Bài 38 trang 209 SGK giải tích 12 nâng cao

Chứng minh rằng

Đề bài

Chứng minh rằng \(\left| z \right| = \left| {\rm{w}} \right| = 1\) thì số \({{z + {\rm{w}}} \over {1 + z{\rm{w}}}}\) là số thực (giả sử \(1 + z{\rm{w}} \ne 0\)).

Phương pháp giải – Xem chi tiết

Sử dụng tính chất:

Số phức z=a+bi là số thực nếu \(\overline z  = z\)

Lời giải chi tiết

Vui lòng nhập mật khẩu để tiếp tục

test321

Ta có \(z.\overline z  = {\left| z \right|^2} = 1 \Rightarrow \overline z  = {1 \over z}\). Tương tự \(\overline {\rm{w}}  = {1 \over {\rm{w}}}\)

Do đó \(\overline {\left( {{{z + {\rm{w}}} \over {1 + z{\rm{w}}}}} \right)}  = {{\overline z  + \overline {\rm{w}} } \over {1 + \overline z .\overline {\rm{w}} }} = {{{1 \over z} + {1 \over {\rm{w}}}} \over {1 + {1 \over z}.{1 \over {\rm{w}}}}} = {{z + {\rm{w}}} \over {1 + z{\rm{w}}}}\).

Suy ra \({{z + {\rm{w}}} \over {1 + z{\rm{w}}}}\) là số thực.

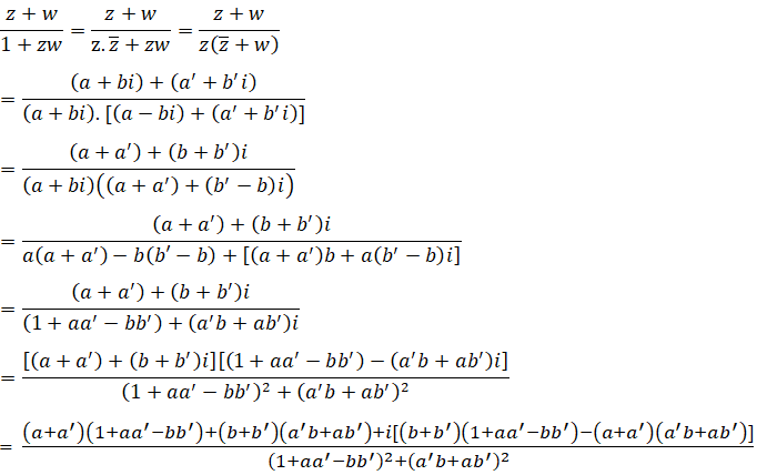
Cách khác:

Giả sử z=a+bi,w=a’+b’i với a2+b2=a’2+b’2=1 và 1+zw ≠ 0

Vì |z| = 1 nên z.z=1

Khi đó, ta có:

Xét phần ảo ở trên tử số ta có: (b+b’ )(1+aa’-bb’ )-(a+a’ )(a’ b+ab’ )

=b+baa’-b2b’+b’+b’ aa’-bb’2-aa’ b-a2 b’-a’2 b-a’ab’

=b+b’-b’ (a2+b2 )-b(b’2+a’2 )=b+b’-b’-b=0

Sachgiaihay.com

TẢI APP ĐỂ XEM OFFLINE

GIẢI TÍCH – TOÁN 12 NÂNG CAO