghiệm Văn 12 Soạn văn – Kết nối tri thức Soạn văn – Cánh diều Soạn văn – Chân trời sáng tạo Soạn văn 12 siêu ngắn Soạn văn 12 chi tiết Tác giả – Tác phẩm lớp 12 Xem thêm
    Môn Tiếng Anh Lớp 12
    Bài tập trắc nghiệm Tiếng Anh 12 Đề thi, đề kiểm tra Tiếng Anh 12 mới Tiếng Anh – Global Success Tiếng Anh – Friends Global Tiếng Anh – iLearn Smart World Tiếng Anh – Bright Tiếng Anh – English Discovery Bài tập trắc nghiệm Tiếng Anh 12 mới SGK Tiếng Anh 12 Mới Xem thêm
    Môn Vật lí Lớp 12
    Đề thi, kiểm tra Lí lớp 12 SGK Vật Lí – Kết nối tri thức SGK Vật Lí – Cánh diều SGK Vật Lí – Chân trời sáng tạo SGK Vật lí lớp 12 SGK Vật lí lớp 12 Nâng cao SBT Vật lí lớp 12 Bài tập trắc nghiệm Lí 12
    Môn Hóa học Lớp 12
    Đề thi, đề kiểm tra Hóa lớp 12 SGK Hóa – Kết nối tri thức SGK Hóa – Cánh diều SGK Hóa – Chân trời sáng tạo SGK Hóa lớp 12 SGK Hóa học lớp 12 Nâng cao SBT Hóa lớp 12 Bài tập trắc nghiệm Hóa 12
    Môn Sinh học Lớp 12
    Đề thi, đề kiểm tra Sinh lớp 12 SGK Sinh – Kết nối tri thức SGK Sinh – Cánh diều SGK Sinh – Chân trời sáng tạo SGK Sinh lớp 12 SGK Sinh lớp 12 Nâng cao SBT Sinh lớp 12 Bài tập trắc nghiệm Sinh 12
    Môn Lịch sử Lớp 12
    Tập bản đồ Lịch sử lớp 12 Đề thi, đề kiểm tra Lịch sử 12 SGK Lịch sử lớp 12 SBT Lịch sử lớp 12
    Môn Địa lí Lớp 12
    SGK Địa lí lớp 12 SBT Địa lí lớp 12 Tập bản đồ Địa lí lớp 12 Đề thi, kiểm tra Địa lí lớp 12
    Môn GDCD Lớp 12
    SGK GDCD
    Môn Công nghệ Lớp 12
    SGK Công nghệ 12
    Môn Tin học Lớp 12
    SGK Tin học lớp 12
  • Lớp 11
    HỌC NGAY
    Môn Toán học Lớp 11
    Chuyên đề học tập Toán – Kết nối tri thức Chuyên đề học tập Toán – Cánh diều Chuyên đề học tập Toán – Chân trời sáng tạo SBT Toán – Kết nối tri thức SBT Toán – Cánh diều SBT Toán – Chân trời sáng tạo SGK Toán 11 Nâng cao Đề thi, đề kiểm tra Toán – Kết nối tri thức Đề thi, đề kiểm tra Toán – Chân trời sáng tạo Xem thêm
    Môn Ngữ văn Lớp 11
    Đề thi, đề kiểm tra Văn – Kết nối tri thức Đề thi, đề kiểm tra Văn – Cánh diều Đề thi, đề kiểm tra Văn – Chân trời sáng tạo Tóm tắt, bố cục Văn – Kết nối tri thức Tóm tắt, bố cục Văn – Cánh diều Tóm tắt, bố cục Văn – Chân trời sáng tạo Văn mẫu – Kết nối tri thức Văn mẫu – Cánh diều Văn mẫu – Chân trời sáng tạo Xem thêm
    Môn Tiếng Anh Lớp 11
    Lý thuyết Tiếng Anh 11 Bài tập trắc nghiệm Tiếng Anh – Friends Global Bài tập trắc nghiệm Tiếng Anh – iLearn Smart World Đề thi, đề kiểm tra Tiếng Anh – Global Success Đề thi, đề kiểm tra Tiếng Anh – Friends Global Đề thi, đề kiểm tra Tiếng Anh – iLearn Smart World Đề thi, đề kiểm tra Tiếng Anh – Bright Đề thi, đề kiểm tra Tiếng Anh – English Discovery SBT Tiếng Anh lớp 11 mới Xem thêm
    Môn Vật lí Lớp 11
    Chuyên đề học tập Lí – Cánh diều Chuyên đề học tập Lí – Chân trời sáng tạo SBT Vật lí – Kết nối tri thức SBT Vật lí – Cánh diều SBT Vật lí – Chân trời sáng tạo Lý thuyết Vật lí 11 Đề thi, đề kiểm tra Vật lí – Kết nối tri thức Đề thi, đề kiểm tra Vật lí – Cánh diều Đề thi, đề kiểm tra Vật lí – Chân trời sáng tạo Xem thêm
    Môn Hóa học Lớp 11
    SBT Hóa – Chân trời sáng tạo Lý thuyết Hóa 11 Đề thi, kiểm tra Hóa – Kết nối tri thức Đề thi, kiểm tra Hóa – Cánh diều Đề thi, kiểm tra Hóa – Chân trời sáng tạo Bài tập trắc nghiệm Hóa – Kết nối tri thức Bài tập trắc nghiệm Hóa – Cánh diều Bài tập trắc nghiệm Hóa – Chân trời sáng tạo Chuyên đề học tập Hóa – Cánh diều Xem thêm
    Môn Sinh học Lớp 11
    Chuyên đề học tập Sinh – Cánh diều Chuyên đề học tập Sinh – Chân trời sáng tạo SBT Sinh – Kết nối tri thức SBT Sinh – Cánh diều SBT Sinh – Chân trời sáng tạo Lý thuyết Sinh học 11 Đề thi, kiểm tra Sinh – Kết nối tri thức Đề thi, kiểm tra Sinh – Chân trời sáng tạo Đề thi, kiểm tra Sinh – Cánh diều Xem thêm
    Môn Lịch sử Lớp 11
