Bài 50 trang 15 SBT toán 9 tập 2

Giải bài 50 trang 15 sách bài tập toán 9. Cho hình vuông ABCD cạnh y (cm). Điểm E thuộc cạnh AB. Điểm G thuộc tia AD sao cho AG = AD +3EB/2. Dựng hình chữ nhật GAEF …

Đề bài

Cho hình vuông \(ABCD\) cạnh \(y (cm)\). Điểm \(E\) thuộc cạnh \(AB\). Điểm \(G\) thuộc tia \(AD\) sao cho \(AG = AD +\displaystyle  {3 \over 2}EB.\) Dựng hình chữ nhật \(GAEF.\)

Đặt \(EB = 2x (cm)\). Tính \(x\) và \(y\) để diện tích của hình chữ nhật bằng diện tích hình vuông và ngũ giác \(ABCFG\) có chu vi bằng \(100 + 4\sqrt {13}(cm) \)

Phương pháp giải – Xem chi tiết

Sử dụng:

– Diện tích hình chữ nhật bằng tích hai kích thước của nó: \(S=a.b\)

Trong đó \(S\) là diện tích, \(a\) là chiều dài, \(b\) là chiều rộng của hình chữ nhật.

– Diện tích hình vuông bằng bình phương cạnh của nó: \(S={a^2}\)

– Định lý Pytago: Trong một tam giác vuông, bình phương của cạnh huyền bằng tổng các bình phương của hai cạnh góc vuông.

– Giải bài toán bằng cách lập hệ phương trình.

Lời giải chi tiết

Vui lòng nhập mật khẩu để tiếp tục

test321

Theo giả thiết ta có: \(EB = 2x (cm)\) 

Điều kiện: \(y > 2x > 0\)

\(AE = AB – EB = y – 2x (cm)\)

\(AG = AD + DG\)\( = y +\displaystyle {3 \over 2}EB \\ = y + \displaystyle{3 \over 2}.2x = y + 3x(cm)\)

\( \Rightarrow DG = 3x\)

Diện tích hình chữ nhật \(GAEF\) bằng diện tích hình vuông  \(ABCD\) nên ta có phương trình:

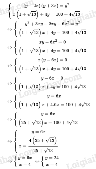
\(\left( {y – 2x} \right)\left( {y + 3x} \right) = {y^2}\)

Mặt khác theo định lí Pitago ta có:

\(FC = \sqrt {E{B^2} + D{G^2}}  \\ = \sqrt {4{x^2} + 9{x^2}}  = x\sqrt {13} (cm)\)

Chu vi của ngũ giác \(ABCFG\) bằng: 

\(\eqalign{
& AB + BC + CF + FG + GA \cr 
& = y + y + x\sqrt {13} + y – 2x + 3x + y \cr 
& = x\left( {1 + \sqrt {13} } \right) + 4y \cr} \)

Chu vi ngũ giác \(ABCFG\) bằng \(100 + 4\sqrt {13}  (cm)\) nên ta có phương trình:

\(x\left( {1 + \sqrt {13} } \right) + 4y = 100 + 4\sqrt {13} \)

Ta có hệ phương trình:

Giá trị \(x = 4\) và \(y = 24\) thỏa mãn điều kiện bài toán.

Vậy \(x = 4 (cm); y = 24 (cm).\)

Sachgiaihay.com

TẢI APP ĐỂ XEM OFFLINE