    SGK Lịch sử – Kết nối tri thức SGK Lịch sử – Chân trời sáng tạo SGK Lịch sử – Cánh diều Đề thi, kiểm tra Lịch sử lớp 11
    Môn Địa lí Lớp 11
    SGK Địa lí – Kết nối tri thức SGK Địa lí – Chân trời sáng tạo Đề thi, kiểm tra Địa lí lớp 11 SGK Địa lí – Cánh diều
    Môn Công nghệ Lớp 11
    SGK Công nghệ – Kết nối tri thức SGK Công nghệ – Cánh diều
    Môn Tin học Lớp 11
    SGK Tin học – Kết nối tri thức SGK Tin học – Cánh diều
    Môn GD kinh tế và pháp luật Lớp 11
    SGK Giáo dục kinh tế và pháp luật – Kết nối tri thức SGK Giáo dục kinh tế và pháp luật – Chân trời sáng tạo SGK Giáo dục kinh tế và pháp luật – Cánh diều
    Môn HĐ trải nghiệm, hướng nghiệp Lớp 11
    SGK Hoạt động trải nghiệm, hướng nghiệp – Kết nối tri thức SGK Hoạt động trải nghiệm, hướng nghiệp – Cánh diều SGK Hoạt động trải nghiệm, hướng nghiệp – Chân trời sáng tạo Bản 1 SGK Hoạt động trải nghiệm, hướng nghiệp – Chân trời sáng tạo Bản 2
    Môn Giáo dục thể chất Lớp 11
    SGK Giáo dục thể chất – Kết nối tri thức SGK Giáo dục thể chất – Cánh diều
    Môn GD Quốc phòng và An ninh Lớp 11
    SGK Giáo dục quốc phòng và an ninh – Kết nối tri thức SGK Giáo dục quốc phòng và an ninh – Cánh diều
  • Lớp 10
    HỌC NGAY
    Môn Toán học Lớp 10
    SBT Toán – Chân trời sáng tạo SBT Toán – Cánh diều Chuyên đề học tập Toán – Kết nối tri thức Chuyên đề học tập Toán – Chân trời sáng tạo Chuyên đề học tập Toán – Cánh diều Đề thi, đề kiểm tra Toán – Kết nối tri thức Đề thi, đề kiểm tra Toán – Chân trời sáng tạo Đề thi, đề kiểm tra Toán – Cánh diều Lý thuyết Toán 10 Xem thêm
    Môn Ngữ văn Lớp 10
    Soạn văn – Cánh Diều – siêu ngắn Bài tập trắc nghiệm Văn – Kết nối tri thức Soạn văn – Cánh Diều – chi tiết Bài tập trắc nghiệm Văn – Cánh diều Tác giả tác phẩm lớp 10 Bài tập trắc nghiệm Văn – Chân trời sáng tạo Văn mẫu – Kết nối tri thức Văn mẫu – Chân trời sáng tạo Văn mẫu – Cánh diều Xem thêm
    Môn Tiếng Anh Lớp 10
    Tiếng Anh – Bright Tiếng Anh – Explore New Worlds SBT Global Success SBT Friends Global SBT iLearn Smart World SBT Bright SBT English Discovery Bài tập trắc nghiệm Tiếng Anh – Global Success Bài tập trắc nghiệm Tiếng Anh – Friends Global Xem thêm
    Môn Vật lí Lớp 10
    SBT Vật lí – Chân trời sáng tạo SBT Vật lí – Cánh diều Bài tập trắc nghiệm Lí – Kết nối tri thức Bài tập trắc nghiệm Lí – Chân trời sáng tạo Bài tập trắc nghiệm Lí – Cánh diều Đề thi, đề kiểm tra Vật lí – Chân trời sáng tạo Đề thi, đề kiểm tra Vật lí – Kết nối tri thức Đề thi, đề kiểm tra Vật lí – Cánh diều Chuyên đề học tập Lí – Kết nối tri thức Xem thêm
    Môn Hóa học Lớp 10
    SBT Hóa – Chân trời sáng tạo SBT Hóa 10 – Cánh diều Chuyên đề học tập Hóa – Kết nối tri thức Chuyên đề học tập Hóa 10 – Chân trời sáng tạo Chuyên đề học tập Hóa 10 – Cánh diều Bài tập trắc nghiệm Hóa – Kết nối tri thức Bài tập trắc nghiệm Hóa – Chân trời sáng tạo Bài tập trắc nghiệm Hóa – Cánh diều Đề thi, kiểm tra Hóa – Kết nối tri thức Xem thêm
    Môn Sinh học Lớp 10
    SBT Sinh – Chân trời sáng tạo SBT Sinh – Cánh diều Chuyên đề học tập Sinh – Kết nối tri thức Chuyên đề học tập Sinh – Chân trời sáng tạo Bài tập trắc nghiệm Sinh – Kết nối tri thức Bài tập trắc nghiệm Sinh – Chân trời sáng tạo Bài tập trắc nghiệm Sinh – Cánh diều Đề thi, kiểm tra Sinh – Kết nối tri thức Đề thi, kiểm tra Sinh – Chân trời sáng tạo Xem thêm
    Môn Lịch sử Lớp 10
    SBT Lịch sử – Chân trời sáng tạo SBT Lịch sử – Cánh Diều Chuyên đề học tập Lịch sử – Kết nối tri thức Đề thi, đề kiểm tra Lịch sử – Kết nối tri thức Đề thi, đề kiểm tra Lịch sử lớp 10 – Chân trời sáng tạo Đề thi, đề kiểm tra Lịch sử – Cánh diều SGK Lịch sử – Kết nối tri thức SGK Lịch sử – Chân trời sáng tạo SGK Lịch sử – Cánh Diều Xem thêm
    Môn Địa lí Lớp 10
    SBT Địa lí – Chân trời sáng tạo Đề thi, đề kiểm tra Địa lí – Kết nối tri thức Đề thi, đề kiểm tra Địa lí lớp 10 – Chân trời sáng tạo Đề thi, đề kiểm tra Địa lí – Kết nối tri thức SGK Địa lí – Kết nối tri thức SGK Địa lí – Cánh Diều SGK Địa lí – Chân trời sáng tạo SBT Địa lí – Kết nối tri thức
    Môn GDCD Lớp 10
    SGK Giáo dục kinh tế và pháp luật – KNTT SGK Giáo dục kinh tế và pháp luật – CTST SGK Giáo dục kinh tế và pháp luật – Cánh diều
    Môn Công nghệ Lớp 10
    SGK Công nghệ – Kết nối tri thức SGK Công nghệ – Cánh diều
    Môn Tin học Lớp 10
    SGK Tin học – Kết nối tri thức SGK Tin học – Cánh Diều SBT Tin học – Kết nối tri thức
    Môn HĐ trải nghiệm, hướng nghiệp Lớp 10
    SGK Hoạt động trải nghiệm, hướng nghiệp – Kết nối tri thức SGK Hoạt động trải nghiệm, hướng nghiệp – Chân trời sáng tạo SGK Hoạt động trải nghiệm, hướng nghiệp – Cánh Diều
    Môn Giáo dục thể chất Lớp 10
    SGK Giáo dục thể chất – Kết nối tri thức SGK Giáo dục thể chất – Cánh diều
    Môn GD Quốc phòng và An ninh Lớp 10
    SGK Giáo dục quốc phòng và an ninh – Kết nối tri thức SGK Giáo dục quốc phòng và an ninh – Cánh diều
  • Lớp 9
    HỌC NGAY
    Môn Toán học Lớp 9
    Tài liệu Dạy – học Toán 9 Đề thi, đề kiểm tra Toán lớp 9 Đề thi vào 10 môn Toán SGK Toán – Kết nối tri thức SGK Toán – Chân trời sáng tạo SGK Toán – Cánh diều SGK Toán 9 – Cùng khám phá SGK Toán lớp 9 SBT Toán lớp 9 Xem thêm
    Môn Ngữ văn Lớp 9
    Vở bài tập Ngữ văn lớp 9 Bài tập trắc nghiệm Văn 9 Đề thi vào 10 môn Văn Đề thi, đề kiểm tra Văn 9 Soạn văn – Kết nối tri thức Soạn văn – Cánh diều Soạn văn – Chân trời sáng tạo Soạn văn 9 siêu ngắn Soạn văn 9 chi tiết Xem thêm
    Môn Tiếng Anh Lớp 9
    Tiếng Anh – Friends Plus Tiếng Anh – iLearn Smart World Tiếng Anh – Right on! Tiếng Anh – English Discovery Bài tập trắc nghiệm Tiếng Anh 9 mới Đề thi vào 10 môn Anh Đề thi, đề kiểm tra Tiếng Anh 9 mới Tiếng Anh – Global Success SGK Tiếng Anh lớp 9 Mới Xem thêm
    Môn Vật lí Lớp 9
    Tài liệu Dạy – Học Vật lí 9 Đề thi, kiểm tra Lí lớp 9 SGK Vật lí lớp 9 SBT Vật lí lớp 9 Vở bài tập Vật lí 9 Bài tập trắc nghiệm Lí 9
    Môn Hóa học Lớp 9
    Tài liệu Dạy – học Hóa học 9 Đề thi, đề kiểm tra Hóa lớp 9 SGK Hóa lớp 9 SBT Hóa lớp 9 Vở bài tập Hoá học 9 Bài tập trắc nghiệm Hóa 9
    Môn Sinh học Lớp 9
    Bài tập trắc nghiệm Sinh 9 Đề thi, đề kiểm tra Sinh lớp 9 SGK Sinh lớp 9 SBT Sinh lớp 9 Vở bài tập Sinh học 9 Đề thi, đề kiểm tra Sinh lớp 9
    Môn Lịch sử Lớp 9
    Đề thi, kiểm tra Lịch sử lớp 9 SGK Lịch sử lớp 9 VBT Lịch sử lớp 9 Tập bản đồ Lịch sử lớp 9 SBT Lịch sử lớp 9
    Môn Địa lí Lớp 9
    Đề thi, kiểm tra Địa lí lớp 9 SGK Địa lí lớp 9 SBT Địa lí lớp 9 VBT Địa lí lớp 9 Tập bản đồ Địa lí lớp 9
    Môn GDCD Lớp 9
    SGK GDCD lớp 9 Bài tập tình huống GDCD 9
    Môn Công nghệ Lớp 9
    SGK Công nghệ 9
    Môn Tin học Lớp 9
    SGK Tin học lớp 9
    Môn Khoa học tự nhiên Lớp 9
    SGK Khoa học tự nhiên – Cánh diều SGK Khoa học tự nhiên – Chân trời sáng tạo SGK Khoa học tự nhiên – Kết nối tri thức
    Môn Âm nhạc và mỹ thuật Lớp 9
    Âm nhạc và mỹ thuật lớp 9
  • Lớp 8
    HỌC NGAY
    Môn Toán học Lớp 8
    SBT Toán – Kết nối tri thức SBT Toán – Chân trời sáng tạo SBT Toán – Cánh diều Vở thực hành Toán Đề thi, đề kiểm tra Toán – Kết nối tri thức Đề thi, đề kiểm tra Toán – Chân trời sáng tạo Đề thi, đề kiểm tra Toán – Cánh diều Lý thuyết Toán 8 Bài tập trắc nghiệm Toán – Kết nối tri thức Xem thêm
    Môn Ngữ văn Lớp 8
    Soạn văn chi tiết – Cánh diều Đề thi, đề kiểm tra Văn – Chân trời sáng tạo Soạn văn siêu ngắn – Cánh diều Tóm tắt, bố cục Văn – Kết nối tri thức SBT Văn – Kết nối tri thức Tóm tắt, bố cục Văn – Cánh diều SBT Văn – Chân trời sáng tạo Tóm tắt, bố cục Văn – Chân trời sáng tạo SBT Văn – Cánh diều Xem thêm
    Môn Tiếng Anh Lớp 8
    Đề thi, đề kiểm tra Tiếng Anh – Friends Plus Đề thi, đề kiểm tra Tiếng Anh – iLearn Smart World Đề thi, đề kiểm tra Tiếng Anh – Right on! Đề thi, đề kiểm tra Tiếng Anh – English Discovery Đề thi, đề kiểm tra Tiếng Anh 8 mới Lý thuyết Tiếng Anh 8 Tiếng Anh – English Discovery SBT Global Success SBT Friends Plus Xem thêm
    Môn GDCD Lớp 8
    Giáo dục công dân – Kết nối tri thức Giáo dục công dân – Chân trời sáng tạo Giáo dục công dân – Cánh diều
    Môn Công nghệ Lớp 8
    SGK Công nghệ – Kết nối tri thức SGK Công nghệ – Chân trời sáng tạo SGK Công nghệ – Cánh diều
    Môn HĐ trải nghiệm, hướng nghiệp Lớp 8
    SGK Hoạt động trải nghiệm, hướng nghiệp – Kết nối tri thức SGK Hoạt động trải nghiệm, hướng nghiệp – Cánh diều SGK Hoạt động trải nghiệm, hướng nghiệp – Chân trời sáng tạo Bản 1 SGK Hoạt động trải nghiệm, hướng nghiệp – Chân trời sáng tạo Bản 2
    Môn Giáo dục thể chất Lớp 8
    SGK Giáo dục thể chất – Kết nối tri thức SGK Giáo dục thể chất – Cánh diều SGK Giáo dục thể chất – Chân trời sáng tạo
    Môn Khoa học tự nhiên Lớp 8
    Vở thực hành Khoa học tự nhiên Đề thi, đề kiểm tra KHTN – Kết nối tri thức Đề thi, đề kiểm tra KHTN – Cánh diều Lý thuyết Khoa học tự nhiên 8 Bài tập trắc nghiệm Khoa học tự nhiên – Kết nối tri thức Bài tập trắc nghiệm Khoa học tự nhiên – Cánh diều SGK Khoa học tự nhiên – Kết nối tri thức SGK Khoa học tự nhiên – Cánh diều SBT KHTN – Kết nối tri thức Xem thêm
    Môn Lịch sử và Địa lí Lớp 8
    Đề thi, kiểm tra Lịch sử và Địa lí – Chân trời sáng tạo Đề thi, kiểm tra Lịch Sử và Địa lí – Cánh diều SGK Lịch sử và Địa lí – Kết nối tri thức SGK Lịch sử và Địa lí – Cánh diều SGK Lịch sử và Địa lí – Chân trời sáng tạo Đề thi, kiểm tra Lịch Sử và Địa lí – Kết nối tri thức
    Môn Âm nhạc Lớp 8
    SGK Âm nhạc – Kết nối tri thức SGK Âm nhạc – Chân trời sáng tạo SGK Âm nhạc – Cánh diều
    Môn Mỹ thuật Lớp 8
    SGK Mĩ thuật – Kết nối tri thức SGK Mĩ thuật – Chân trời sáng tạo bản 1 SGK Mĩ thuật – Cánh diều SGK Mĩ thuật – Chân trời sáng tạo bản 2
  • Lớp 7
    HỌC NGAY
    Môn Toán học Lớp 7
    SBT Toán – Chân trời sáng tạo SBT Toán – Cánh diều Bài tập trắc nghiệm Toán – Kết nối tri thức Bài tập trắc nghiệm Toán – Chân trời sáng tạo Bài tập trắc nghiệm Toán – Cánh diều Đề thi, đề kiểm tra Toán – Kết nối tri thức Đề thi, đề kiểm tra Toán – Chân trời sáng tạo Đề thi, đề kiểm tra Toán – Cánh diều Lý thuyết Toán 7 Xem thêm
    Môn Ngữ văn Lớp 7
    Lý thuyết Văn 7 SBT Văn – Chân trời sáng tạo Đề thi, đề kiểm tra Văn – Kết nối tri thức Đề thi, đề kiểm tra Văn – Chân trời sáng tạo Đề thi, đề kiểm tra Văn – Cánh diều Bài tập trắc nghiệm Văn – Kết nối tri thức Bài tập trắc nghiệm Văn – Chân trời sáng tạo Bài tập trắc nghiệm Văn – Cánh diều Vở thực hành văn Xem thêm
    Môn Tiếng Anh Lớp 7
    Bài tập trắc nghiệm Tiếng Anh – Friends Plus Bài tập trắc nghiệm Tiếng Anh – iLearn Smart World Đề thi, đề kiểm tra Tiếng Anh – Global Success Đề thi, đề kiểm tra Tiếng Anh – Friends Plus Đề thi, đề kiểm tra Tiếng Anh – iLearn Smart World Đề thi, đề kiểm tra Tiếng Anh – Right on! Đề thi, đề kiểm tra Tiếng Anh – English Discovery Lý thuyết Tiếng Anh 7 Tiếng Anh – Right on! Xem thêm
    Môn GDCD Lớp 7
    SGK GDCD – KNTT SGK GDCD – CTST SGK GDCD – Cánh diều Bài tập tình huống GDCD 7
    Môn Công nghệ Lớp 7
    SGK Công nghệ – Kết nối tri thức SGK Công nghệ – Chân trời sáng tạo SGK Công nghệ – Cánh diều
    Môn Tin học Lớp 7
    SGK Tin học – Kết nối tri thức SGK Tin học – Cánh Diều SGK Tin học – Chân trời sáng tạo SBT Tin học – Kết nối tri thức
    Môn HĐ trải nghiệm, hướng nghiệp Lớp 7
    SGK Hoạt động trải nghiệm, hướng nghiệp – Kết nối tri thức SGK Hoạt động trải nghiệm, hướng nghiệp – Cánh Diều SGK Hoạt động trải nghiệm, hướng nghiệp – Chân trời sáng tạo
    Môn Khoa học tự nhiên Lớp 7
    SBT KHTN – Chân trời sáng tạo SBT KHTN – Cánh diều Bài tập trắc nghiệm Khoa học tự nhiên – Kết nối tri thức Bài tập trắc nghiệm Khoa học tự nhiên – Chân trời sáng tạo Bài tập trắc nghiệm Khoa học tự nhiên – Cánh diều Đề thi, đề kiểm tra KHTN – Kết nối tri thức Đề thi, đề kiểm tra KHTN – Chân trời sáng tạo Đề thi, đề kiểm tra KHTN – Cánh Diều Vở thực hành Khoa học tự nhiên 7 Xem thêm
    Môn Lịch sử và Địa lí Lớp 7
    SBT Lịch sử và Địa lí – Chân trời sáng tạo SBT Lịch sử và Địa lí – Cánh diều Đề thi, kiểm tra Lịch sử và Địa lí lớp 7 – Kết nối tri thức Đề thi, kiểm tra Lịch sử và Địa lí lớp 7 – Chân trời sáng tạo SGK Lịch sử và Địa lí – Kết nối tri thức SGK Lịch sử và Địa lí – Chân trời sáng tạo SGK Lịch sử và Địa lí – Cánh Diều SBT Lịch sử và Địa lí – Kết nối tri thức
    Môn Âm nhạc Lớp 7
    Âm nhạc – Kết nối tri thức Âm nhạc – Chân trời sáng tạo Âm nhạc – Cánh diều
  • Lớp 6
    HỌC NGAY
    Môn Toán học Lớp 6
    SBT Toán – Chân trời sáng tạo SBT Toán – Cánh diều Bài tập trắc nghiệm Toán – Kết nối tri thức Bài tập trắc nghiệm Toán – Chân trời sáng tạo Bài tập trắc nghiệm Toán – Cánh diều Tài liệu Dạy – học Toán 6 Ôn tập hè Toán lớp 6 Đề thi, đề kiểm tra Toán – Kết nối tri thức Đề thi, đề kiểm tra Toán – Chân trời sáng tạo Xem thêm
    Môn Ngữ văn Lớp 6
    Ôn tập hè Văn lớp 6 Vở thực hành văn Soạn văn siêu ngắn – Cánh diều Soạn văn chi tiết – Cánh diều Tác giả – Tác phẩm văn 6 SBT Văn – Kết nối tri thức SBT Văn – Chân trời sáng tạo SBT Văn – Cánh diều Bài tập trắc nghiệm Văn – Kết nối tri thức Xem thêm
    Môn Tiếng Anh Lớp 6
    Đề thi, đề kiểm tra Tiếng Anh – English Discovery Ôn tập hè Tiếng Anh lớp 6 Bài tập trắc nghiệm Tiếng Anh 6 – English Discovery Đề thi, đề kiểm tra Tiếng Anh – Global Success Đề thi, đề kiểm tra Tiếng Anh – Friends Plus Đề thi, đề kiểm tra Tiếng Anh – iLearn Smart World Đề thi, đề kiểm tra Tiếng Anh – Right on! Tiếng Anh – English Discovery Tiếng Anh – Explore English Xem thêm
    Môn GDCD Lớp 6
    SBT GDCD – Chân trời sáng tạo SBT GDCD – Cánh diều SGK GDCD – CTST SGK GDCD – Cánh Diều SBT GDCD – Kết nối tri thức SGK GDCD – KNTT
    Môn Công nghệ Lớp 6
    SBT Công nghệ – Cánh diều SBT Công nghệ – Chân trời sáng tạo Công nghệ – Kết nối tri thức Công nghệ – Cánh Diều Công nghệ – Chân trời sáng tạo SBT Công nghệ – Kết nối tri thức
    Môn Tin học Lớp 6
    Tin học – Kết nối tri thức + chân trời sáng tạo Tin học – Cánh Diều SBT Tin học – Kết nối tri thức SBT Tin học – Cánh Diều
    Môn HĐ trải nghiệm, hướng nghiệp Lớp 6
    SBT Trải nghiệm, hướng nghiệp – Chân trời sáng tạo Thực hành Trải nghiệm, hướng nghiệp – Cánh diều SGK Trải nghiệm, hướng nghiệp – Kết nối tri thức SGK Trải nghiệm, hướng nghiệp – Chân trời sáng tạo SGK Trải nghiệm, hướng nghiệp – Cánh diều SBT Trải nghiệm, hướng nghiệp – Kết nối tri thức
    Môn Khoa học tự nhiên Lớp 6
    SBT KHTN – Chân trời sáng tạo SBT KHTN – Cánh Diều Bài tập trắc nghiệm Khoa học tự nhiên – Kết nối tri thức Bài tập trắc nghiệm Khoa học tự nhiên – Chân trời sáng tạo Bài tập trắc nghiệm Khoa học tự nhiên – Cánh diều Đề thi, đề kiểm tra KHTN – Kết nối tri thức Đề thi, đề kiểm tra KHTN – Chân trời sáng tạo Đề thi, đề kiểm tra KHTN – Cánh diều Vở thực hành Khoa học tự nhiên 6 Xem thêm
    Môn Lịch sử và Địa lí Lớp 6
    SBT Lịch sử và Địa lí – CTST SBT Lịch sử và Địa lí – Cánh diều Đề thi, kiểm tra Lịch sử và Địa lí – Kết nối tri thức Đề thi, kiểm tra Lịch sử và Địa lí – Cánh Diều Đề thi, kiểm tra Lịch sử và Địa lí – Chân trời sáng tạo SGK Lịch sử và Địa lí – KNTT SGK Lịch sử và Địa lí – CTST SGK Lịch sử và Địa lí – Cánh Diều SBT Lịch sử và Địa lí – KNTT
    Môn Âm nhạc Lớp 6
    Âm nhạc – Kết nối tri thức Âm nhạc – Cánh Diều Âm nhạc: Chân trời sáng tạo
    Môn Mỹ thuật Lớp 6
    Mĩ thuật – Kết nối tri thức Mĩ thuật – Chân trời sáng tạo Mĩ thuật – Cánh diều
  • Lớp 5
    HỌC NGAY
    Môn Toán học Lớp 5
    Cùng em học toán lớp 5 Bài tập trắc nghiệm Toán 5 Đề thi, đề kiểm tra Toán lớp 5 Bài tập phát triển năng lực Toán lớp 5 Toán nâng cao lớp 5 Công thức Toán lớp 5 Đề thi vào lớp 6 môn Toán SGK Toán – Kết nối tri thức SGK Toán – Chân trời sáng tạo Xem thêm
    Môn Tiếng Anh Lớp 5
    Đề thi, đề kiểm tra Tiếng Anh lớp 5 Tiếng Anh – Global Success Tiếng Anh – Family and Friends Tiếng Anh – iLearn Smart Start Tiếng Anh – Explore Our World SGK Tiếng Anh lớp 5 Mới Đề thi vào lớp 6 môn Tiếng Anh Chứng chỉ Cambridge Pre A1 Starters SBT Tiếng Anh lớp 5
    Môn Tin học Lớp 5
    Hướng dẫn học tin học lớp 5 SBT HD học Tin học 5
    Môn Lịch sử và Địa lí Lớp 5
    SGK Lịch sử và Địa lí lớp 5 Vở bài tập Lịch sử lớp 5 Vở bài tập Địa lí lớp 5
    Môn Tiếng việt Lớp 5
    Đề thi, đề kiểm tra Tiếng Việt 5 Bài tập phát triển năng lực Tiếng Việt lớp 5 Đề thi vào lớp 6 môn Tiếng Việt Tiếng Việt – Kết nối tri thức Tiếng Việt – Chân trời sáng tạo Tiếng Việt – Cánh diều Văn mẫu lớp 5 SGK Tiếng Việt 5 Cùng em học Tiếng Việt 5 Xem thêm
    Môn Khoa học Lớp 5
    SGK Khoa học lớp 5 VBT Khoa học 5
    Môn Đạo đức Lớp 5
    SGK Đạo đức lớp 5 VBT Đạo Đức 5
  • Lớp 4
    HỌC NGAY
    Môn Toán học Lớp 4
    VBT Toán – Kết nối tri thức Vở thực hành Toán Bài tập phát triển năng lực Toán lớp 4 Bài tập cuối tuần Toán 4 Ôn tập hè Toán lớp 4 Cùng em học toán lớp 4 Đề thi, đề kiểm tra Toán lớp 4 Đề thi, đề kiểm tra Toán – Kết nối tri thức Đề thi, đề kiểm tra Toán – Cánh diều Xem thêm
    Môn Tiếng Anh Lớp 4
    Tiếng Anh – Explore Our World SGK Tiếng Anh lớp 4 Mới SBT Tiếng Anh – Global Success Ôn tập hè Tiếng Anh lớp 4 SBT Tiếng Anh – Family and Friends Đề thi, đề kiểm tra Tiếng Anh lớp 4 SBT Tiếng Anh – iLearn Smart Start SBT Tiếng Anh – Phonics Smart SBT Tiếng Anh – Explore Our World Xem thêm
    Môn Công nghệ Lớp 4
    SGK Công nghệ – Kết nối tri thức SGK Công nghệ – Chân trời sáng tạo SGK Công nghệ – Cánh diều
    Môn Tin học Lớp 4
    Hướng dẫn học tin học lớp 4 SBT HD học Tin học 4
    Môn HĐ trải nghiệm, hướng nghiệp Lớp 4
    SGK Hoạt động trải nghiệm – Kết nối tri thức SGK Hoạt động trải nghiệm – Cánh diều SGK Hoạt động trải nghiệm – Chân trời sáng tạo Bản 1 SGK Hoạt động trải nghiệm – Chân trời sáng tạo Bản 2
    Môn Giáo dục thể chất Lớp 4
    SGK Giáo dục thể chất – Kết nối tri thức SGK Giáo dục thể chất – Cánh diều SGK Giáo dục thể chất – Chân trời sáng tạo
    Môn Lịch sử và Địa lí Lớp 4
    SGK Lịch sử và Địa lí – Kết nối tri thức SGK Lịch sử và Địa lí – Chân trời sáng tạo SGK Lịch sử và Địa lí – Cánh diều
    Môn Âm nhạc Lớp 4
    SGK Âm nhạc – Kết nối tri thức SGK Âm nhạc – Chân trời sáng tạo SGK Âm nhạc – Cánh diều
    Môn Mỹ thuật Lớp 4
    SGK Mĩ thuật – Kết nối tri thức SGK Mĩ thuật – Cánh diều SGK Mĩ thuật – Chân trời sáng tạo bản 1 SGK Mĩ thuật – Chân trời sáng tạo bản 2
    Môn Tiếng việt Lớp 4
    Đề thi, đề kiểm tra Tiếng Việt – Kết nối tri thức Đề thi, đề kiểm tra Tiếng Việt – Chân trời sáng tạo Đề thi, đề kiểm tra Tiếng Việt – Cánh diều SGK Tiếng Việt 4 Cùng em học Tiếng Việt 4 Vở bài tập Tiếng Việt lớp 4 VNEN Tiếng Việt lớp 4 Văn mẫu lớp 4 Đề thi, đề kiểm tra Tiếng Việt 4 Xem thêm
    Môn Khoa học Lớp 4
    SGK Khoa học lớp 4 VBT Khoa Học 4
    Môn Đạo đức Lớp 4
    SGK Đạo đức lớp 4 VBT Đạo Đức 4 SGK Đạo đức – Kết nối tri thức
  • Lớp 3
    HỌC NGAY
    Môn Toán học Lớp 3
    Đề thi, đề kiểm tra Toán – Kết nối tri thức Bài tập cuối tuần môn Toán 3 Đề thi, đề kiểm tra Toán – Chân trời sáng tạo Đề thi, đề kiểm tra Toán – Cánh diều Cùng em học Toán 3 Bài tập trắc nghiệm Toán – Kết nối tri thức Bài tập trắc nghiệm Toán – Chân trời sáng tạo Bài tập trắc nghiệm Toán – Cánh diều Ôn tập hè Toán – Kết nối tri thức Xem thêm
    Môn Tiếng Anh Lớp 3
    Bài tập trắc nghiệm Tiếng Anh – iLearn Smart Start Đề thi, đề kiểm tra Tiếng Anh – Global Success Đề thi, đề kiểm tra Tiếng Anh – Family and Friends Đề thi, đề kiểm tra Tiếng Anh – Explore Our World Đề thi, đề kiểm tra Tiếng Anh – iLearn Smart Start Đề thi, đề kiểm tra Tiếng Anh – Phonics Smart Chứng chỉ Cambridge Pre A1 Starters Tiếng Anh – Phonics Smart SBT Tiếng Anh – Global Success Xem thêm
    Môn Tin học Lớp 3
    SGK Tin học – Kết nối tri thức SGK Tin học – Chân trời sáng tạo SGK Tin học – Cánh diều
    Môn HĐ trải nghiệm, hướng nghiệp Lớp 3
    SGK Hoạt động trải nghiệm- Kết nối tri thức SGK Hoạt động trải nghiệm- Chân trời sáng tạo SGK Hoạt động trải nghiệm – Cánh diều
    Môn Âm nhạc Lớp 3
    Âm nhạc – Kết nối tri thức Âm nhạc – Chân trời sáng tạo Âm nhạc – Cánh diều
    Môn Tiếng việt Lớp 3
    VBT Tiếng Việt – Chân trời sáng tạo VBT Tiếng Việt – Cánh diều Văn mẫu – Kết nối tri thức Cùng em học Tiếng Việt 3 Văn mẫu lớp 3 Tiếng Việt – Kết nối tri thức Tiếng Việt – Chân trời sáng tạo Tiếng Việt – Cánh diều VBT Tiếng Việt – Kết nối tri thức
    Môn Đạo đức Lớp 3
    SGK Đạo đức lớp 3 VBT Đạo đức lớp 3
    Môn Tự nhiên và xã hội Lớp 3
    Tự nhiên và xã hội – Kết nối tri thức Tự nhiên và xã hội – Chân trời sáng tạo Tự nhiên và xã hội – Cánh diều
  • Lớp 2
    HỌC NGAY
    Môn Toán học Lớp 2
    VBT Toán – CTST Đề thi, đề kiểm tra Toán – Kết nối tri thức Đề thi, đề kiểm tra Toán – Chân trời sáng tạo Đề thi, đề kiểm tra Toán – Cánh diều Cùng em học Toán 2 Bài tập cuối tuần Toán 2 Bài tập trắc nghiệm Toán – Kết nối tri thức Bài tập trắc nghiệm Toán – Chân trời sáng tạo Bài tập trắc nghiệm Toán – Cánh diều Xem thêm
    Môn Tiếng Anh Lớp 2
    SBT Kết nối tri thức SBT Family and Friends SBT iLearn Smart Start SBT Phonics Smart SBT English Discovery SBT Explore Our World Đề thi, đề kiểm tra Tiếng Anh – Global Success Đề thi, đề kiểm tra Tiếng Anh – Family and Friends Đề thi, đề kiểm tra Tiếng Anh – iLearn Smart Start Xem thêm
    Môn HĐ trải nghiệm, hướng nghiệp Lớp 2
    VBT Hoạt động trải nghiệm – Chân trời sáng tạo VTH Hoạt động trải nghiệm – Cánh Diều VBT Hoạt động trải nghiệm – Kết nối tri thức
    Môn Âm nhạc Lớp 2
    VBT Âm nhạc – Chân trời sáng tạo VBT Âm nhạc – Cánh diều Âm nhạc 2 – Kết nối tri thức Âm nhạc 2 – Chân trời sáng tạo Âm nhạc 2 – Cánh diều VBT Âm nhạc – Kết nối tri thức
    Môn Mỹ thuật Lớp 2
    Mĩ thuật- Kết nối tri thức Mĩ thuật- Chân trời sáng tạo Mĩ thuật – Cánh Diều
    Môn Tiếng việt Lớp 2
    Văn mẫu – Chân trời sáng tạo Văn mẫu – Cánh diều VBT Tiếng Việt – Kết nối tri thức VBT Tiếng Việt – Chân trời sáng tạo VBT Tiếng Việt – Cánh diều Cùng em học Tiếng Việt 2 Tiếng Việt – Kết nối tri thức Tiếng Việt – Chân trời sáng tạo Tiếng Việt – Cánh Diều Xem thêm
    Môn Đạo đức Lớp 2
    VBT Đạo đức – Chân trời sáng tạo VBT Đạo đức – Cánh Diều SGK Đạo đức – Kết nối tri thức SGK Đạo đức – Chân trời sáng tạo SGK Đạo đức – Cánh Diều VBT Đạo đức – Kết nối tri thức
    Môn Tự nhiên và xã hội Lớp 2
    VBT Tự nhiên và xã hội – Cánh diều VBT Tự nhiên và xã hội – Chân trời sáng tạo Tự nhiên và xã hội – Kết nối tri thức Tự nhiên và xã hội – Chân trời sáng tạo Tự nhiên và xã hội – Cánh diều VBT Tự nhiên và xã hội – Kết nối tri thức
  • Lớp 1
    HỌC NGAY
    Môn Toán học Lớp 1
    SGK Toán – Kết nối tri thức SGK Toán – Cánh diều SGK Toán – Chân trời sáng tạo
    Môn Tiếng Anh Lớp 1
    Chứng chỉ Cambridge Pre A1 Starters
    Môn Tiếng việt Lớp 1
    Đề thi, đề kiểm tra Tiếng Việt 1 SGK Tiếng Việt – Kết nối tri thức SGK Tiếng Việt – Chân trời sáng tạo SGK Tiếng Việt – Cánh diều
    Môn Đạo đức Lớp 1
    VBT Đạo Đức 1
    Môn Tự nhiên và xã hội Lớp 1
    Tự nhiên và Xã hội lớp 1 VBT Tự nhiên và Xã hội 1

Giải bài 1.7 trang 6 SGK Toán 8 – Cùng khám phá

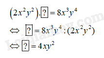
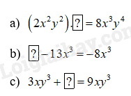
Tìm mỗi đơn thức thích hợp cho mỗi ô:

Đề bài

Tìm mỗi đơn thức thích hợp cho mỗi ô:

Phương pháp giải – Xem chi tiết

Ta thực hiện như tìm \(x\) thông thường.

Sử dụng tính chất phân phối của phép nhân với phép cộng để tìm số thích hợp.

Lời giải chi tiết

Vui lòng nhập mật khẩu để tiếp tục

test123

a) 

b) 

c) 

Bài Tiếp Theo
- Lý thuyết Đơn thức nhiều biến SGK Toán 8 – Cùng khám phá
- Giải mục 1 trang 2 SGK Toán 8 – Cùng khám phá
- Giải mục 2 trang 3, 4 SGK Toán 8 – Cùng khám phá
- Giải mục 3 trang 4 SGK Toán 8 – Cùng khám phá
- Giải mục 4 trang 4, 5 SGK Toán 8 – Cùng khám phá
- Giải mục 5 trang 5, 6 SGK Toán 8 – Cùng khám phá
- Giải bài 1.1 trang 6 SGK Toán 8 – Cùng khám phá
- Giải bài 1.2 trang 6 SGK Toán 8 – Cùng khám phá
- Giải bài 1.3 trang 6 SGK Toán 8 – Cùng khám phá
- Giải bài 1.4 trang 6 SGK Toán 8 – Cùng khám phá

TẢI APP ĐỂ XEM OFFLINE

Toán 8 tập 1 – Cùng khám phá

Chương 1 Đa thức nhiều biến

Bài 1. Đơn thức nhiều biến
Bài 2. Đa thức nhiều biến
Bài 3. Cộng, trừ, nhân đa thức
Bài 4. Chia đa thức cho đơn thức
Bài 5. Những hằng đẳng thức đáng nhớ
Bài 6. Phân tích đa thức thành nhân tử
Ôn tập chương 1

Chương 2 Phân thức đại số

Bài 1. Phân thức đại số
Bài 2. Tính chất cơ bản của phân thức đại số
Bài 3. Cộng, trừ các phân thức đại số
Bài 4. Nhân, chia các phân thức đại số
Ôn tập chương 2

Chương 3 Định lí Pythagore, tứ giác

Bài 1. Định lí Pythagore
Bài 2. Tứ giác
Bài 3. Hình bình hành
Bài 4. Hình thang cân
Bài 5. Hình chữ nhật
Bài 6. Hình thoi
Bài 7. Hình vuông
Ôn tập chương 3

Chương 4 Hình chóp tam giác đều. Hình chóp tứ giác đều

Bài 1. Hình chóp tam giác đều, hình chóp tứ giác đều
Bài 2. Diện tích xung quanh của hình chóp tam giác đều, hình chóp tứ giác đều
Bài 3. Thể tích của hình chóp tam giác đều, hình chóp tứ giác đều
Ôn tập chương 4

Toán 8 tập 2 – Cùng khám phá

Chương 5 Hàm số và đồ thị. Phương trình bậc nhất

Bài 1. Mặt phẳng tọa độ
Bài 2. Hàm số và đồ thị của hàm số
Bài 3. Hàm số bậc nhất và đồ thị
Bài 4. Hệ số góc của đường thẳng y = ax + b (a ≠ 0). Đường thẳng song song và đường thẳng cắt nhau
Bài 5. Phương trình bậc nhất một ẩn và cách giải
Ôn tập chương 5

Chương 6 Định lí Thalès trong tam giác. Hình đồng dạng

Bài 1. Định lí Thalès
Bài 2. Đường trung bình của tam giác
Bài 3. Tính chất đường phân giác trong của tam giác
Bài 4. Tam giác đồng dạng
Bài 5. Trường hợp đồng dạng cạnh – cạnh – cạnh
Bài 6. Trường hợp đồng dạng cạnh – góc – cạnh
Bài 7. Trường hợp đồng dạng góc – góc
Bài 8. Các trường hợp đồng dạng của hai tam giác vuông
Bài 9. Hình đồng dạng
Ôn tập chương 6

Chương 7 Một số yếu tố thống kê và xác suất

Bài 1. Thu thập và tổ chức dữ liệu
Bài 2. Lựa chọn biểu diễn tranh, bảng thống kê trong biểu diễn và phân tích dữ liệu
Bài 3. Lựa chọn biểu đồ trong biểu diễn và phân tích dữ liệu
Bài 4. Xác suất của biến cố ngẫu nhiên
Bài 5. Quan hệ giữa xác suất và xác suất thực nghiệm
Ôn tập chương 7
  • Liên hệ
  • Chính sách
  • Học trực tuyến lớp 6→12
Copyright © 2024 sachgiaihay.com